
“数论为我们提供了取之不尽的有趣真理——这些真理并非截然孤立,而是有着密切的内在联系,随着知识逐渐增长,我们就会不断发现它们之间新的、有时是完全意想不到的联系。”
——高斯
撰文 | 丁玖 (美国南密西西比大学数学系教授)
读者, 请你把一张纸卷成圆柱形,再找一支铅笔头,将它的底部紧贴在圆柱面外侧,这时笔尖朝外垂直于圆柱面。 如果你保持两者垂直,将铅笔在圆柱面上绕一圈,或更一般地,让铅笔垂直于柱面,并沿其上不越过边界圆周的任意一条闭曲线移动一圈,就会发现铅笔尖的指向连续地变动,最后又回到了最初的位置。如果将铅笔头底面紧贴在纸圆柱的内面,做同样的绕圈事,结果一样。 这说明这个圆柱面是“双侧”的 ,它具有内侧和外侧。指定了其两侧之一的定侧,就依赖“右手法则”确定了曲面上任一条闭曲线的定向——正向和反向。这是每一个孩子都能看懂的几何现象。
学过曲面积分的读者都知道, 作为积分区域的曲面必须是可定侧的,否则曲面积分就无从谈起。 上世纪八十年代,我在密歇根州立大学数学系的博士论文导师李天岩教授告诉我,他是这样教他读初中的儿子入门拓扑学概念的: 取一张窄窄的长纸片,不是像上面那样,将两条短对边粘起来形成矮矮的圆柱面;而是先将其中一条短边扭转180度后,再与另一短边粘连。 这样也得到了一个纸曲面。然后他让儿子做与上一段相同的试验,结果发现,当铅笔沿着一条方向与长对边差不多一致的闭路,保持与曲面垂直连续绕一圈后,铅笔尖终止的方向却与最初的方向恰恰相反!当然,这个现象当闭路小到只是围绕曲面上一点的圆圈时不会发生,然而导致 “调转方向” 反常现象发生的闭路的存在性,充分说明这个奇怪曲面有着 截然不同于普通圆柱面的拓扑性质。
这个奇怪的曲面是“单侧” 的, 不被微积分大厦内曲面积分的房间卫士批准进门,然而它不仅形象直观,而且内涵丰富,其专业名称是 “莫比乌斯带(Möbius strip)” ,以发现者之一、德国数学家及天文学家 莫比乌斯(August Ferdinand Möbius,1790-1868) 的姓氏命名。比他早了几个月的另一个发现者是德国数学家 里斯汀(Johann Benedict Listing,1808-1882) 。莫比乌斯带是莫比乌斯一生中最广为人知的数学发现,因为人们一看就懂。然而,他不那么广为人知的数学工作所引出的 莫比乌斯反演公式 ,却是本文的主题。
莫比乌斯反演
莫比乌斯反演公式最原始的思想,与我们熟知的 级数部分和数列与级数通项数列的简单双边关系 “心有 灵犀一点通”。 级数 前n 项的部分和是 。 反过来 ,级数的第n 项可写成 a = s - s (约定 s = 0 )。 如果定义一个特殊的数列{ μ } :μ =1 ,μ =-1 ,且当n≥2时,μ =0。 那么上 述部分 和与通项的“相互 表出”就是 当且仅当。
莫比乌斯反演公式至今有许多 推广和变种 ,但最有名也最简单的那个堪称“经典”,在数论和组合数学中有众多用途。为了理解这个原始公式,需要介绍几个 初等术语 。首先,所谓的 “反演(inversion)” 是中学代数里反函数概念的推广。当函数y=f(x)在定义域上将不同的自变量值x映成不同的函数值时,该函数f引出了对应的反函数f,它把f的函数值y映回到导致该值的自变量值:x=f (y)。这样,函数定义域中的所有x和值域中的所有y建立了一对“反演关系”:y=f(x)当且仅当x= f (y)。作为例子,函数y=x的反函数是x=y。虽然函数有反函数,但我们写不出它的代数表达式。初等数学里可逆函数及反函数的反演表示可以推广到更高等、更抽象的数学。
