集合是高考中的重点,同时也是一个容易得分的题。集合一般会以小题的形式出现,而且基本都会在第一题。虽然简单,但是到了真正考试的时候,还是会有很多学生会因为各种各样的原因失分,接下来会以各年新课标高考题来分析,集合考试当中用到的知识点以及在一般情况下会和什么知识点结合进行考察。
一:集合内容:
1.集合与元素
(1)集合中元素的三个特性:确定性、互异性、无序性。
(2)集合中元素和集合的关系有两种:属于(∈)和不属于(∉)。
(3)常用数集及其符号表示:自然数集(N)、正整数集(N*)、整数集(Z)、有理数集(Q)、实数集(R)。
(4)集合的表示方法有:列举法、描述法、Venn图法。
2.集合与集合的关系
(1)集合A与集合B的关系:

(2)空集(∅):空集是任何集合的子集,是任何非空集合的真子集。
(3)子集的个数可以通过集合中元素的个数来计算:
假如集合A中有n个元素,则集合A的子集个数为2的n次幂,真子集为2的n次幂减1.
3.集合的基本运算:交集、并集、补集之间的运算
(1)并集:A∪B={x|x∈A或x∈B}
(2)交集:A∩B={x|x∈A且x∈B}
(3)补集:CuA={x|x∈U且x∉A}
以上为集合的基本知识,下面通过对2013年至2019年的全国卷对集合进行分析并附有视频讲解:
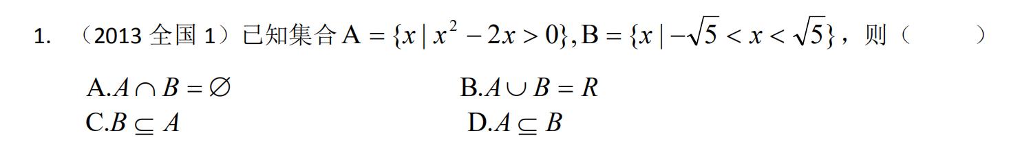
1.2013年全国卷新课标1试卷

点击以下链接即可观看视频讲解
2013年全国新课标1高考集合小题微课堂视频讲解
2013年课标1的题考查的是集合交集和并集、集合的基本关系与不等式相结合的内容,需要求解不等式后,在数轴上表示出来后求解。
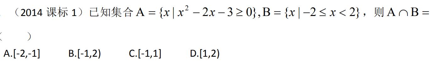
2.2014年全国新课标试卷
(1)2014 新课标1

点击以下链接即可观看视频讲解
2014年全国新课标1高考高中数学集合小题微课堂视频讲解
2014年课标1集合考查内容为集合的交集、不等式的求解、区间的表示。
(2)2014新课标2

点击以下链接即可观看视频讲解
2014年全国新课标2高中数学集合小题微课堂视频讲解
2014年课标2考查内容为集合与不等式的求解,并且集合M中元素为明确的数,集合N求解出来后是一个范围,求得的交集应为明确的数,并且求解不等式的过程中,需注意是>或者是≥,避免出现遗漏。
3.2015年全国新课标试卷
(1)2015课标2

点击以下链接即可观看视频讲解
2015年全国新课标2高考高中数学集合小题微课堂视频讲解
2015年课标2这道集合题相对来说会简单一点,考查的是集合的交集以及不等式的求解,对于集合A已经给出了集合元素,集合B中的不等式已经分解成因式相乘,只需要根据口诀(大于号取两边,小于号取中间)解出即可。
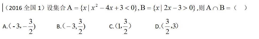
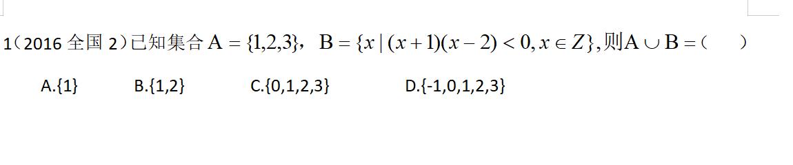
4.2016年全国新课标试卷
(1)2016年课标1

