
文|一道Talk
编辑|一道Talk

随着激光焊接技术的不断进步,激光焊接在航空航天、新能源、汽车制造等众多领域得到了广泛的应用。与其他传统焊接方法相比,激光焊接具有能量密度高,焊接速度快,热影响区小,可焊接材料种类多等优势,尤其适用于穿孔点焊。

目前,国内外已有一些学者对激光点焊作了较深入的研究。吴家洲等建立了激光穿孔点焊的三维数值计算模型,用数值方法分析了焊接过程中的瞬态过程。朱国仁等通过对SUS301L不锈钢熔透、不熔透的激光焊接头、电阻点焊头的拉伸与疲劳试验,发现不熔透的激光焊接头的疲劳强度高于不熔透的激光焊接头、电阻点焊头。

Rehung等利用2 kW多模光纤激光装置,在零隙搭焊条件下,研究了DP590镀锌钢板与未镀锌钢板在零隙搭焊条件下的小孔动力学行为,发现由于环境压强的降低,导致能量吸收降低,熔池体积减小,焊接质量下降。
Pardal等人通过不同的激光焊接参数,测试了不同织构的焊缝,发现由织构钢制备的Fe-Al接头的最大拉剪载荷比没有由织构钢制备的接头高25%。
Cai等人使用脉冲激光点焊方法对锆合金条带的交点进行了焊接,并对焊缝尺寸、组织以及焊缝的腐蚀行为进行了研究。结果表明,随着激光峰值功率或发射脉冲个数的增加,焊缝的宽度增大,而凸度减小。

Martinson等通过实验和数值模拟,对激光点焊、电阻点焊两种金属材料在不同路径下的残余应力分布进行了对比分析,并与传统的电阻点焊相比,分析了激光点焊过程中残余应力的分布。
熊剑等利用低功率脉冲激光对铍青铜与钢20的点焊实验,分析了焊接工艺参数对焊缝成形、力学性能及元素含量的影响规律。
任逸群等以镀锌板为研究对象,采用激光螺旋点焊技术,研究了焊点搭接间隙对其成形及力学性能的影响,分析了不同间隙条件下锌蒸汽逸出过程及缺陷成因。利用脉冲Nd:YAG激光实现了AZ31镁合金的点焊。

在此基础上,通过光纤激光焊接TRIP980钢点焊实验,研究不同氩气屏蔽条件、激光功率、离焦量等参数对点焊缝表面形貌、截面微观结构、硬度、拉剪性能及疲劳性能的影响规律。
为了减少激光深熔焊接A356铝合金过程中产生的气孔,Li等人分析了激光功率、焊接速度以及离焦量等工艺参数对气孔造成的影响,发现激光功率为5 kW、离焦量为0、焊接速度为2.0 m/min时,气孔率达到最小值。
在穿透性点焊中,某些应用要求点焊缝形状与尺寸(熔深、熔宽等)的精确控制。
例如:动力电池与极靴、回流片激光点焊过程中,熔池尺寸对连接强度、电导率有很大影响,熔深过深会对电池造成损伤。

预置丝增材制造过程中,需要对点焊缝形状及熔深进行控制,以减少热输入及热变形,保证预置丝与基材的紧密结合。
在无摆动作用的常规激光焊接中,激光输出特性、焦斑直径、激光功率以及离焦量是影响点焊缝形状与尺寸的主要因素。与CO2气体激光器和YAG固体激光器相比,
焊接器及振荡焊头逐渐被焊接工业所采用。在保证离焦量不变的条件下,采用摇摆式焊接头,可以提高熔池流动性,改变熔池形状,增加点焊缝尺寸。本项目拟采用摇摆式焊接头,研究光纤激光工艺参数对穿透点焊缝形状及尺寸的影响规律,为实际应用提供依据。


实验方法
1.实验装置
该系统主要由1000 W单模连续光纤激光器、摇摆焊头、三维运动平台及控制系统等组成。激光波长为1080 nm,由芯径为50μm的光纤传输至焊头,经过准直、聚焦后,在焦点处得到最小光斑直径d0在0.133 mm左右。
本项目拟采用圆型、1字型、8字型三种摇摆模式,摇摆振幅在0-5 mm范围内,摇摆频率在0-46 Hz之间,单模光纤激光器输出接近高斯光束,能量集中,方向性好,光束发散角约为0.01 rad,离焦量变化对光斑直径及焊缝宽度影响不大。
因此,本项目拟采用圆型摇摆模式,通过摇摆振幅改变激光辐照面积,从而实现对焊缝宽度的调控。

