大家好,我是百芯,可以叫我老百姓(老百芯)[笑哭]
之后我会在这里和大家分享 DFM可制造性分析 、 PCB设计 、 DFM工具 , 电路设计 等相关的知识,请大家多多指教。
今天主要给大家简单介绍一下:PCB 上晶体振荡电路的设计。

晶振实物图
在大部分电路中,设计晶体振荡电路是经常会遇到的。网络上也有很多关于晶体振荡器设计的笔记,不过都是针对大规模生产,这种方法也需要投入大量的测试和不断地进行优化。
这篇文章更加适合小型的电路项目,可以帮助你 设计晶体振荡器 和 选择合适的负载电容。

PCB 图
一、PCB上 晶体振荡电路设计步骤
这里主要有 4个简单的步骤:
1、选择晶体振荡器
选择晶体振荡器需要考虑到以下3 个因素:
- 可拉性与功耗
- 振荡器对频率变化的功耗启动时间与封装尺寸
- 上电后达到稳定振荡所需要的时间成本
1) 可拉性与功耗
一般来说,拉力低的晶体振荡器需要较大的负载。每个振荡周期都必须要释放电容的能力,因此 更大的负载电容意味着更高的功耗损耗。
很多微控制器的 datasheet 中都会有推荐负载电容的最大值,这样的话可以减低驱动电路中的功耗。
2) 振荡器对频率变化的功耗启动时间与封装尺寸
较小的晶体振荡器封装具有较大的 ESR ,较大的 ESR 会提供较大的临界增益(gm_crit),从而降低增益宽=裕度。
增益裕度降低意味着晶体需要更长的时间才能启动。
3) 上电后达到稳定振荡所需要的时间成本
其实很多时候性能和成本并不是强关联,如果 在满足性能下,可以选择成本相对较低的晶体振荡器。
2、检查微控制器是否可以驱动晶体振荡器
通常来微控制器的 datasheet 中会提供一些关于怎么选择晶体振荡器。这些参数与临界增益由关,临界增益是微控制器电路启动晶体振荡器所需的最小增益。
有的 datasheet 还会提供一组给定频率和负载电容的晶体振荡器允许的最大的 ESR。
如果微控制器数据表提供振荡器跨导(通常以uA/V为单位)或最大临界增益,那么 我们 需要计算晶体的临界增益并检查微控制器是否可以驱动它。
下面为临界增益计算公式:

临界增益公式
在这个公式中:
- F 是晶体振荡器的 标称频率
- ESR 是晶体的 等效串联电阻
- CO 是 晶振并联电容
- CL 是晶体的 标称负载电容
临界增益是晶体的一个属性,这些参数在晶体的数据手册中。
接下来计算增益裕度。 如果增益余量大于5,则振荡器将可靠启动。更大的增益余量意味着更快的振荡器启动。
晶体振荡器的启动条件:增益余量大于5,如下公式所示:

晶体振荡器的启动条件
下面为增益裕度计算公式:

增益裕度
或者,一些微控制器数据表提供了最大临界增益gm_crit_max。在这种情况下,gm_crit必须小于gm_crit_max。
如果微控制器不满足驱动晶振的要求,就需要重新选择晶体振荡器。
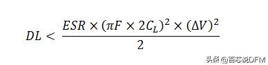
3、晶体振荡器的功耗
datasheet 中会指定了晶体的驱动电平 (DL), 驱动电平基本上是晶振正常工作时的最大额定功率。
驱动电平的粗略估计可以用下面这个公式计算:

驱动电平驱动电平计算公式
在上面这个公式中:
- △V 是 峰峰值振荡器电压 —— 最坏的情况:△V=Vcc
如果估计值低于晶体振荡器的额定驱动电平,则直接进行下一步。

符合要求的驱动电平
如果估计值高于晶体振荡器的额定驱动电平,你可以改进估计值或者重新另外的晶体振荡器。
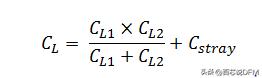
4、选择负载电容 CL1和 CL2
第一次设计晶体振荡电路的时候,先假设两个负责电容是并联的。选择了CL1=CL2=0.5*CL,但经过验证过后,这是错误的。
负载电容是晶体两端所需的电容,因此 CL1 和CL2 串联。 负载电容的计算公式如下所示:

负载电容的计算公式
将负载电容的计算公式简化一下,简化后的公式如下所示:

简化后的负载电容计算公式
Cstray 是来自微控制器引脚和走线电容的杂散电容的累积,很多有经验的工程师建议,将这个值估计为 5pF 左右。
则公式为以下:

