科学无国界
我们是知识的搬运工
福利时间
今天我们将送出由上海文艺出版社提供的优质科普书籍《2001: 太空漫游》 。

刘慈欣:我所有作品都是《2001:太空漫游》的拙劣模仿!人类对太空的想象力,到《2001:太空漫游》为止。
一块跨越300万年历史的神秘石板,从300万年前促使猿人向人类进化,到现在指引人类驶向太空的更深处。
一场跨越地球到土星十亿公里的太空之旅,人类跟随更高级文明的指引,试图找到太空和自身的答案。
人类文明究竟是自然演化,还是更高级文明的一场实验?宇宙文明演化的终点又在哪里?在《2001:太空漫游》里,阿瑟·克拉克给了我们一个终极而恢宏的答案。
只要你认真阅读下面的这篇文章,思考文末提出的问题,严格按照 互动:你的答案 格式在评论区留言,就有机会获得奖品!
作者:Marianne Freiberger
翻译:lwk
审校:Dannis
当伟大的数学家艾萨克牛顿用折射来解释彩虹的颜色的时候,诗人约翰济慈吓坏了。济慈(当然,是以诗歌的方式)抱怨数学解释夺走了魔法般的自然界中的奇迹,“用准确的规则征服了一切神秘”。但是我们将看到,这个数学解释正如彩虹本身一样优雅,而且仅仅需要基本的直线和圆的几何概念。
折射
彩虹的颜色是折射的结果。就像自然光透过三棱镜那样,折射会将自然光分成不同的组分。从太阳发出的白光是多种不同频率电磁波的组合。当频率混合的电磁波同时射到眼睛上时,你看到的是白色,但是当你的眼睛捕捉到独立频率的波时,你感受到的会是某个特定的颜色。

从紫色(左)到红色(右)的可见光光谱
频率在670至780 THz之间的波呈现紫色。频谱的另一端是频率在400至480 THz之间的波,这些波被看作红色系。其他所有颜色均来自这两个频段之间的频率。人眼无法看到这个范围以外的其他频率的电磁波。

图1:一束被折射的光,再次被反射和折射
当一束阳光照入射到球形水滴上时,其中的一部分会被水滴的表面反射,但另一些会进入水滴内部。当光线射入水滴时,光线会产生弯曲或者说“被折射”——这与把吸管插入水杯中吸管出现弯折的现象是一样的。 之后光线继续前进,一直到达液滴的背面。一部分光将射出水滴,而另一部分会被反射回去,从另一侧离开液滴,并且在此过程中再次被折射。如图1所示。
光线从一种介质进入另一种介质时速度会变慢,由此就产生了折射。打一个很粗略的比方,想象你把购物车以一定角度从道路上推到草地上:因为先撞到草地上的那一侧的速度会先被减慢,购物车将改变方向。

图2:不同频率的光被折射的程度是不同的
当来自太阳的光在真空(和在空气中传播非常接近)传播时,所有频率的光都以相同的速度c传播,大约每秒300,000公里。当光线进入水中时,频率(相应的颜色)将保持不变。然而,光的速度会发生变化,而变化的多少取决于它的频率。这是因为水的原子结构与不同频率的波产生了不同的相互作用。我们采用折射率作为速度随频率变慢的量度。折射率不仅仅取决于频率,还与光进入的介质有关(在本例中是水,如下标所示)。折射率定义为:

折射率随频率的改变微乎其微:光谱的紫光一端的约为1.34,红光一端则约为1.33。但是这种微小的变化足以将阳光分解成我们在彩虹中看到的美丽的光谱。(折射率也随温度而略有变化,但是在这里可以忽略。)

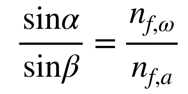
图3:示意图显示了包含入射光线,折射光线和法线的水滴的横截面。α角和β角之间通过斯涅尔定律联系起来。
斯涅尔定律描述了不同频率的光进入液滴时的弯曲程度。 根据斯涅尔定律,折射光线位于由入射光线和入射点处的法线构成的平面内——法线是通过入射线和液滴表面交点且垂直于液滴表面的直线。由于我们假设了液滴为球形,本例中的法线就是连接液滴球心和入射点的半径的延长线。
斯涅尔定律还告诉我们光线折射角满足下列关系:

这里α和β是图三中标注的角,

和

分别为空气和水对频率为f的光的折射率。由于空气和真空非常类似,对所有频率都非常接近于1。所以,假如光线以45°入射进入液滴,对于折射率为1.33的红光有(结果精确到小数点后两位小数)

折射率为1.34的紫光有

正是这些对应于不同的频率的不同折射角使得彩虹有了色彩。
捕捉彩虹中的光线
然而为什么我们看到的彩虹中的每种颜色都呈现完美的圆弧状呢?要搞清这个问题,设想来自太阳的平行光线入射在空气中的某个水滴上。利用斯涅尔定律和反射定律(入射角等于反射角),我们可以计算出第一次以α角入射液滴的光线偏转了多少度。换句话说,入射光线经过折射、反射然后再次折射后旋转了多少角度(见图4)。 当然,对于不同频率或颜色的光,该角度会有所不同。
仔细观察图4,你可以发现角度偏转满足下式:

