一、根式的化简与求值
(1)根式的化简思想是将根式有理化,利用根式的性质和乘法公式(完全平方公式、立方和(差)公式等),将所求代数式恰当地变形,达到化繁为简的目的;
(2)根式的计算,遵循n为偶数时,根式= |a|, n为奇数时,根式=a(n属于N*);
(3)对于双重根式,当满足a>b>0,a+b=m,ab=n时,有双重根式=Va±Vb。

二、幂的化简与求值
a,(1)有括号先算括号里的,无括号先进行指数运算;
(2)负指数幂化为正指数幂的倒数;
(3)底数是小数,一般要先化成分数;底数是带分数,要先化成假分数,然后要尽可能用幂的形式表示,便于用指数幂的运算性质。

b,引入负指数幂及分数指数幂后,平方差、立方和与差、完全平方公式就有了新的形式,被赋予了新的活力,运用这些公式的变形,可快速巧妙地解决问题。
三、含附加条件的求值问题
(1)对于条件求值问题,一般先化简代数式,再将字母取值代入求值。但有时字母的取值未知或不易求出,这时可将所求代数式恰当地变形,构造出与已知条件相同或相似的结构,从而通过“整体代入法”巧妙地求出代数式的值;
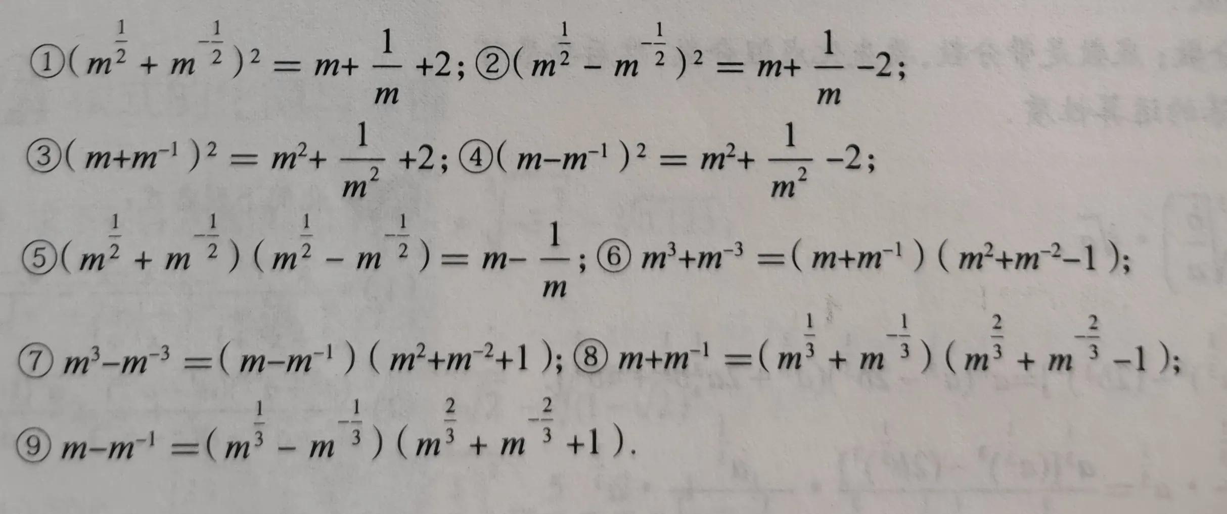
(2)利用“整体代入法”求值常用的变形公式如下(m>0):

整体代入法

四、与指数幂有关的等式的证明
对于指数幂等式的证明问题常常是将指数幂化为同底,利用指数幂相等的规律进行证明。解决此类问题的关键是通过指数运算进行等价代换,以及利用参数找到已知与结论的联系,这样才能使问题迅速得到解决。

五、易错易混问题——忽略偶次算术根非负
对于根式的化简一定要注意n是正奇数还是正偶数,因为根式=a(a属于R)成立的条件是n为正奇数,如果n为正偶数,那么根式=|a|。
