一、高抛开仓进场:
蓝带末端,顶部,高位不做多!高位不做多!高位不做多!
不做多就高抛做空!在远离蓝带的一分钟(本人日内短线看盘周期只看一分钟)K线的最高点,就是最佳位置。

二、低吸开仓进场:
灰带末端,底部,低位不做空!低位不做空!低位不做空!
不做空就低吸做多!在远离灰带的一分钟K的最低点,就是最佳位置。

三、蓝带起点,起步阶段顺势进场多单:
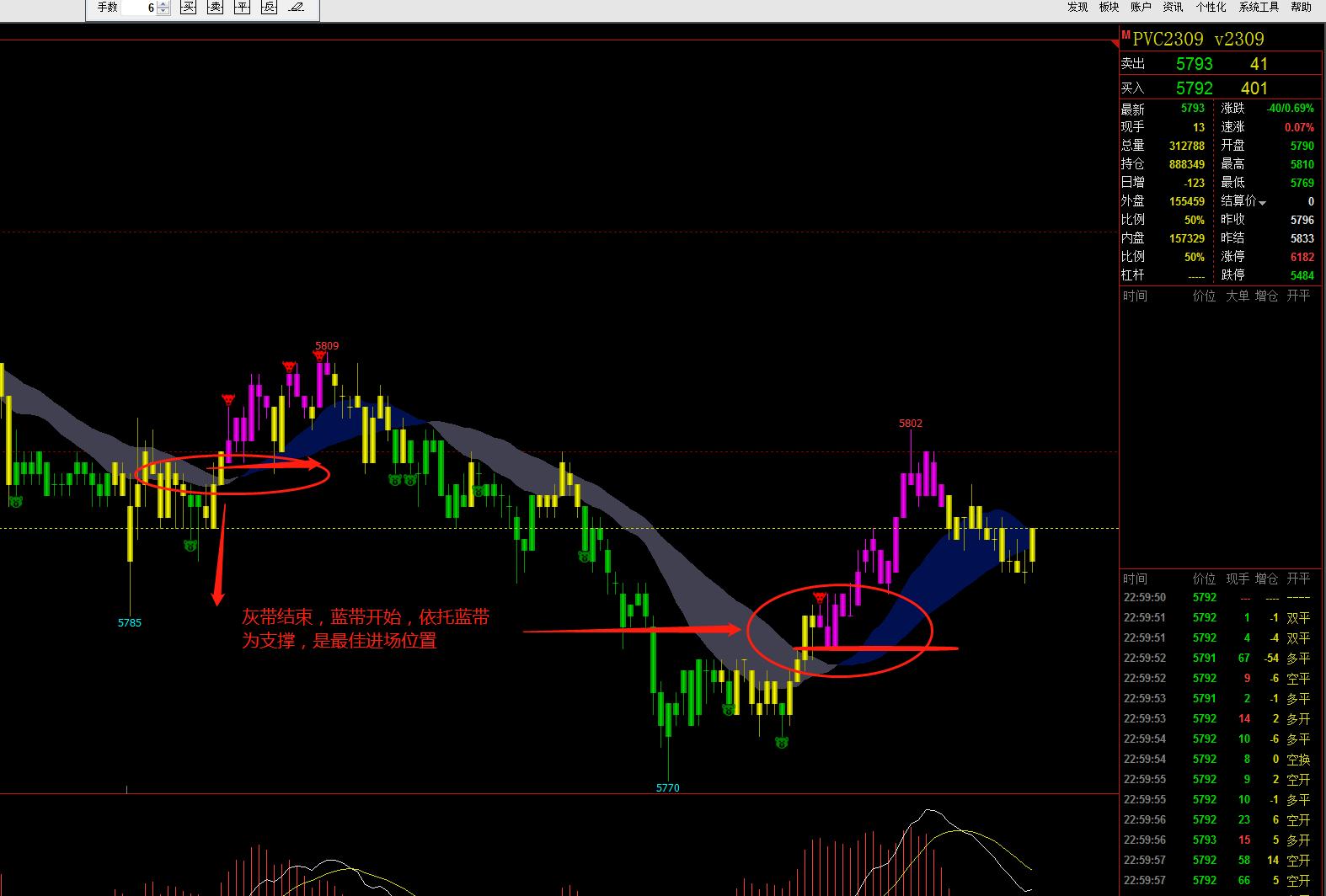
灰带结束,就是蓝带的起点--起步阶段,依托蓝带为支撑做多,此位置是最佳进场位置。

四、灰带起点,起步阶段顺势进场空单:
蓝带结束,就是灰带的起点--起步阶段,依托灰带为压力做空,此位置是最佳进场位置。

日内短线,手法,技巧很多,但万变不离其宗,主要就是上述四种方法或者变异,大同小异。
友情提示:以上观点,仅代表本人,敬请谨慎看待!
后续将陆续退出交易品种,开仓规则,交易纪律,出场规则等多种本人历经十二年实战得出的宝贵日内短线交易干货!