扬声器单元顺性的等效空气容积Vas特性解释:
指密闭在刚性容器中空气的声顺与扬声器单元的声顺相等时的体积。
注:等效容积Vas与总品质因数Qt符合16. 3)及共振频率fr(符合19. 2),足以确定扬声器的低频特性,有利于闭箱式和倒相式扬声器系统的低频设计。

16.4.2 测量方法
16.4. 2.1 将扬声器单元安装在无衬里的刚性测试箱中,该箱具有下列特性:
——箱体尺寸和形状应适合扬声器的尺寸及任一预期的用途。
——箱体应有一个简单的开口,可以用一带凸缘的塞子塞住,使开口箱或倒相箱变为密封得很好的封闭箱。
16.4. 2.2 将箱体的开口封闭,从0 Hz开始递增频率,测量输人阻抗为零相位的系统共振频率f0。
注1:这可以通过对扬声器串联一个电阻,再加电压驱动来做到,把电阻器上的电压和扬声器上的电压分别加到示波器的水平轴及垂直轴上。当椭圆图形变扁而成为一直线的时刻指示输人阻抗的相位为零。
16. 4. 2. 3 将箱体的开口打开,从0 Hz开始递增频率,测量相位为零时的三个频率,设它们为fL、fB和fH(频率fB出现在接近最小阻抗点附近,它是由于存在音圈感抗而使之改变后箱体实际共振频率,此频率只须注意到即可,而不使用),真正的共振频率fB0(它是不存在音圈感抗时的共振频率,从而可以使用简化的理论)则由下式计算:

16.4.2.4 适用于装在自由空间中无限大障板上的真正的驱动器共振频率可由下式计算:

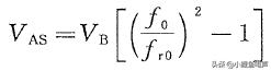
16. 4. 2. 5扬声器顺性的等效空气容积Vas由下式计算:

式中:
VB——测试箱的内部净容积。
文章来源:GB/T 12060.5-2011 /IEC 60268-5:2007 16.4扬声器单元顺性的等效空气容积Vas