
在过去的几十年里,随着科学的进步,艾滋病已从一种致死性疾病转变为一种可控的慢性疾病。目前,患者可以服用数十种药物的不同组合,来控制HIV病毒水平,阻止其破坏免疫系统并导致更严重、通常是致命的后果。然而,控制HIV需要每天保持警惕,错过服药可能会使病毒有机会对药物产生耐药性,从而导致耐药HIV病毒株的大量复制。
近日,《新英格兰医学》(NEJM)杂志上发表的一项研究显示,一种新的抗体药物已经显示出治疗HIV感染的潜力:在一项II期开放标签研究中,接受抗逆转录病毒疗法(ART)实现病毒学抑制的HIV感染者,停药后定期注射单抗药物UB-421,已经将HIV病毒水平抑制了长达4个月。该研究中,UB-421具有良好的安全性,并且不会诱导对抗体耐药的HIV毒株的产生。

这项II期研究在台湾开展,其中的这款抗体药物UB-421由台湾联合生物制药股份有限公司(简称联生药,UBP)研制,研究由UBP领导并得到了美国国家过敏和传染病研究所(NIAID)的部分支持。
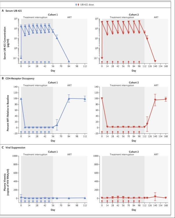
该研究是一项非随机、开放标签、II期研究,共入组了29例接受稳定的ART方案实现病毒学抑制的HIV感染者,研究中患者进入2个队列,在停止ART治疗后,接受每周一次10mg/kg剂量UB-421治疗(队列1,14例)或每2周一次25mg/kg剂量UB-421治疗(队列2,15例),所有患者均接受8次注射治疗,主要终点是发生病毒学反弹(≥400拷贝/毫升)的时间。UB-421治疗结束后所有患者恢复ART疗法。
结果显示,除了1例患者因轻微皮疹而停止研究之外,整个治疗期间2个队列患者在不服用ART疗法的情况下均保持了病毒学抑制(血浆HIV RNA水平<20拷贝/毫升),该数据表明UB-421定期注射(剂量和频率)能够有效地控制HIV病毒的进一步复制和传播。

用抗体干预HIV复制是一个很有潜力的治疗途径。之前的一些研究显示,输注靶向HIV本身蛋白的广泛中和性抗体(bNAb)能够将HIV病毒抑制2周左右,但HIV病毒的快速突变率会诱导抗体耐药株的出现,从而使治疗无效。UB-421是一种“病毒侵入*制剂抑**”,通过阻断T细胞上HIV感染的受体分子,可避免对抗体产生耐药。事实上,在这项II期研究中,没有发现对UB-421的耐药性。
对该项研究数据的进一步分析表明,延长病毒学抑制可能是可行的。UB-421不仅能阻止HIV感染新的细胞,而且似乎还能改变患者的免疫细胞,使它们能够更好地抵御病毒:患者血液中CD4 T细胞计数不仅维持稳定,而且CD4抑制性调节T细胞(Treg)数量显著可逆性地降低约50%,CD8 T细胞显著增加,显示UB-421具有免疫调节功能。这个意外的发现,加强了UB-421开发多种临床适应症的潜力,包括功能性治愈HIV感染。

UBP公司首席科学官、董事长Chang-Yi Wang表示,“我们现在已经能够使用这种抗体来维持持久的病毒学抑制,采用单一制剂代替鸡尾酒疗法。这种持久的病毒学抑制是前所未有的,有望为易耐药HIV感染的患者提供一系列潜在的新治疗方案。”
UB-421是一种人源化、Fc去醣基化的IgG1单体,靶向T细胞表面分子CD4受体结构域1(domain 1),这是HIV识别、结合以感染宿主细胞的部位。实验数据显示,该单抗是以竞争性抑制方式阻断HIV进入感染宿主细胞,对T细胞上CD4的亲和力高达5.6 x 10-11 M,约百倍于HIV对CD4的亲和力。UB-421临床I期试验显示,在从未接受任何药物治疗(naïve)的HIV感染者中,5-25mg/Kg单次给予UB-421可以降低患者体内HIV病毒量平均最高达1.6 log10。临床IIa期试验显示,重复给予UB-421(10和25mg/Kg)可以降低患体内病毒平均最高达2.7 log10。

UB-421作用机制(图片来源:UBP官网)

UB-421在研阶段(图片来源:UBP官网)
临床II期试验证明重复给予UB-421(10mg/Kg和25mg/Kg)可维持已稳定接受ART、血液中HIV含量受到稳定控制的HIV感染者在停止ART后,仍维持检测不到的HIV含量,即患者血液中HIV含量没有因停止ART而出现病毒量反弹(viral rebound)。临床II期试验同时还发现,UB-421具有免疫调节作用,可使抑制性调节T细胞(Tregs)数量降低50%,以及使前病毒(proviral)DNA含量减少的作用。
文章参考来源:
1、Antibody suppresses HIV for four months
2、Effect of Anti-CD4 Antibody UB-421 on HIV-1 Rebound after Treatment Interruption
3、Novel antibody may suppress HIV for up to four months
来源:新浪医药
编辑整理:德斯特cGMP
版权及免责声明:本账号所有文章除标明原创外,均来自网络。登载本文的目的为传播行业信息,内容仅供参考,如有侵权请联系德斯特删除。文章版权归原作者及原出处所有。本账号拥有对此声明的最终解释权。

德斯特cGMP团队一直致力于国际GMP认证咨询;针对美国GMP认证, EU-GMP认证, PIC/S认证, WHO认证以及中国GMP认证,可为客户提供完整的GMP认证解决方案;同时,在产品注册和产品技术转移,以及新建项目的设计、验证服务可提供专业的咨询服务。