
文章: plus.maths.org/content/what-mandelbrot-set
译者: Alex 校对: 向海飞 版面: 公理
什么是曼德博集合? What is the Mandelbrot set?
曼德尔布罗特集由迭代产生,而迭代就是不断重复某个过程。在数学上,该过程往往是指计算某个数学函数。就曼德尔布罗特集而言,被迭代的是一些最简单的函数:它们全都是所谓的二次多项式,其形如 f(x) = x² + c,其中 c 为常量。迭代前会给常量 c 赋值。
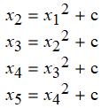
迭代由初值开始,即 x0。将 x0 代入 x0² + c 得到一个新数

前次计算结果作为下次迭代的输入,即:

如此类推。迭代生成的数值序列 x0, x1, x2,...是 x0 通过 x² + c 迭代而产生的轨迹。
迭代函数理论源于现实问题。种群增长的建模就是个例子。种群的当前规模决定了一个繁殖周期之后的规模。因此,种群增长的数学模型可以用一个包含自变量 x 的函数进行描述。x 代表当前种群规模,f(x) 代表一个繁殖周期后的期望种群规模。要想算出多个繁殖周期后的种群规模,就需要迭代该函数。顺便提一句,标准种群增长模型中使用的迭代函数与本文即将讨论的二次多项式极为相似。由此,生活实践引发了人们对迭代理论的研究。
这引出了迭代理论涉及的重要问题之一:典型迭代轨迹的运动趋势如何?收敛还是发散?周期循环还是毫无规律可言?曼德博集合对此问题做了图形式的解答。
一些示例 - Some examples
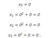
从一些例子开始。从常量 c = 1 开始考察。如果初值 x0 = 0,则迭代轨迹如下:

可以看出,轨迹上的点值逐渐增大 — 轨迹趋于无穷大。
另一个例子,设常量 c = 0。此时初值 0 的迭代轨迹大不相同 — 迭代轨迹上的点值保持不变。

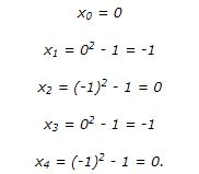
如果假设常量c = -1,则轨迹有新的变化。初值0的迭代轨迹是:

可以看出,轨迹上的点值在 0 与 -1 之间波动。轨迹成为一个周期为 2 的循环。
要看清迭代轨迹的运动趋势,最好借助图形:轨迹时序图给出了其趋势的更多信息。下图分别展示了 x² + c 在 c=-1.1,-1.3,-1.38 和 -1.9 四种情况下的时间序列。图中均取初值 0,轨迹上的点用圆点表示,并通过线段将圆点相连。可以看出,轨迹运动趋势随常量 c 变化。当 c=-1.1 时,轨迹趋近于一个周期为2的循环。当 c=-1.3 时,轨迹趋向于一个周期为 4 的循环。当 c=-1.38 时,轨迹趋近于一个周期为 8 的循环。当 c=-1.9 时,轨迹已无明显规律。数学上称此现象为混沌。

图1: 初值0通过 x² - 1.1迭代生成的轨迹。轨迹趋近于一个周期为2的循环

图2: 初值0通过x² - 1.3迭代生成的轨迹。轨迹趋近于一个周期为4的循环

图3: 初值0通过x² - 1.38迭代生成的轨迹。轨迹趋近于一个周期为8的循环

图4: 初值0通过x² - 1.9迭代生成的轨迹。轨迹已无明显规律,呈混沌状
从下面动画观察常量c,就可以看到其他的时间序列图:

c = -1.85 (呈混沌状)
c = -1.8 (接近一个周期为3的循环,周期内呈混沌状。亦称间歇现象)
c = -1.75 (趋近于一个周期为3的循环)
c = -1.6 (呈混沌状)
c = -0.65 (趋近于一个固定值)
c = 0.2 (趋近于一个固定值).
显而易见:当初始值 x0 = 0 时,迭代函数 x² + c 的值要么越来越大,轨迹趋于无穷大,要么不趋于无穷大。当轨迹不趋于无穷大时,其有各式各样的运动趋势,它可以固定不变,可以周期循环,甚至杂乱无章。但是迭代轨迹基本上都遵循二分规律:要么趋于无穷大,要么不趋于无穷大。曼德博集合准确地描绘了这种二分现象,以独特的方式记录初始值为 0 时迭代函数 x² + c 的轨迹运动趋势:常量 c 被以图形的方式描述,并依据轨迹运动趋势赋予不同颜色。
复数 - Complex numbers
曼德博集合描绘的是平面上的图形,还是数轴上的点(目前所讨论的常量 c 均在数轴上)?事实上,常量c不仅可以是实数,也可以是复数。若对复数不了解,请阅读修订「不可能的数字:复数」-图解不可不知的数学知识系列 01。
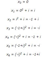
当 x² + c 中的常量 c 取复数时,我们来看看迭代情况:设 c=i, 则 x0 = 0 在 x² + i 下的迭代轨迹:

轨迹最终以 2 为周期进行循环。如果取 c=2i, 则轨迹大不相同。

轨迹在复平面内趋于无穷大(轨迹上的点离原点(0,0)越来越远)。再次得到相同的结论:当初始值 x0 = 0 时,x² + c 的迭代轨迹要么趋于无穷大,要么不趋于无穷大。

曼德博集合 The Mandelbrot Set
曼德博集合引入了几何学的概念,其准确定义为:
曼德博集合由所有满足一定条件的(复数)c 组成:复数 c 使得从初值 0 开始通过 x² + c 迭代产生的轨迹不趋于无穷大。

上图中黑色区域即为曼德博集合。曼德博集合关于 x 轴对称,它与 x 轴的交集位于区间 -2 到 1/4 之内。x 轴上的原点位于主心形内,-1 点位于主心形左侧的球形内。

本华·曼德博, 1924.11.20 - 2010.10.14 图自维基
通过之前的计算我们知道了,c = 0, -1, -1.1, -1.3, -1.38, 以及 i 均属于曼德博集合,但是 c = 1 和 c = 2i 却不属于此集。曼德博集合得名于数学家本华·曼德尔布罗特(Benoît Mandelbrot),他于1980年率先开始了相关研究。下图展示了曼德博集合迷人的复杂之美。

曼德博集合的局部特写。“球形”与主心形直接相连。

曼德博集合的不同“球形”
至此,自然有人疑问:为何要关注 x² + c 从 0 开始的迭代轨迹?为何不从初值 i 或2 + 3i 开始迭代?或是其他某个值开始?其实,取初始值 x0 = 0 是有充分理由的,因为初值 0 的 x² + c 迭代轨迹极具代表性,包含了所有其他初值下的轨迹信息。了解更多信息,请查下文《揭秘曼德博集合》。
「予人玫瑰, 手留余香」感谢支持遇见!