绝密★启用前
2020年普通高等学校招生全国统一考试
理科数学(II卷)试题详细解答
注意事项:
1.答题前,考生务必将自己的姓名、考生号、座位号填写在答题卡上.本试卷满
分150分.
2.作答时,将答案写在答题卡上.写在本试卷上无效.
3.考试结束后,将本试卷和答题卡一并交回.
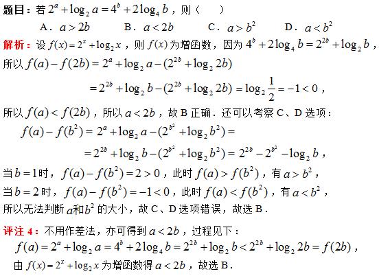
下面是全国卷II理科数学的第11题的题目和详解:

则本题可认为来源于如下三道竞赛题的改编:
(参见链接http://www.doc88.com/p-5909931286619.html)

更早的题目来源于1999年全国高中数*联学**赛试题第3题:
(参见链接https://wenku.baidu.com/view/7b28f3a2284ac850ad0242f6.html)

评注3:2020年全国I卷第12题和本题有相似之处,也就是构造同构的单调函数
来比较大小:

类似的有2012年浙江高考数学立刻第9题和文科第10题:

请朋友随手点一下关注,今后力争推出更多有价值的资料和方法!