
2023国家公务员考试公告已经发布,共招录37100人,17655个职位,10月25日到11月3日报名。笔试时间则是在12月3、4日。从今年整体招录情况来看,2023国家公务员专科共计招录272人,较去年缩招182人,减幅40%。并且在今年的职位表中已经没有“仅限专科”的岗位,这就意味着专科生的岗位要和不少本科生做竞争。
|
2022年 |
2023年 |
|
|
专科招录人数 |
454 |
272 |
|
专科招录岗位 |
234 |
462 |
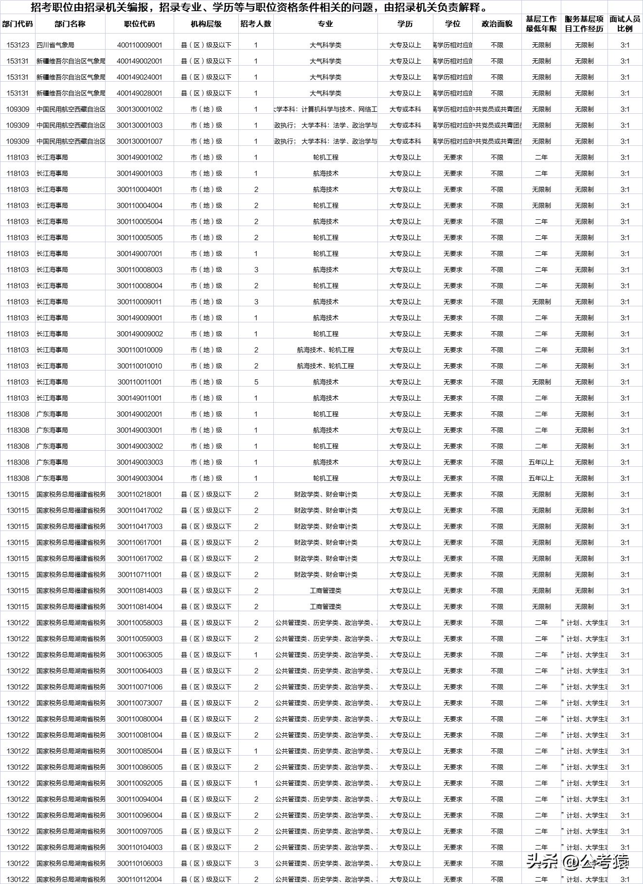
专科主要招录单位:中国民用航空*藏西**自治区管理局公安局,长江海事局,国家税务总局福建省(湖南,四川,青海)税务局,吉林(*藏西**、*疆新**)出入境边防检查总站,四川省气象局,*疆新**维吾尔自治区气象局。
专科可报岗位汇总表



从近几年的趋势来看,无论是在省考还是国考,专科生在公务员考试中的占比正在逐渐减少。硕士、博士的需求在不断提高。这也就意味着各位专科的小伙伴在未来可能面临着无岗可报的情况。
上图展示的专科岗位对专业要求较为宽泛,海事局要求的专业为轮机工程和航海技术,对于专业的要求十分明确,从历年的情况来看,这类岗位的竞争比不会太高,如果是这两个专业的考生可以优先选择这类岗位。其次,公务员招录岗位都有最低工作年限,分别为2—5年不等,而专科生岗位的最低服务年限普遍为5年。

除了学历、专业的限制外,少数岗位会有额外限制,还有部分的专科岗位限制户籍,有极个别岗位会限制性别。这些信息都在“备注”项中详细展示,在选岗报岗时务必看好备注信息,以免审核不通过。除此之外,如果在报考的过程中遇到不同的问题,可以咨询招考单位,招考单位的联系方式在职位表中都有体现。
关注我,老师会在报名结束的最后几天里推荐报考职位,有兴趣的小伙伴可以点击关注以免错过信息推送。点赞+关注了解更多公考资讯~