比如,将定义在 全体自然数 上的 所有数列全体 记成 X ,设想有个对应关系 T 将 X 中的每个 数列{x } 映成一个 数列{y} ,这个变换一般称为 “算子” ,尤其在泛函分析学科。 如果T将不同的数列映到不同的数列,那么就有 逆算子T ,它把 T 的值域中的每个数列映回到其来源数列,即 {y}=T{x}当且仅当{x}=T{y} 。 这也给出了一个反演关系。
现在,可以叙述数论中 经典的 莫比乌斯反演公式 了。设 f 为一“算术函数”,即它的定义域是 所有自然数之集 ,函数值为 复数 。自然,算术函数可与它在所有自然数上的值构成的数列等同起来。在数论中, 如果自然数d是自然数n的一个因数 ,即n=dq,其中q也是自然数, 则这个关系写成d|n。 对所有的自然数n,下式
(*)
定义了一个新的算术函数g。那么将f映到 g的算子T有逆算子,其表达式即为所谓的莫比乌斯反演公式
(I)
其中 μ 定义在上,称之为 “莫比乌斯函数” :μ(1)=1;若n是 k个相异素数之积 ,则 μ (n )=(-1);若n的 素数分解式包含一个素数平方 ,则μ (n )=0。
历史上, 莫比乌斯反演公式的源头 是莱比锡大学莫比乌斯教授于1832年发表的一篇 德语论文 ,英文翻译为 (《一种特殊类型的级数反演》) 。 但文中研究的“反演问题”与上面的(*)和(I)无关 ,而是在级数变换的反演级数变换F(x)=中,寻求 系数数列{b}与原系数数列{a}之间的关系。 不过,他在这篇留名数学史的文章中给出了后人命名的 莫比乌斯函数μ表达式 及其 因数和 公式 。
莫比乌斯函数
鉴于 莫比乌斯函数μ 在反演公式中所起的关键作用,我们来探讨它的基本性质。先熟悉一下莫比乌斯函数值数列中的最前面一打数字:μ(1)=1,μ(2)=-1, μ(3)=-1,μ(4)=0, μ(5)=-1, μ(6)=1, μ(7)=-1, μ(8)=0, μ(9)=0, μ(10)=1, μ(11)=-1, μ(12)=0 。该函数的第一个基本性质为:它是 积性(multiplicative) 的,即 只要两个自然数m和n互素 (除1外没有其他正公因数) , 等式μ(mn)=μ(m)μ(n)就成 立。 事实上,当mn=1时,m=n=1,故μ(mn)=1=μ(m)μ(n) 。若mn>1,先设m=p…p和n=q …q,其中p ,…,p以及q , … ,q为相异的素数,则μ (mn)=(-1)=(-1)(-1)=μ(m)μ(n) 。 上式当m=1或n=1时也成立(注意1不是素数)。 现设m和n中至少一个以素数平方为一因数,那么此素数平方也是mn的因数,故μ(mn)=0=μ(m)μ(n)。以上是直接的证明,作为练习,读者也可以用数学归纳法给出第二个证明,这是训练大脑的好机会。由0=μ (4)≠(-1)(-1)=μ (2)μ (2) 知,莫比乌斯函数不是“完全积性的 (completely multiplicative) ”,即等式μ (mn)= μ(m)μ(n)并不总是成立。
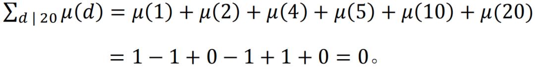
由定义知μ(1)=1。 下面我们证明一个非常管用的等式: 对任何大于1的自然数n,
。
(1)
例如,当n=20=2·2·5,它的正因数为1, 2, 4, 5, 10, 20,故有

