数学中考专题一次函数知识点 (2022中考数学必刷题一次函数)

2023年中考数学必考考点总结+题型专训

——一次函数的应用与综合

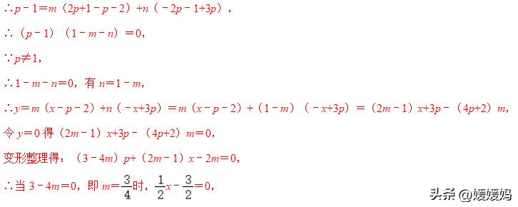
一次函数中考重点题型总结,2022中考数学必刷题一次函数

一次函数中考重点题型总结,2022中考数学必刷题一次函数

一次函数中考重点题型总结,2022中考数学必刷题一次函数

一次函数中考重点题型总结,2022中考数学必刷题一次函数

一次函数中考重点题型总结,2022中考数学必刷题一次函数

一次函数中考重点题型总结,2022中考数学必刷题一次函数

一次函数中考重点题型总结,2022中考数学必刷题一次函数

一次函数中考重点题型总结,2022中考数学必刷题一次函数

一次函数中考重点题型总结,2022中考数学必刷题一次函数

一次函数中考重点题型总结,2022中考数学必刷题一次函数

一次函数中考重点题型总结,2022中考数学必刷题一次函数

一次函数中考重点题型总结,2022中考数学必刷题一次函数

一次函数中考重点题型总结,2022中考数学必刷题一次函数

一次函数中考重点题型总结,2022中考数学必刷题一次函数

一次函数中考重点题型总结,2022中考数学必刷题一次函数

一次函数中考重点题型总结,2022中考数学必刷题一次函数

一次函数中考重点题型总结,2022中考数学必刷题一次函数

一次函数中考重点题型总结,2022中考数学必刷题一次函数

一次函数中考重点题型总结,2022中考数学必刷题一次函数

一次函数中考重点题型总结,2022中考数学必刷题一次函数