2.实验材料和实验方法
所用材料为Q235碳钢,下层为15毫米×15毫米×3毫米,上层为10毫米×2毫米×0.3毫米。在进行测试之前,先用400,800,1000号砂纸对上板和下板表面进行打磨,再用无水乙醇溶液进行擦拭,将表面的氧化层和油污清除干净,使用夹具将上板和下板压紧固定后,进行穿透点焊。
试验分为三部分,采用单因素试验方法,将其它因素都固定下来,分别研究激光功率P、摆动幅度a和焊接时间t对点焊缝形状和尺寸的影响。在试验过程中,将激光光斑的直径d调整为最小光斑直径d0,保护气体(氩气)的流量为6 L/min,激光摆动方式选择圆形,摆动频率为20 Hz,每50 ms旋转一圈。

每组测试3次,测试结束后,用SRL-7045型双目连续变倍显微镜对穿透性点焊缝的剖面形态进行观察,测得的特征尺寸如图1所示,计算出点焊缝形状特征参数(深宽比b1、熔宽比b2),最后将点焊缝各个特征参数的平均值作为测试结果进行比较分析。B1和B2的深宽比是:

b1=H/W1(1)
b2=W2/W1(2)
公式中:h为点焊缝熔深;w1是点焊缝的表面熔化宽度;W2是点焊缝的有效熔化宽度,也就是下板表面的熔化宽度。

测试结果及分析
1.激光功率对点焊焊缝形状及尺寸的影响
在50毫秒、激光不摆动的条件下,点焊缝横截面形貌见图2,随激光功率增加,点焊缝形状由抛物线逐渐变为钟铃状,钟铃状边缘逐渐变大,整体高度逐渐增加。

图3显示了激光功率对点焊缝尺寸及特性参数的影响。从图3 a中可以看出,当激光功率增加时,点焊的表面熔化宽度和熔化深度增加。从图3 b可以看出,点焊缝的深宽比和熔宽比随激光功率的增加而逐渐增大,说明熔深的增加速度大于熔宽的增加速度,有效熔宽也逐渐增大。

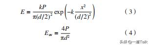
因为单模光纤激光器是以高斯光束的形式输出,所以单模光纤激光器在工件表面上的功率密度分布图E以及光点内的平均功率密度Eav是:

其中:k是激光光束集中度的系数;d是激光束对工件表面作用的光点直径;x是工件表面上任何一个点到光点中心轴线的距离。
根据公式(3),图4中用E1,E2,E3表示激光功率为250,350,450 W时高斯激光束横截面的功率密度分布,并与图2a、图2c和图2e的点焊缝形状进行比较,相应的点焊缝轮廓分别表示在图4中用H1,H2,H3表示。

由此可知,点焊缝形状与激光功率密度分布形状类似,激光功率密度服从高斯分布,那么将其作为热源形成点焊缝形状也必然服从高斯分布或正态分布,因此点焊缝形状也必须服从正态分布。随着激光功率的增加,点焊缝尺寸增大,熔深、深宽比增大,点焊缝尺寸增大。
从(4)式中,在激光功率P为350W和光斑直径为d0的情况下,Eav为2.5×104 W/mm2。图2 d和图2 e所示的点焊缝内都有气孔,但图2 c所示的点焊缝内没有气孔,这说明用单模连续光纤激光来进行Q235钢的点焊时,如果激光的平均功率密度超过2.5×104 W/mm2,则容易产生气孔,并且激光焊接方式从热导焊逐渐过渡到深熔焊。

2.摇摆振幅对点焊缝形状及尺寸的影响
图5示出了激光功率450 W、焊接时间50毫秒(光束摇摆1次)时,不同摇摆振幅下的点焊缝剖面形态。从各图中可以看到,随着摆动幅度的增加,焊接点的表面熔宽与熔池横截面几乎没有太大的变化,边缘越来越陡,底部越来越平坦,形状也从钟铃状变成了碗盆状。

摆动幅度对点焊缝尺寸和特征参数的影响见图6。

点焊缝熔深、深宽比均呈递减趋势,表面熔宽缓慢增加,但熔宽比逐渐增加,表明有效熔宽是递增的。
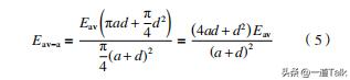
当光斑直径d的激光束以振幅为a的方式作圆周振动时,可以把它扫描后形成的圆环看成是一个直径为a+d的圆形光斑,那么在振幅为a的圆形光斑中,激光的平均功率密度Eav-a是:

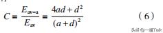
在摇摆的圆形光斑中的平均功率密度Eav-a和不摇摆的光斑中的平均功率密度Eav的比例系数C是:

其中,Eav是当光斑直径为d时,光斑内平均能量密度的值;a是激光器的振荡振幅,也就是激光器的环形振荡的直径。
在光斑直径d=d0=0.133 mm的情况下,从式(6)中可以算出对应于不同摆动幅度a的比例系数C是1、1.12、0.81、0.63、0.51、0.43。当a=0.2 mm,尺度系数为1.12时,在振荡圆形光斑中平均功率密度Eav-a达到了最高值,相应点焊缝熔深、深宽比达到了最高值。
随着a的不断提高,C值逐渐降低,Eav-a值逐渐降低,相应的点焊缝熔深、深宽比也随之降低。

从图5 e可以看出,当摆动振幅a=0.8 mm时,直径为d=d0的激光形成点状焊缝的横截面轮廓,如图7中用Ha表示,那么,摆动圆形光斑中的功率密度分布形状类似于点状焊缝的轮廓形状,并且如图7中用Ea表示,其形状类似于多模激光器的功率分布形状。
激光能量恒定,激光功率恒定,焊接时间恒定,点焊量基本恒定;随着振荡振幅的增加,平均功率密度逐渐减小,中心分布趋于均匀,这等于是将点焊缝底部压上,使点焊缝从较大深度和较大宽度向较小深度转变成较小深度和较大深度向较小深度的碗状。

由上述分析可知,单模激光器采用摆动方式,即使光斑直径变大,光斑内部功率密度分布发生变化,中心区域功率密度分布较为均匀,从高斯状逐渐变为杯状、碗盆状,即得到多模激光器的功率密度分布,从而使点焊缝形状及尺寸发生变化。
同时,由于光束的摆动,使得焊缝流动性增强,使得点焊边缘更加陡峭,使得熔宽比值增加。与振幅0毫米的点焊缝相比,振幅0.8毫米的点焊缝形状更接近矩形,熔深较浅,有效熔宽较大,此时点焊缝深宽较小,但熔宽较大,深宽比、熔宽比较优。
3.焊接时间对点焊缝形状及尺寸的影响
当激光功率为300 W、振幅为0.4 mm时,不同焊接时间点焊缝形状变化较小,截面形状类似于图5 c。焊接时间对点焊缝尺寸和特征参数的影响,如图8所示。

随着激光焊接时间的增大,表面熔宽和熔深都逐渐增加,熔宽比也逐渐增大,但是深宽比基本上没有变化。说明随着焊接时间的增加,激光能量的增加,熔池体积也随之增加。
然而,随着焊接时间的增加,点焊点内部功率密度分布没有发生明显变化,点焊点的形状、深宽比几乎没有明显变化,而点焊点的熔深、熔宽等尺寸逐渐增加,有效熔宽逐渐增加。
本项目拟采用单因素实验法,通过改变激光功率、振幅、时间等参数,研究穿透点焊过程中激光功率分布、点焊缝形状与尺寸的变化规律,揭示激光参数对点焊缝形状与尺寸的影响规律。

结果表明:点焊缝形状与尺寸受光纤激光光斑内部功率密度分布的影响;随着激光功率的增加,非摆动高斯光束所形成的点焊缝形状由抛物线型逐渐向钟铃型转变,点焊缝的熔宽、熔深、深宽比、熔化率均有所增加。
束流摆动使激光与材料相互作用面积增加,并使点焊缝形状和尺寸发生变化。随着摆动振幅的增加,焊点形状从钟铃状向碗盆状转变,焊点熔深、深宽比减小,焊点熔宽比增大;在恒定的激光功率下,点焊缝形状随时间变化而变化。
点焊缝熔深、熔宽均随焊接时间的增加而增加,但深宽比变化不大。


1、点焊点的形状、尺寸受光纤激光器光斑内部功率密度分布的影响。
随着激光功率的增加,非摆动高斯光束所形成的点焊缝形状由抛物线型逐渐向钟铃型转变,点焊缝的熔宽、熔深、深宽比、熔化率均有所增加。
2、束流摆动使激光与材料相互作用面积增加,从而改变了点焊缝的功率分布及形状尺寸;随着摆动振幅的增加,焊点形状从钟铃状向碗盆状转变,焊点熔深、深宽比减小,焊点熔宽比增大;
3、在相同的激光功率密度下,点焊缝形状受焊接时间的影响较小。点焊缝熔深、熔宽均随焊接时间的增加而增加,但深宽比变化不大。