上面的例子隐藏着等式(1)的证明思路。根据算术基本定理,令为n的素数分解,则由于当n的因数d是平方数倍数时μ(d)=0,等式(1)左边的和式中只需考察d为p,p,…,p中某些相异数的积,以及d=1。这些d为:1=C(k, 0)个1,C (k, 1 )个p,C (k, 2 )个p p, …,C (k, k )=1个p p … p,其中C (k, i )=k!/[i!(k-i)!]为从k个物体中每次选取i个形成一组的所有组的个数。故由二项式定理,

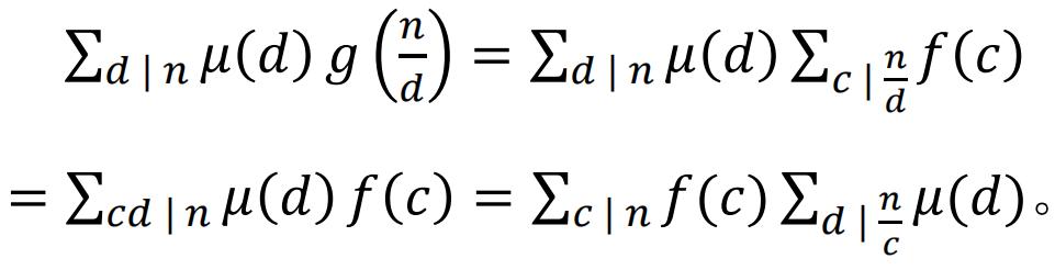
现在我们着手证明莫比乌斯反演公式(I)。 首先,根据 算术函数g的定义 并 交换求和的次序 (道理等同于将一组有限个数分别按两种方式分成若干小组,按各自方式先加组内数再把和数相加的最后总和一样。最简单的情形是:一组排成长方阵的数相加,无论一行一行地加还是一列一列地加,结果一样,即),(I)的右端

当c=n时,,而当1 ≤ c<n时,由(1)式知。从而我们得到等式

这就证明了(I)。
从算术函数f到算术函数g的函数值g(n),由于定义以及反演公式(I)只是通过有限和的形式表达的, 我们仅仅用到莫比乌斯函数的因数和公式(1)就“初等地”证出了莫比乌斯反演公式(I)。 用同样的方法可以证明,若f和g满足(I),那么它们也满足(*)。人们 将g称为f的莫比乌斯变换(Möbius transform) ,而 把f称为g的莫比乌斯逆变换(inverse Möbius transform) 。注意,还有一个中文翻译也是“莫比乌斯变换”的 英文数学术语Möbius transformation ,它指的是 将复数映成复数的线性分式变换w=(az+b)/(cz+d) 。
如果在莫比乌斯变换中 将f和g分别换成In f和In g ,则(*)和(I)隐含下列乘法形式的莫比乌斯反演公式
当且仅当
(MI)
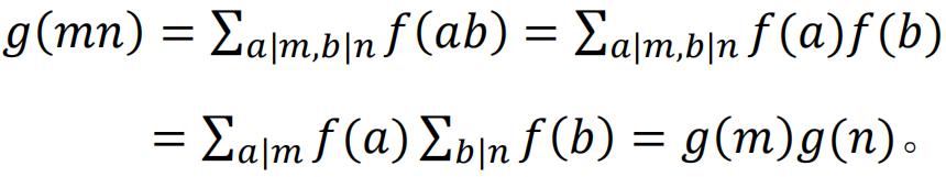
前面已证莫比乌斯函数是 积性 的,它的因数求和算术函数通常记为ε,并且ε(n)=满足ε(1 ) =1及ε(n) =0(n>1) 。显然ε也是积性函数。这个性质可以推广为一般结论: 若算术函数f是积性的,则由(*)定义的算术函数g也是积性的。 可以这样证明它:令自然数m和n互素。由定义(*),