点击以下链接即可观看视频讲解
2016年全国新课标1高考集合小题微课堂视频讲解
本题考查内容为集合交集与不等式求解,最后用区间的形式表示出来。
(2)2016年课标2

点击以下链接即可观看视频讲解
2016年全国新课标2高考高中数学集合小题讲解微课堂
本题考查集合与不等式求解,并求两个集合的并集
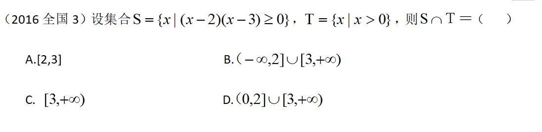
(3)2016年课标3

点击以下链接即可观看视频讲解
2016年新课标3高考高中数学集合小题讲解微课堂
本题考查内容为集合与基本不等式,并求集合的交集。
5.2017年全国新课标试卷
(1)2017课标1

点击以下链接即可观看视频讲解
2017全国课标1高考题高中数学集合小题微课堂
本题考查内容为集合、不等式以及指数函数的求解,要求学生对指数函数的知识点有一定的了解。
(2)2017课标2

点击以下链接即可观看视频讲解
2017年全国新课标2高考高中数学集合小题微课堂
本题考查内容为集合与一元二次方程求解,这道题要理解交集,明白交集里的元素1即为集合B中方程的根。
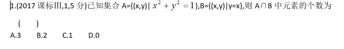
(3)2017课标3

点击以下链接即可观看视频讲解
2017全国课标3高考高中数学集合小题微课堂
本题考查的是点集,和以往考查内容有点差别,这道题需要借助图像求解,利用数形结合的方法解答从而使求解更加简便。
6.2018年全国新课标试卷
(1)2018年课标1

点击以下链接即可观看视频讲解
2018全国新课标1高考高中数学集合小题微课堂
本题考查集合的补集,需要先求解不等式后画出数轴求解。
(2)2018年课标2

点击以下链接即可观看视频讲解
2018全国新课标2高考高中数学集合小题微课堂讲解
本题考查点集,需要求出要求中的二元二次不等式的解。
(3)2018年课标3

点击以下链接即可观看视频讲解
2018年全国新课标3高考高中数学集合小题微课堂讲解
本题考查集合和不等式,求两个集合的交集。
7.2019年全国新课标试卷
(1)2019课标1

点击以下链接即可观看视频讲解
2019年全国新课标1高中数学高考集合小题微课堂视频讲解
本题考查不等式和集合,并求交集。
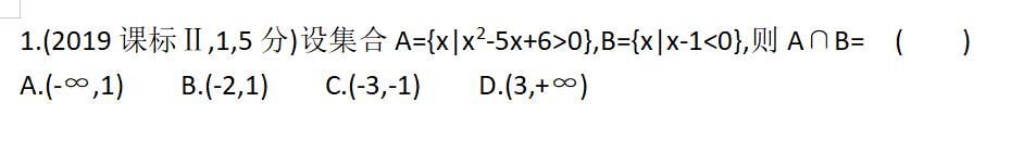
(2)2019课标2

点击以下链接即可观看视频讲解
2019年全国新课标2高中数学高考集合小题微课堂视频讲解网课
本题考查不等式和集合,求交集。
(3)2019课标3

点击以下链接即可观看视频讲解
2019年全国新课标3高考高中数学集合微课堂视频
本题考查集合和不等式的内容,求交集。
通过以上对2013年至2019年全国新课标集合小题的讲解,可以总结出集合考试中出现比较多的内容为:
(1)集合的交并补
(2)集合与一元一次不等式、一元二次不等式相结合考查。
解题方法一般用 数形结合的方法,画出数轴。
那么对于高考考试复习的过程中,需要对集合基本知识掌握,并且懂得如何求解不等式,但是在复习过程中,也要对新题型有一定的了解,对于集合这一内容,比较简单,需要考生做好万全准备,避免失分。
(想了解更多高中数学、高考考点,可以关注我,后期会对更多知识点进行讲解)