九江市2022—2023学年度下学期期末考试试卷高一数学试题及答案

九江市2022—2023学年度下学期期末考试试卷高一数学试题及答案

九江市2022—2023学年度下学期期末考试试卷高一数学试题及答案

九江市2022—2023学年度下学期期末考试试卷高一数学试题及答案

九江市2022—2023学年度下学期期末考试试卷高一数学试题及答案

九江市2022—2023学年度下学期期末考试试卷高一数学试题及答案

九江市2022—2023学年度下学期期末考试试卷高一数学试题及答案

九江市2022—2023学年度下学期期末考试试卷高一数学试题及答案

九江市2022—2023学年度下学期期末考试试卷高一数学试题及答案

九江市2022—2023学年度下学期期末考试试卷高一数学试题及答案

九江市2022—2023学年度下学期期末考试试卷高一数学试题及答案

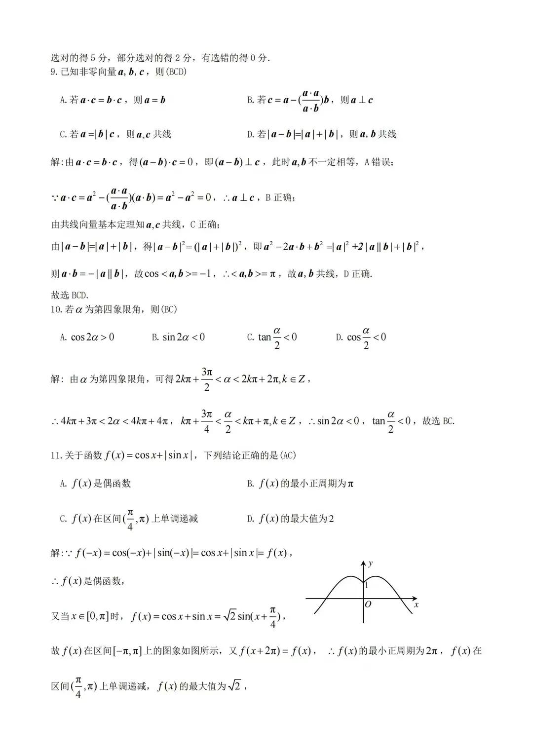
九江市2022—2023学年度下学期期末考试试卷高一数学试题及答案

九江市2022—2023学年度下学期期末考试试卷高一数学试题及答案

九江市2022—2023学年度下学期期末考试试卷高一数学试题及答案