因为m和n没有除1之外的正公因数,d=ab,其中 a|m和b|n 。 显然a和b互 素 ,故有

狄利克雷卷积
学过傅里叶变换的读者对函数之间的 卷积(convolution) 运算不会感到陌生。两个函数f和g的卷积f*g被定义为其中一个函数与经过反射与移位作用后的另一个函数乘积的积分,表示一个函数的形状如何被另一个函数改变。如果f和g的定义域都是整个实数轴,那么它们的卷积是。运用积分的变量替换法,易证f*g=g*f,即卷积运算满足交换律。傅里叶分析中的卷积定理说,如果F和G分别是f和g的傅里叶变换,那么F和G的乘积的傅里叶逆变换是f和g的卷积。对于工程数学中常用的 拉普拉斯变换 ,也有类似的卷积定理。
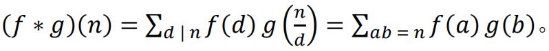
那么,卷积的思想和方法和“莫比乌斯反演”也有关系吗?当然有!这就是在数论中用于算术函数的 狄利克雷卷积 ,此概念简直就是莫比乌斯反演的直接推广。它的定义与莫比乌斯反演公式(I)右端的表达式极为相似,除了那里的莫比乌斯函数μ被一般函数取而代之:令f和g为算术函数,则f与g的狄利克雷卷积是算术函数

显见狄利克雷卷积也像整数相乘那样是可交换的。此外,在函数加法和内涵为狄利克雷卷积的“乘法”下,所有算术函数的全体也像所有整数全体那样构成一个可交换环,称为 狄利克雷环 。整数环的乘法单位元是正整数1,而狄利克雷环的乘法单位元就是前面提到过的算术函数ε,其官方名字是 “恒等算术函数(identity arithmetic function)” ,并且有恒等式。自然,它不是巧合。事实上,用上面证明莫比乌斯反演公式一样的途径,就能 很快验证f*ε=ε*f=f 。
此外,狄利克雷卷积也像整数乘法一样, 满足结合律和分配律: (f*g)*h=f*(g*h)及f*(g+h)=f*g+f*h。就狄利克雷环而言,当且仅当算术函数f满足f(1)≠0,它有狄利克雷逆,即存在算术函数f 使得f*f =ε。特别地,常数函数1的狄利克雷逆就是莫比乌斯函数μ,即有下一段论证中所需要的关系1*μ=ε。这里我们已用1代表在自然数集合上取值处处为1的函数,它的名称是 “单位算术函数(unit arithmetic function)” 。
有了卷积的强大工具,我们可以给莫比乌斯反演公式一个 更简洁的证明 。首先,公式(*)可写成卷积形式g=f*1。进而,反演公式(I)从右到左的推导过程是

反过来,在(I)成立的条件下,如下步骤推导出(*)为真:

由此可见,在狄利克雷卷积的语境内,经典莫比乌斯变换的表述就是:
g=f*1当且仅当f=g* μ。
一般理工科大学生大概是从 傅里叶级数或偏微分方程边值问题 中得知德国数学家 狄利克雷(Gustav Lejeune Dirichlet,1805-1859) 的大名,但不要误以为他 只专“分析数学” ,就像今日几乎所有数学家那样只精通一门手艺。他同时是数论大家,开创了解析数论分支。 函数的现代定义也源自于他, 让今日全球的中学生从这最合理的定义中获益。
既然莫比乌斯反演只是“单位算术函数1的狄利克雷逆是莫比乌斯函数μ”这个事实的“代名词”,原始的莫比乌斯变换双公式(*)和(I)马上可以推广成如下的一般反演公式:假定算术函数α有狄利克雷逆,那么
当
且仅当
(#)
(#)的更简洁醒目的卷积形式是g=α*f当且仅当f=α *g。 如果将卷积符号想象成小学生都知道的算术乘号,这就和6=2×3当且仅当3=2-1×6一样简单了。 可见,抽象数学并非那么难懂。
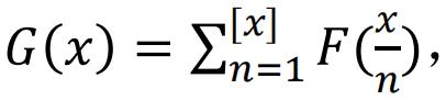
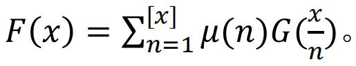
我们给出 古典莫 比乌斯反演公式的另一类推广 ,它将定义在自然数集上的算 术函数一般化到定义域为[1, ∞ )的 复值函数。为了显示与之前的定义域区别,这里的函数将用大写字母表示。设F和G为将[1, ∞ )映到复数集内的两个函数,满足等式
(**)
其中[x]是小于或等于x的最大自然数。我们将演绎出下面的反演公式
(Ⅱ)
其实,只需用与证明(I)同样的办法,从(Ⅱ)的右端就能推演到左端:

