中国是考试大国,也是考试古国,在考试人数激增的今天,不论是高考、考研还是专升本考试,总有那么几个专业登上最难上岸排行榜!2023年山东专升本考试分数线公布,今天就让我带你揭秘哪些专业最难上岸。(点赞!关注!最后附所有专业最低录取分数线)。
01最难上岸排行榜TOP5
(1)中医学
中医学是指以中医药理论与实践经验为主体,研究人类生命活动中医学中健康与疾病转化规律及其预防、诊断、治疗、康复和保健的综合性科学。目前山东省专升本招收中医学的院校仅有一所,山东中医药大学,2023年招收人数85人。但是报考中医学的人数巨多,导致中医学荣登专升本最难上岸top1,录取分数高达320分。
(2)针灸推拿学
针灸推拿学主要研究中医学、中药学和针灸、推拿医疗技术等方面的基本知识和技能,运用针疗、艾灸、推拿等中医技法进行人体的调理、疾病的治疗等。目前山东省专升本招收针灸推拿学的院校仅有一所,山东中医药大学,2023年招收人数45人,录取分数高达317分。
(3)口腔医学
口腔医学主要研究口腔及颌面部疾病的诊断、治疗、预防等方面的基本知识和技能,进行口腔常见病、多发病的诊疗、修复和预防保健等。目前山东省专升本招收口腔医学的院校有三所,分别为济宁医学院、齐鲁医药学院、山东协和学院。2023年总共招收人数300人,录取分数高达303分。
(4)小学教育
山东是考试大省且山东对于老师的执着有目共睹,几乎每个家庭都希望自己的孩子可以做一名人民教师。2023年山东省专升本招收小学教育的院校有三所,分别为德州学院、泰山学院、济宁学院。总计招生人数高达550人,虽然招生计划多,但是小学教育仍然处于供不应求的局面,这就导致小学教育荣登山东专升本最难上岸第四名,最低录取分数为292分。
(5)卫生检验与检疫
卫生检验与检疫主要研究预防医学、卫生理化检验及生物学检验等方面的基本知识和技能。2023山东省专升本招收卫生检验与检疫的院校仅有齐鲁医药学院,招收人数40人,录取分数高达287分。

来廿书,上二本!
02最易上岸排行榜TOP5
(1)能源与动力工程
能源与动力工程主要研究能源的开发和利用、动力机械和热工设备的设计和测试技术等。2023山东省专升本招收能源与动力工程的院校分别是潍坊理工学院和青岛工学院,招收人数100人,虽然该专业招生人数少,但是由于专业冷门导致该专业录取分数线仅有111分,荣登最易上岸排行榜第一名。
(2)纺织工程
山东省专升本招收纺织工程的院校只有德州学院,招收人数60人,同样由于专业冷门导致该专业录取分数线仅有111分,荣登最易上岸排行榜第二名。
(3)会展经济与管理
山东省专升本招收会展经济与管理的院校只有青岛恒星科技学院,招收人数60人,同样由于专业冷门导致该专业录取分数线仅有111分,荣登最易上岸排行榜第三名。
(4)英语
山东省专升本招收英语的院校高达19所,招收人数1330人,由于该专业招生人数多,可供选择的可能性多,导致该专业出现功大于求的局面。从而导致2023年度该专业录取分数线仅有112分,荣登最易上岸排行榜第四名。
(5)应用英语
应用英语主要研究英语语言基本理论知识及语言文化和社会科学知识,掌握英汉口笔互译方面的基本理论和常用技巧。2023山东省专升本招收英语的院校有两所,分别为山东外国语职业技术大学和山东外事职业大学,招收人数500人,录取分数线113分。

来廿书,上二本!