图4:计算光线偏转角度
由斯涅尔定律,我们可以将

代入上式。此处我们取空气的折射率为1.
图5是—α满足的曲线图,取特定的红色波段的折射率。注意到它的最小值取在60°左右。

图5:Df(α)满足的曲线图
这个最小的角度就是导致彩虹是弧形的原因。图6显示了液滴的二维横截面,液滴中有一束在水中折射率为的光线。在这个横截面中,我们用红色标记以最小角度入射的光线,并称之为彩虹射线。在彩虹线附近射进液滴的光线(入射角接近)在通过液滴和出射时都聚集在彩虹线附近。因此,假如你的眼睛恰好在这个液滴的彩虹线射出时捕捉到了它,那么你还将看到一整束其他的射线,这使得来自液滴的光线非常强烈。由于所有这些聚集在一起的光线有相同的颜色——对应于折射率为1.33的红色系,液滴在空中会呈现红色。

图6:用红色显示的彩虹光线.一簇光线聚集在彩虹射线附近从液滴中射出,而从其他地方射出的射线则会更加分散。
红色光线在彩虹光线附近聚集的现象是函数有最小值是的结果。在图7中我们可以清楚的看到这一点。取一段以最小值为中心的间隔和一段以其他位置为中心的同宽度的间隔。中的入射角值对应的偏转角度(用J1表示),比中的入射角值对应的偏转角度(用J2表示)的取值范围要窄得多。因此,以中的角度入射的光线,要比以中的角度入射的光线更加密集(证明)。

图7:间隔J1比间隔J2小
色锥
你的眼睛能够捕捉到来自每个液滴的出射的红色彩虹线,所以你会看到空中的每一个液滴上都有一个红点。而在天空中什么位置看到这些液滴取决于你。
我们首先计算出的准确值。求解
以得到最小值,有

将代入(给定红色光线),得到

,

。
现在,假如来自某液滴的出射彩虹线被你看到了,那么这意味着该出射光线与如图8中所示的L线呈夹角

——如果你的脑袋没有挡着光路的话(我们假定来自太阳的光线是平行光),会有一道太阳光的路径通过你的眼睛,把这束光线延长,得到的就是L线。我们把rf命名为彩虹角。当然,它取决于频率f,也就是说,取决于颜色。

图8:偏转的彩虹光线和L线呈42.52°夹角
取所有以你的眼睛为端点的线,然后关于L线做42.52°夹角,你会得到一个圆锥(如图9)。你看到的所有呈红色的水滴都在这个圆锥内;反之,如果一个液滴没在这个圆锥内,你将不会看到来自这个液滴的红色彩虹线。而当你从圆锥顶点沿着圆锥表面看时,你看到的会是一个圆圈。
你可以试着将一张纸卷成圆锥形然后从尖端的小孔看去。彩虹就来自这个圆锥中的液滴。这些液滴距离你的眼睛有着不同的距离,其中一些可能在附近,而另一些可能在远处。但是眼睛无法分辨这种距离上的差别,只能看到红光混合在一起,构成一个似乎在远处的圆弧。之所以看不到完整的圆是因为地球挡住了它。除非你在水滴上方,比如从飞机上俯视,才能看到美丽的彩虹圆圈。

图9:你看到的悬在空中的液滴分布在一个圆锥的表面
同样的推断对光谱中其它所有颜色都适用:它们都会呈现出圆弧形状。但是,对每种颜色,不同的折射率会给出不同的彩虹角。例如,对于折射率为

的紫光,有

和

。因此,彩虹会以一系列按折射率的顺序套在一起的颜色圈呈现出来,或者,等价地来看,按照频率的顺序:红色在顶端,紫色在底端。
这个解释还说明了为什么你只在背对太阳的时候看见过彩虹:只有这种情况下你才能看到来自液滴的彩虹光线。这同样解释了为什么天空在彩虹下方比在上方看起来更明亮。由于绝大多数离开液滴的光线都比彩虹射线高(请参见图6),因此你将看不到彩虹“上方”(即,各种颜色的圆锥体之外)的液滴中的任何光线。从而,你将看不到任何来自这些液滴的反射光。然而,你的眼睛的确能捕捉到彩虹“下方”的水滴(位于圆锥体内的水滴)中的反射光,正是这种光使彩虹下面的天空显得更明亮。彩虹下方的光线之所以看起来是白色的,是因为来自不同液滴并进入你的眼睛的这些不同颜色的非彩虹线混合在了一起。
彩虹的几何形状还表明,你看到的任何彩虹都是独属于你自己的彩虹:无论站在你旁边的人看到了什么,它们都来自一群不同的水滴,因此你们看到的不是同一个彩虹。

有时候,如果够幸运的话,你可能会在主彩虹上方看到第二条略淡的彩虹。这种次生彩虹是光线在水滴中反射两次的结果。在这种情况下,各种颜色的彩虹角都在51°左右,这就是为什么在天空中次生彩虹看起来位置更高。两次反射还意味着次生彩虹的颜色以相反的顺序出现,紫色在底部,红色在顶部。这里给出RenéDescartes对彩虹的原始描述,他首先解释了彩虹的形状,描述了主彩虹和次生彩虹。图中对应于次生彩虹的两次反射用红色轨迹标出。

Descartes的主彩虹和次彩虹草图
尽管现实当中很难出现,从理论上讲也是有可能看到液滴内的三、四次或更多次反射产生的彩虹的。这里我把它留给读者自己去计算。
原文链接:https://plus.maths.org/content/rainbows?from=singlemessage
【互动问题:你还见过哪些神奇的天气现象?】
请大家严格按照 互动:问题答案的格式在评论区留言参与互动,格式不符合要求者无效。
截止到本周四中午12点,点赞数前三名的朋友将获得我们送出的图书一本。
*本活动仅限于微信平台
编辑: aki
↓ 点击标题即可查看 ↓
1. 2. 3. 4. 5. 6. 7. 8. 9. 10.