上面第二个等号是因为按mn=k进行分组,重排求和次序。
对应于离散情形下的一般公式(#),(**)和(Ⅱ)的推广形式是:
当且仅当

欧拉函数
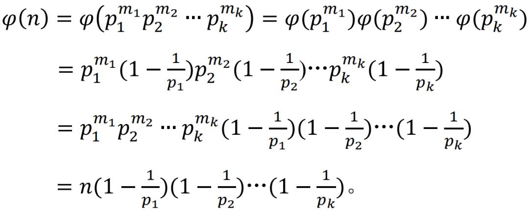
既然经典的莫比乌斯反演公式是 为数论而生 ,不给出它在数论中的一个 具体应用 似乎说不过去。我们就选数论中名气大的 欧拉函数φ 做例子。该函数是 欧拉(Leonhard Euler,1707-1783) 于1763年引进的, 它在自然数n处的值φ(n)被定义为不大于n并与n互素的自然数的个数。 前十个欧拉函数值是φ(1)=1,φ(2)=1,φ(3)=2,φ(4)=2,φ(5)=4, φ(6)=2, φ(7)=6, φ(8)=4, φ(9)=6, φ(10)=4 。
因为每个自然数都是素数之积,我们算一算 φ (p )等于几,其中p是素数。从1到 p 这 p 个自然数与 p 的最大公因数仅可能是1, p, p ,…, p ,故其中与它的最大公因数大于1的自然数是p, 2p, 3p,…, p p= p ,它们共有 p 个,剩下的自然数与 p 互素,故有公式φ(p )= p -p 。
欧拉函数是 积性 的,即对任何互素自然数m和n有 φ(mn)=φ(m)φ(n) 。我们 仅对m=p和n=q简要证明之 ,其中p和q为相异素数,一般情形同法可证。从上一段知道,在小于p 的自然数中,有φ(p )=p -p 个与p 互素,记它们的集合为P;同样,在小于q 的自然数中,有φ (q ) =q -q 个与q 互素,记它们的集合为Q。根据“中国剩余定理”,这两个集合的乘积P ×Q与不大 于p q 且与之互素的那些自然数全体具有一一对应关系。换句话说,任给P中的数a和Q中的数b,数ab< p q 且与p q 互素;反之,任给小于p q 且与之互素的自然数c ,存在 a∈ P及b∈Q,使得c=ab。故有

对于任意自然数的素数分解,由欧拉函数的积性,

这就是著名的欧拉乘积公式。
上面用到的 中国剩余定理又称孙子定理 ,这个“孙子”与“孙子兵法”无关。在南北朝时期的 《孙子算经》 里有道算题:“有物不知其数,三三数之剩二,五五数之剩三,七七数之剩二。问物几何?”它的最小数答案是23,其解法的理论化就成了关于一元线性同余方程组的“孙子定理”。这里给出只有两个方程的特殊版本:设整数m和n互素。则对任意整数a和b,同余方程组

有 解x =adn+bcm ,其中整数c和d满足cm+dn=1。
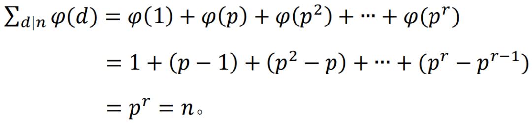
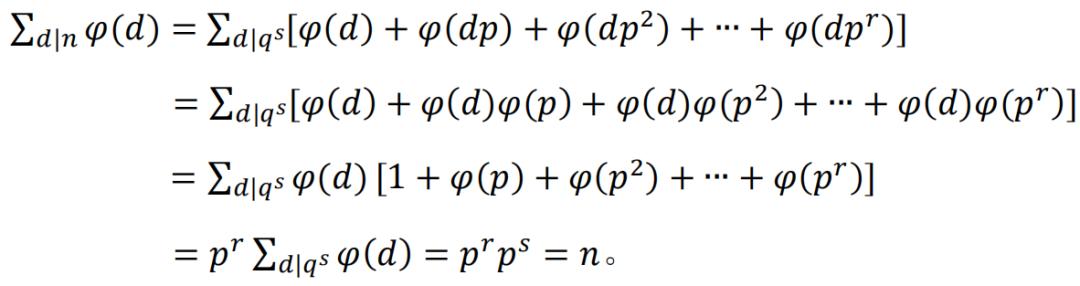
现在我们给欧拉函数因数求和:。它等于几呢?当n=p ,则