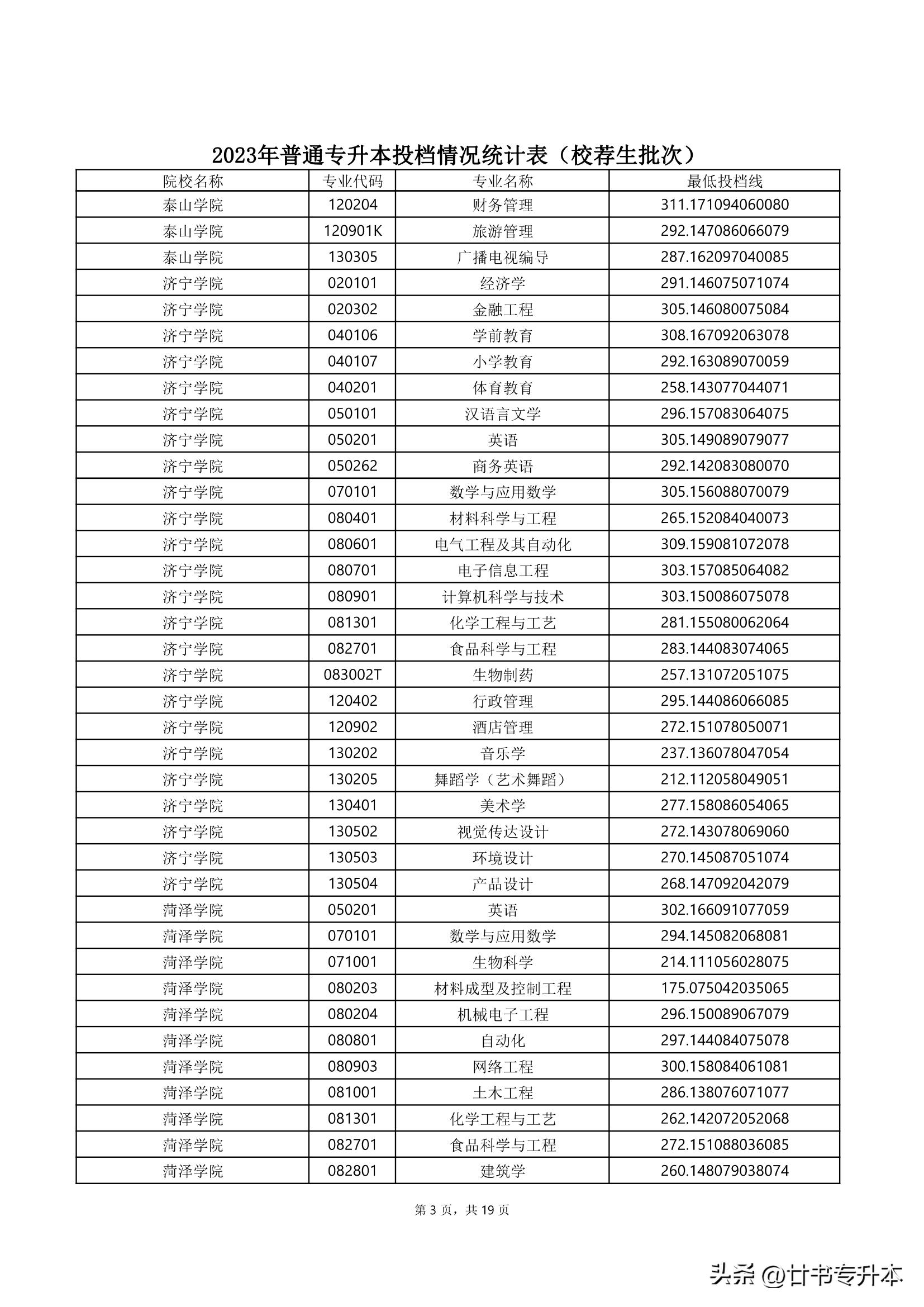
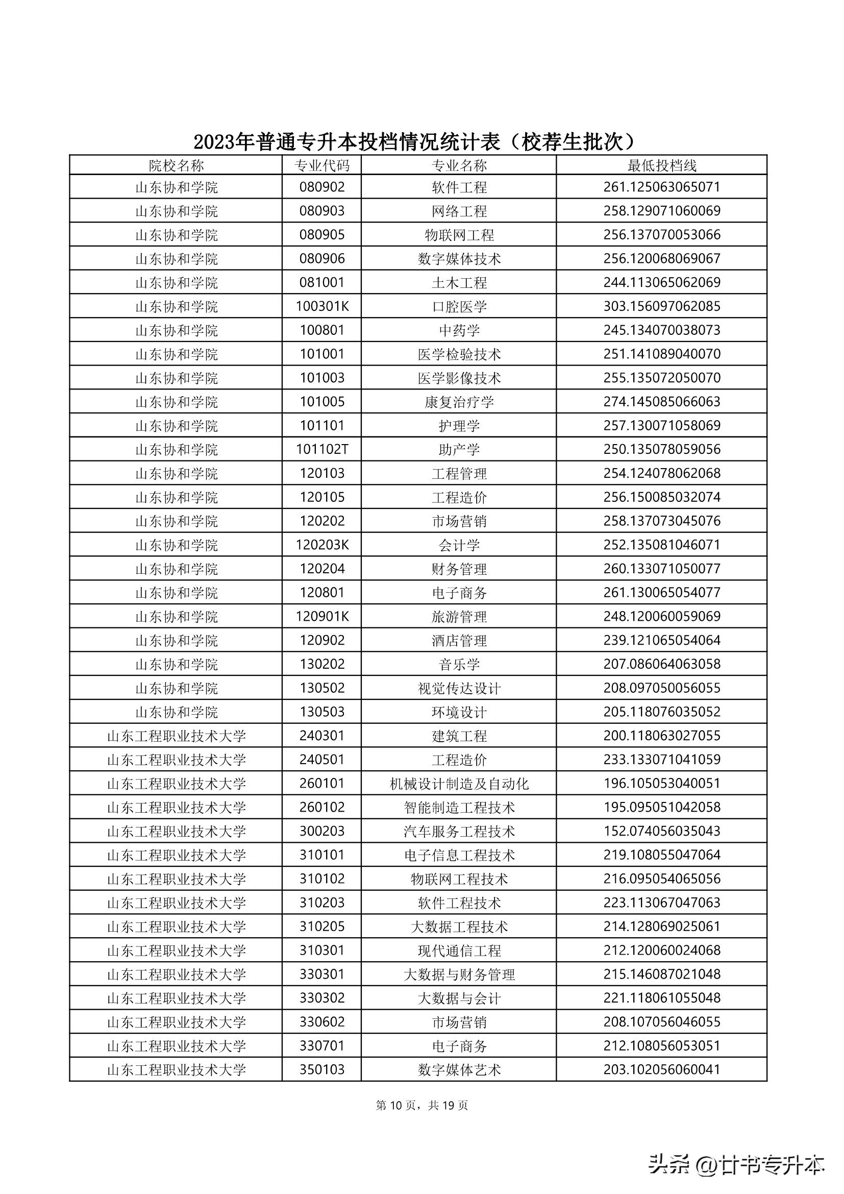
