
前言
在室温下,已经对2-苯甲酰基吡啶与InX(X=Cl,Br)的反应进行了研究。在铬合金3/(py)(ph)CO体系中, 通过反应生成了[InCl3{(py)(ph)CO}(乙基)]·{(py)(ph)CO}(1)复合物和副产物{(pyH)(ph)CO}Cl(2)。
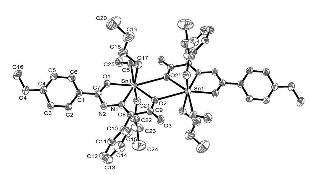
对InBr3(py)(ph)CO的反应产生了(L)[InBr4{(py)(ph)CO}](3)和[2溴4{(py)(ph)CH(O)}2(乙醇)2](4)的混合物,其中L+是9-氧代吲哚[1,2-a]吡啶阳离子,(pH)(pH)CH(O)-是异阴离子(吡啶-2-基)甲醇。
基于溶解度和结晶时间的差异,复合物4被认为是瓦西拉丁普(Wassilart-P-Rex)的两种成分之间的混合物。

有机金属化学
有机金属化学在科学家的研究中具有巨大优势,因为它允许利用可分离性和亚顺序的特性,通过不寻常的有机碎片键合到托阿特兰-西翁金属。
在过去的30年左右, 已经开发了替代方法,涉及经典的协调化合物(例如Werner型)而不是有机金属化合物,这种研究活动的刺激来自于对自然生物系统的研究。
众所周知,许多类型的酶需要金属离子来执行它们的功能,由于酶能够在水环境中、室温和大气压力下利用金属离子进行复杂的有机反应,科学家们认为在实验室中进行这样的反应是合理的。
因此,有机金属化学提供了一种方法,在实验室条件下开展复杂的有机反应,这是一项具有重要意义的研究领域。

在均相催化中,金属离子被广泛应用于各种有机反应中,这为实现更好的反应方式提供了一种方法。金属离子通过促进催化作用,引导化学反应的进行。
因此,使用金属离子来定向化学反应和控制立体反应过程的热点研究是无机化学领域的一个重要课题。
这种研究旨在深入理解金属离子在反应中的作用机制,并利用其特性来实现更高效、高选择性的有机合成反应。这一研究方向在临时无机化学领域具有重要意义。
有机金属配合物的活性可以理解为配体活性的变化。在化学反应中, 电子的运动(传输或共享)起着关键作用。

因此,任何影响电子分布、运动或可用性的因素都会影响配体的活性。当配位键形成时,电子排布会发生一定程度的扰动和重新排列。
由于配体的活性基于电子结构,与自由配体相比,配位到金属离子的配体具有明显不同的活性。
金属离子与配体之间的相互作用可以影响配体的电子结构和空间构型,从而改变其化学性质和反应性。
因此,有机金属配合物的活性是由于配体活性的变化,这涉及电子结构的改变、构象的调整以及与金属离子之间的相互作用。

羰基化合物的几种反应
羰基化合物在化学反应中具有重要意义,特别是在形成键合和与金属离子络合的反应中表现出高度敏感性。
亲核试剂攻击羰基碳原子,形成新的碳-亲核试剂键, 经常见到的加成反应包括羰基还原、羰基氧化、格氏试剂的加成等一些。
并且还可以与其他化合物发生缩合反应,形成新的碳-碳键,例如,阿尔多尔缩合反应中,羰基化合物与亲核试剂发生反应,生成醇或醛。
羰基化合物可以被氧化剂氧化 ,形成羧酸或酮,氧化反应通常涉及羰基碳原子上的氧化步骤,而且还可以被还原剂还原,形成醇或醛,还原反应通常涉及羰基碳原子上的氢化步骤。