当n=p q ,则n的每个因数可写成p 的因数与q 的因数之积,故有

对的一般情形,证明本质上无异。所证的公式

由高斯 (Carl Friedrich Gauss,1777-1855) 建立。如用狄利克雷卷积形式,就是φ*1=Id,其中Id是恒等函数 。
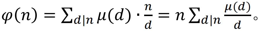
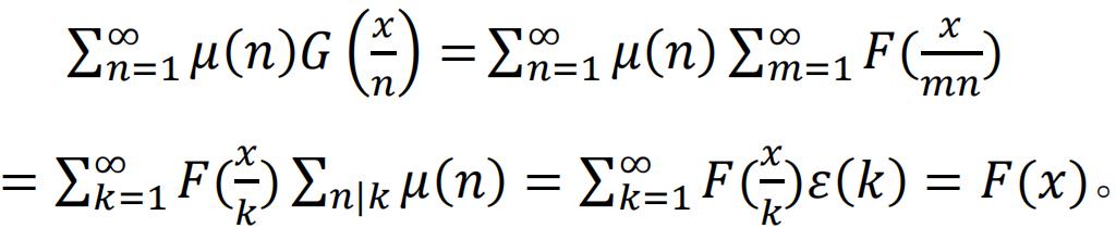
现在可用 莫比乌斯反演公式 了。将(I)应用于上面的高斯等式,得到欧拉函数用莫比乌斯函数表达的显式

上面的表达式为找到欧拉函数的狄利克雷逆提供了线索。去掉φ(n)表达式中的n,再将分母中的d上移成分子,就定义了一个算术函数。然后,

故。
分圆多项式
我们再将莫比乌斯反演公式 用于一类多项式 。多项式方程z-1=0的复数解称为1的n次根,它们是

记,则上述n个根可写成 的幂次:,称其中幂次k与n互素的那些根是1的n次本原 (primitive) 根。本原根的一个等价定义为它是z-1的根,却不是任何低次多项式z -1的根。本原根 具有性质:隐含n|l。
给定n,根恰好为所有本原根的首一多项式Φ称为n阶分圆多项式,即

在上式中,gcd(k, n)代表k和n的最大公因数。
对于1的任何n次根z,使得等式z=1成立的最小自然数d称为z的阶,它满足d |n。该性质可用来证明下面的多项式等式
(***)
事实上,设z为(***)中右端多项式的一个零点,则对n的某个正因数d,有z =1。令n=dm,则z =(z )=1=1。另一方面,若z =1,则z的阶d整除n,故z是1的本原d次根,即它是分圆多项式Φ的一个零点。(***)式得证。
将乘法形式的莫比乌斯反演公式(MI)应用于(***),便得分圆多项式的显式表达式:

无穷级数
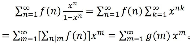
至此所讨论的级数都是 “有穷级数” ,即有穷个数的和式。下面考虑几个无穷级数,对它们进行“级数通项分组重排”的莫比乌斯反演手术时,需要保证运算正确,一个使得手术成功的充分条件是相关级数“绝对收敛”,一旦无穷级数出笼,这个假设将不加交代地给出。理由很简单:仅仅条件收敛的级数可以重新排列通项数列使得新级数改变其和。我们先考虑以 博学家(polymath)兰伯特(Johann Heinrich Lambert,1728-1777) 姓氏命名的一类特殊级数。对于无穷数列{f(n)},假 定|x|<1 ,运用等比级数求和公式,有