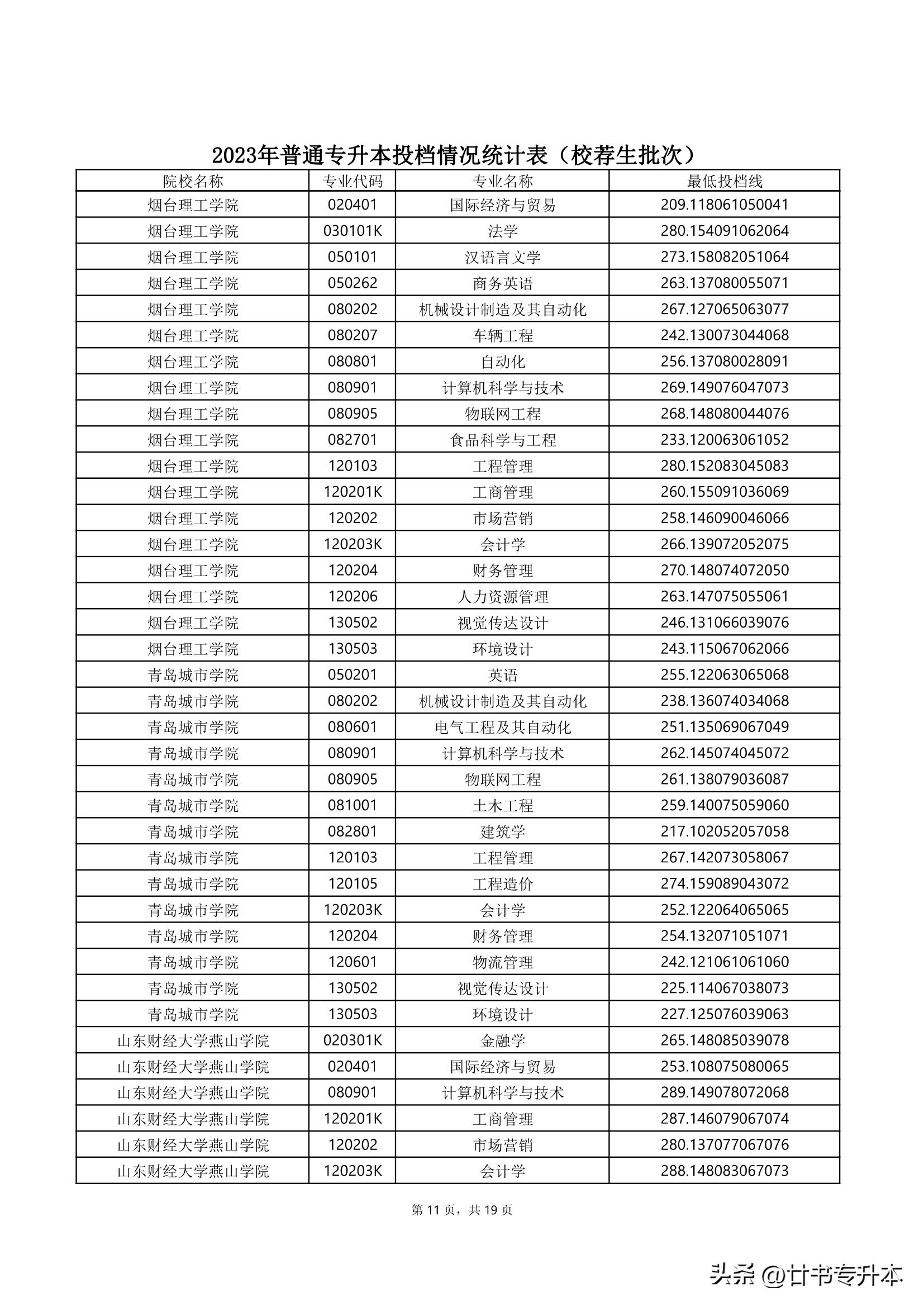
03 2023年山东普通专升本各专业院校投档情况统计表。



