这些反应类型中的每一种都可以通过配位羰基分子的金属离子修饰,从而调节羰基化合物的活性和反应性质,羰基与金属离子之间的络合作用可以影响反应速率、选择性和产物结构。
由于羰基碳原子和金属离子通常具有亲电性和电子云密度差异, 无核试剂通常攻击羰基碳原子,而 亲核试剂则攻击金属中心后续攻击羰基碳。
这意味着产物的生成可以通过两种方式进行:直接攻击羰基碳原子或通过配位亲核试剂后续攻击碳原子。
在无核试剂攻击羰基碳原子的情况下,羰基化合物的碳-氧键发生断裂,形成负离子中间体。

这种反应路径常见于羰基还原和羰基氧化反应中,另一种情况是亲核试剂攻击金属中心 。金属中心通过与亲核试剂形成配位键,形成一个复合物。
随后,亲核试剂可以进一步攻击配位的羰基碳原子,形成新的碳-亲核试剂键。这种反应路径常见于格氏试剂的加成反应中。
因此,根据反应条件和试剂选择的不同,羰基化合物可以通过直接攻击羰基碳原子或通过金属中心的配位来进行反应,这种选择性和反应路径的变化可以调节羰基化合物的反应性和产物结构。

实验切片
在化学和仪器仪表实验中,所有的操作都是在正常实验室条件下进行的,也就是在大气下进行,并且是在不足氧的好氧条件下进行的。实验中使用了合适的材料和试剂级别的化合物,以及适当的溶剂。
例如,苯基(吡啶-2-基)甲醇,也可以称为(2-吡啶)(苯基)甲基醇,可以通过将(py)(ph)CO还原剂与NaBH进行还原反应合成。
具体而言,通过在反应体系中加入NaBH4还原剂,可以将(py)(ph)CO还原为苯基(吡啶-2-基)甲醇。
这个过程涉及到NaBH4作为亲核试剂,与(py)(ph)CO反应生成中间体, 然后发生质子转移和还原步骤,最终形成目标产物。

在这个实验过程中,需要严格控制反应条件,例如温度、时间和反应物的比例,以确保合成反应的有效性和产物的纯度。
对于所合成的化合物,纯度通常通过多种方法进行检查和确认 ,微量分析、红外光谱(IR)和氢核磁共振(HNMR)光谱是常用的检测手段。
熔点可以用电热的法测,而电导率测量则能够在DMSO(二甲基*砜亚**)中进行,使用特定的电导率测量仪器和标准常数。

另外,浓度的解决方案通常在约10^-3M的范围内, 红外光谱的记录可以使用珀金埃尔默16PCFT红外光谱仪进行,对于拉曼光谱的测量,可能使用T64000霍里巴-乔宾伊冯微拉曼设备进行。
通过这些实验和测量方法,可以获得那些化合物的纯度、结构和化学性质的数据,这些分析结果对于确认所的化合物的纯度和特性非常重要,并为进一步的研究提供了基础数据。
激发波长为514.5nm的光源来自英国诺福克的DPSS激光器(Cobolt FandangoTM ISO激光器),该激光器提供2mW的功率用于样品激发。
反向散射辐射是通过单色器收集的,并经过专有过滤器(LP02-633RU-25,激光2000,英国有限公司, 位于英国剑桥郡亨廷顿)进行后处理。

这些设备和滤波器的使用旨在确保测量到特定波长范围的光信号,并排除其他干扰源,以获得准确的反向散射辐射数据。
为了获得[In2Br4{(PY)(PH)CH(O)}2(EtOH)2]的拉曼散射光谱,使用了标准拉曼峰波数为520.5 cm-1进行仪器校准。光谱的分辨率设置为5 cm-1。
尽管做出了努力,但由于样品自身的荧光以及与拉曼信号的重叠等因素 ,记录到荧光干扰的拉曼光谱是不可能的。
为了避免这种情况,可能需要采取其他措施,如荧光*制剂抑**或适当的样品处理方法,以获得更准确和可靠的拉曼散射数据。