上式左端称为 兰伯特级数 ,右端说明它等于幂级数,其中{f(n)}和{g(n)}满足(*)。特别地,如果,由于,就有恒等式

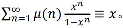
若取,则

在兰伯特级数公式中作变量替换x=e,就获得它的另一种形式:

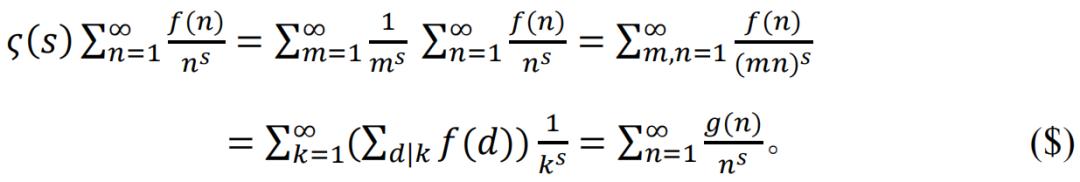
类似的做法可以用于所谓的狄利克雷级数。将黎曼 函数的级数表达式乘上狄利克雷级数,用对待兰伯特级数同样的技巧,就有

特别地,取f(n)为莫比乌斯函数μ(n),因为 (参见之前的狄利克雷卷积等式1*μ=ε ) ,得到 函数倒数的级数表达式

用 ($)式的证明思路可推出更一般的等式

意想不到的联系
行文至此,谈到的莫比乌斯反演公式及其应用都未跨出纯粹数学的地盘。难道它在其他学科找不到应用吗?数论曾被认为是纯得不能再纯的数学分支,极具美学价值,至少英国数论大家哈代 (Godfrey Harold Hardy,1877-1947) 坚信只有微积分之类的“低档次数学”才可以被应用科学家拿来玩一玩,而数论被数学王子高斯视为“数学的皇后”,只能欣赏其美,却不能被指派任务。全球物理学界似乎也没有真正对莫比乌斯反演公式动过多少心思。直到1990年,顶级物理学期刊《物理评论快报》 (,简写PRL) 在第六十四卷第十一期上 发表了一篇中国人独自署名的论文 ,甚至惊动当时的 《自然》 主编,为此刊发了整版评论。
这位中国学者名叫 陈难先(1937- ) ,毕业于北京大学物理系,1984年在宾夕法尼亚大学获得电气工程与科学博士学位。他在这篇别开生面的文章发表七年后当选中国科学院院士。文章的题目是 “修正莫比乌斯反演公式及其在物理学中的应用(,Phys. Rev. Lett. 64,1193;1990)” 。
那么,陈教授修正后的莫比乌斯反演公式是什么呢?它在形式上与经典公式最大的区别是:新公式是一对无穷级数表达式,后者是前者的反演表示 (为与本文符号一致,我将原文中的A改成G,将B改成F,将ω改成x) :
当且仅当。 (CNX)
乍一看,上述公式与之前(**)和(Ⅱ)两公式的不同之处仅是用无穷级数取代了有穷级数。正是从有穷到无穷的飞跃,容易使人觉得证明不会那么“初等”,极限思想必定要插进来相助。事实是,作者在文末附录提供的证明依然是初等的,唯一增加的额外条件是有关级数的绝对收敛性,这是非常自然的。可惜,在《数学年刊》 (,名气媲美PRL的顶尖数学杂志) 等一众数学期刊眼里,证明中个别地方的书写缺乏足够的严格性,一个例子是写成了。这或许是理论物理学家的写作风格,须知杨振宁先生曾有一句名言: “现代数学的书可以分成两种,一种是看了一页看不下去的,另一种是看了一行就看不下去的。”
我在翻看哈代与赖特 (E. M. Wright,1906-2005) 的大作《数论导引》 (An Introduction to the Theory of Numbers) 时发现,书中第237页上的定理270 [令我惊讶的是,此书仅四百余页,竟有四百六十个定理!而我读过的另一本《代数特征值问题》,著者威尔金斯(James H. Wilkinson,1919-1986)也是英国人,书的部头更大(662页),却只列出四个有标号的定理。] ,与陈教授用来解决三个物理反问题所证的推广公式 (CNX) 本质上别无二致:
当且仅当。 (HW)
上述两位作者在书中证明了古典的莫比乌斯反演公式(I)及其实变量情形推广形式(Ⅱ)后,已经不太耐烦了,就定理270而言干脆给读者下达了证明任务:The reader should have no difficulty in constructing a proof with the help of Theorem 263; but some care is required about convergence. (读者在定理263的帮助下构建证明应该没有困难;但需要注意收敛性。) 受此鼓舞,我摊开纸做他们布置的习题,发现与证明(Ⅱ)几乎一模一样。下面我就用与证明家庭作业 (homework,简写HW) 题 (HW) 同样的方法验证 (CNX) :

