萧箫 发自 凹非寺量子位 报道 | 公众号 QbitAI
写论文时,手敲成堆的计算公式,被虐到头秃?

做讲课PPT时,几十页的计算推理公式,恨不得直接手写拍照?
现在,解放双手的时刻来了,只需要掌握一点Python语法,上面的公式只需要4行就能生成,其中3行还是Python的计算公式。

△ 没错,就是这几行
这款名为handcalcs的工具包,生成Latex公式,但不用学Latex复杂的语法。
关键是,大小只有4.6MB,相当于Jupyter里一个小小的插件。
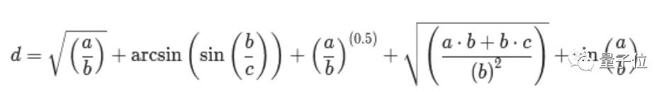
平方、平方根、分式、三角函数、脚注……这个插件的功能五脏俱全,不仅能生成公式,还能计算结果。
此外,也有单位换算、格式调整等功能。
来看看它的用法。
基础版:公式+计算
装上handcalcs插件后,Python就从一个无情的计算器,升级成了华丽的公式生成器。
在Python语法基础上,将计算公式呈现为Latex格式,只需要加一行代码。
没错,这行代码就是%%render。
也就是说,如果你想要生成Latex公式,只需要在计算公式前加个%%render。
不仅如此,Python还会自动帮你计算出结果。
如下图,先设好3个参数a、b、c的值,然后用Python列出表达式,在最前面放个%%render。
然后,列出x的表达式。

duang的一下,x用a、b、c表达的结果就展示了出来,而且还算出了结果。
再也不用输入大段Latex的复杂语法,生成复杂的计算公式了。
此外,如果想在函数中用这个工具插件,那就再加一行@handcalc(),但要注意return locals(),像这样:

生成的效果也是一样的。
此外,如果需要在公式中加上判断条件,系统也能生成。

至于积分什么的,生成起来也无压力。

你以为这就结束了?
还早,生成Latex公式只是这个工具的基础用法。
进阶版:格式+单位换算
此外,handcalcs还带有格式调整、特殊字符、单位换算等功能。
格式调整
首先,是对参数格式的调整。
如果你在某个公式中用到了好几个参数,但这些参数单独占一行会导致浪费纸张可读性很差,那就试试加一行##Parameters。
这样,一行里面就能放3个参数,而且不占很多地儿(减小行间距)。

当然,如果一行公式看起来太拥挤,还能调整它的长短。
只需要在公式前面加上#long或者#short,公式就能根据你的心意变成几行,使推导过程看起来更清晰。

此外,如果不想在结论中给出计算结果,只保留参数公式,也是可以的,在前面加个#symbolic就好了。
如下图,原本的计算结果就会被隐去,取而代之的是只有参数的表达式。

△当你的数学老师想让你计算公式时
而如果想在公式后面加些注释(或者「式3.1」这种东西),这里也能直接生成。

此外,对于特殊字符的生成,这里也有方法。
特殊字符
如果你需要在字母右下角标些脚注,有的脚注可能还会「套娃」。
没关系,用一个下划线就能搞定,一个不够,就多来几个。

此外,有着各种奇怪念法的希腊字母、还有特殊字符等,这里也能根据读音生成。

单位换算
最关键的是,handcalcs绝不仅仅是数学计算式生成器,它还带有单位换算的功能。
如果是物理方面的计算公式,输入表达式和单位后,handcalcs能自动生成单位换算结果。

这样的话,就不用再费劲地列量纲,看这两个单位相乘相除的结果究竟是个啥了。
转成Latex语法
当然,如果你想将生成的Latex公式还原成Latex语法,粘回Latex中去用,这里也提供了非常便捷的操作。
只需要一个%%tex,handcalc就会自动帮你生成Latex语法。

小限制
不过,这个工具包也有一些小限制。
例如,并非所有的数据类型都适用,例如Python的「容器数据」(collections)。
此外,也并非Python中的所有公式都适用,例如for就不支持这个工具的渲染。
但除了这些小限制外,这个工具包不失为一个强大的公式生成器,论文中需要生成的公式基本都够用了。

还有一些其他的细节功能,可以戳下方传送门查看。
作者介绍

这份工具的制作者Connor Ferster,并不是计算机专业出身,不过他对Python很感兴趣。
据Conner在社交媒体上的自我介绍,他目前是一名土木工程系的学生。
所以,土木工程论文需求的计算量可能真挺多的?
传送门
工具包链接:https://github.com/connorferster/handcalcs
— 完 —
量子位 QbitAI · 头条号签约
关注我们,第一时间获知前沿科技动态