为制备[In3{(py)(ph)CO}(EtOH)]·{(py)(ph)CO}(1)和{(pyH)(ph)CO}Cl(2)的混合物,按滴加法将(py)(PH)CO(0.73g,0.40mmol)溶解于EtOH(2mL)中,然后向相同溶剂(3mL)中滴加InCl3·4H2O(0.059g,0.20mmol)的溶液。
在搅拌20分钟后,产生了无色的反应溶液,该溶液经过过滤后, 在5°C下储存,X射线衍射质谱显示了无水晶质的1和深黄色的2晶体,值得注意的是,2晶体不适用于单晶X射线晶体学,随着时间的推移,溶液的颜色逐渐变黄。
通过过滤、手动分离和洗涤等步骤,得到无水晶的1和深黄色晶体的2。产率为1的典型收率为65%(基于可用的贱金属),而2的典型收率为10%(基于可用的配体)。

对于化合物1,计算值和实测值的分析数据如下:C49.28%(48.93%),H3.83%(3.88%),N4.42%(4.54%)。在DMSO中,1的摩尔导电率(10^-3M,25°C)为3S·cm^2·mol^-1。
红外光谱的波数(cm^-1):3443宽带,3088宽带,3057宽带,2974宽带,1668尖峰,1624尖峰,1590尖峰,1566肩峰, 1466宽带,1442中峰,1386宽带,1329尖峰,1279宽带,1257中峰,1170宽带,1093宽带,1017中峰,949中峰,882宽带,850宽带,819宽带,776中峰,753宽带,731宽带,702尖峰,649中峰,573宽带,483宽带,453宽带,426宽带。

精选拉曼峰(cm^-1):1671中峰,1626秒峰,1595中峰,1570年代峰,1474中峰,1322中峰,1179中峰,1112中峰,1053中峰,1022中峰,1000秒峰,733中峰,618宽峰,572宽峰,309中峰,233宽峰,162中峰。1H NMR(d6-二甲基硅,δ/ppm):8.73(多重峰,2个质子),8.08(三重峰,2个质子),7.98(三重峰,6个质子),7.68(三重峰,4个质子),7.54(三重峰,4个质子),4.36(单峰,1个质子),3.45(四重峰,2个质子),1.07(三重峰,3个质子)。
对于化合物2,计算值和实测值的分析数据如下:C65.60%(65.19%),H4.60%(4.72%),N6.38%(6.23%)。在DMSO中, 2的摩尔导电率(10^-3M,25°C)为38S·cm^2·mol^-1。AgNO。

总结
相信这个特殊的研究主题还有更多有趣的结果,研究学者们将继续调查金属介导的合成中含有羰基的其他活化化合物的活性基团(酮和醛),并期待在化学计量学和催化作用方面取得进一步的进展。
当前实验和研究重点包括:(i)与13组金属(如铝和镓)与(py)(ph)CO的反应;和(ii)通过在苯基环(PY)(PH)CO上引入甲基基团(例如,使用2-乙酰基吡啶)来调节极性C–H键的反应性。
这些特性给人以希望,以便探索与组13金属和其他p-块金属相结合的有趣反应性模式。初步的研究结果与关注Ga(第三)配位配体(PY)C(Me)(OH)CH2C(OMe)(O)(py)的转化有关。
这种转化在Cu(第二)化学中已经有报道,作为最后的说明,会计划加入先进的理论计算,以更严格地解释实验事实和观察到的反应模式的差异, 这些模式在类似系统中也存在。
参考文献:
1.康斯特布尔.金属和配体反应性.德国魏因海姆.1996
2.米斯勒.费舍兰德.塔尔.无机化学.皮尔逊.波士顿.美国.2014
3.孙德华.张楠.刘芳.郝海杰.黄兰德·郑淑贞.道尔顿传译. 2011
4.里亚兹.古普塔.Su,Z.Jagli čic.Kurmoo.董志华.郑淑贤.无机化学. 2019