上面第二个等式为真,是因为数的无穷方阵有如下分组重排求和法:

其中令。这样就少用了一个有无穷多项 的∑而代之 以有限和。自然,正如我上面所说,需要事先假设相关级数的绝对收敛性。这里,该条件是

其中d(k)是k的正因数的个数。
既然莫比乌斯函数μ是单位算术函数1的狄利克雷逆,与上同理可以证明比 (CNX) 更加“修正”的 莫比乌斯型反演公式:对于具有狄利克雷逆的算术函数α,
当且仅当 (GCNX)
及其等价形式
当且仅当。 (GHW)
希望这两个公式也能找到对物理科学的应用。
陈难先院士不仅在研究上有创造力,而且也热心为大众写作。我孤陋寡闻,迟至2020年读到他为《数学文化》写的一篇美文 《末毕其人其事》 ,才第一次知道他的大名。标题中的 “末毕” 就是他采纳的Möbius译名,理由就在文中第一段:“笔者以为,深谙英、德文字发音的王竹溪 (1911-1983) 先生翻译得最好:末毕。”我赞叹: 物理学家就是与众不同! 同时也纳闷:为何他对末毕情有独钟?现在恍然大悟了: 那时再向前三十年,德国数学家先贤就已找到一个半世纪后的中国物理学家知音!
由于陈难先教授的PRL论文吹响了将数论旗帜插在物理山巅的号角,世界顶尖期刊《自然》那年自然对他特别关注。主编马多克斯 (Sir John Royden Maddox,1925-2009) 爵士在1990年3月出版的第三百四十四卷News and Views (新闻与观点) 专栏中写了一页评论,文前提要是: “谁说数论是纯粹学术性的而与实用无关?古老的莫比乌斯定理意外地被证明可用来解决物理反演问题,可能具有重要应用 (Who says that the theory of numbers is strictly academic? An old theorem due to Mobius has unexpectedly proved to be a way of solving physical problems of inversion that may have important applications)。” 该评论称赞陈难先先生“通过巧妙的运用将莫比乌斯反演定理付诸实践”,并列举了这位创造型物理学家在其PRL论文中细表的三个实践例子。在评论的最后,主编觉得可以合理地猜测,“陈的证明表明,即使是莫比乌斯也保守着现代世界的奥秘,现在会有一小群人在数论文献中搜寻,希望找到其他有用的工具,而这个领域此前可能被误认为是不毛之地。 ( It is fair to guess that, with Chen's proof that even Mobius has something to tell the modern world, a small army will now be scouring the literature of the theory of numbers in the hope of finding other useful tools in what may have been unjustly regarded as a backwater.) ”
他说得一点不错。 纯粹数学的种子,无论是历久弥新的经典公式还是热气腾腾的新鲜理论,只要广泛撒向物理世界的广袤大地,都有可能结出丰硕的果实。 物理学家们,多接触些数学吧!数学家们,去交物理学家朋友吧!
本文受科普中国·星空计划项目扶持
出品:中国科协科普部
监制:中国科学技术出版社有限公司、北京中科星河文化传媒有限公司

来源:返朴
编辑:wnkwef