负载电容公式
一些微控制器数据手册提供了更准确数据一一例如,msp430f22x2系列指定了 1pF 的杂散电容,非常适合其低功耗模型。
二、PCB 中晶体振荡电路设计
这里希望通过 PCB 布局来最小化振荡器和外部信号之间的耦合,因为高频耦合会激发晶体振荡器的高次谐波,晶振是干扰外部电路的噪声源。
具体有以下几点需要注意:
1、晶体振荡器靠近微控制器
短走线具有低互感和电容,长走线具有高互感和电容。使晶体靠近微控制器可以缩短走线,从而减少耦合。所以 走线的长度尽可能短,但不能与其他信号线交叉 。
2、振荡器电路与高频电路隔离开
路由非振荡器信号时, 高频电路要远离振荡器电路 。也可以考虑使用带有通孔的铜迹线,围绕着振荡器电路,这将减少外部信号线和振荡器之间的互感。

振荡器电路与高频电路隔离开
通常的做法是 将振荡器电路下方的接地层分开,仅在一点点连接分离的接地层,就在微控制器接地旁边。 这可以防止来自其他信号源的返回电流通过振荡器使用的接地层。上图的示例就是按照这种方法,只是没有很明显。
3、晶振靠近 CPU 芯片摆放,但要尽量远离板边。
因为内部石英晶体的存在,由于外部冲击或跌落容易损坏石英晶体,从而造成晶体不振荡,在设计可靠的安装电路时要考虑晶体, 靠近 CPU 芯片的位置优先放置远离板块的一面。

晶振放置图
(圆柱晶振)外壳接地后,加一个与晶振形状相似的长方形焊盘,让晶振“平放”在这个焊盘上,并在焊盘的两个长边附近开一个孔(孔要落在焊盘上,最好用多层焊盘代替孔,两个多层焊盘要接矩形焊盘),然后用铜线或其他裸线将晶振“箍”起来,铜线的两端焊接在你开的两个孔或焊盘上。这样可以 避免高温焊接对晶振的损坏,保证良好的接地。
4、手工或机器焊接时,要注意焊接温度
晶振对温度敏感, 焊接时温度不宜过高,加热时间尽量短。

焊接图片
5、耦合电容应尽量靠近晶振的电源管脚放置
放置顺序: 根据功率流向,按电容值从小到大排列 ,电容最小的电容值最接近电源引脚。
6、晶振外壳接地
晶振外壳接地(如果接地影响负载电容的话,就不能接地) ,既可以从晶振向外辐射,也可以屏蔽外界信号对晶振的干扰。
7、不要在晶振下方布线,确保完全铺设好地线
在晶振 300mil 范围内不要布线 ,以免晶振干扰其他布线、器件和层的性能。
8、 时钟信号的走线尽量短,线宽要大一些
时钟信号的走线尽量短,线宽要大一些 。在布线长度与热源的距离之间找到平衡点。
三、示例1∶为 STM32 设计 8MHZ 晶体振荡器

STM32实物图
1、选择晶振
STM32F427 数据手册中要求:
- 对于 4-26MHz 晶体,Gm_crit_max=1mA/V
- 频率容差必须为 +/-500ppm 或更好
- CL1 和 CL2 建议在 5pF 到 25pF 之间
这里我们选择 7A-8.000MAAJ-T,虽然 STM32 的引脚间距为0.5mm,但晶振的尺寸小,可以放置在靠近在 STM32的位置。
7A-8.000MAAJ-T 晶振的特性:
- CL= 18 pF
- ESR= 60 Ω
- 频率稳定性= 50 ppm
- 频率容差= 30 ppm
- CO= 7pFmax
- 驱动电平(DL)= 500uW max
2、检查微控制器是否可以驱动晶振,计算 gm_crit(增益裕度)∶

gm_crit计算公式
所以gm_crit低于Gm_critmax,振荡器电路将可靠启动。
3、晶振可以处理功率损耗吗?
这里粗略估计电路的驱动电平∶

驱动电平计算公式
计算得 DL =267uW,低于晶体允许的最大驱动电平500uW。
4、选择 负载电容 CL1 和 CL2
假设 Cstray=5pF,则∶

负载电容公式
CL1=26pF
STM32 建议将 CL1和CL2保持在 25pF 以下,所以可以选 24 pF 的电容。
四、示例2∶为 ATMEGA328 选择 16MHZ 晶体振荡器

ATMEGA328
1、选择晶振
ATMega328 数据手册的要求:
- 16MHz 的最小电压为 3.78V,以适应安全操作,如图下所示。要驱动 16MHz 时钟,我们必须在 3.78V 或以上,对于本设计,我们在 5V 下工作。
- CL1 和 CL2 建议在 12pF 到 22pF 之间

ATMega328 数据手册
这里选择 9B-16.000MAAE-B 晶振。9B-16.000MAAE-B 晶振 的特性参数如下所示:
- CL= 12pF
- ESR = 30Ω
- 频率稳定性= 30ppm
- 频率容差= 30ppm
- C0= 7pFmax
- 驱动电平( DL)=500uWmax
2、 检查微控制器是否可以驱动晶振
ATMega328 的数据表中 没有跨导规范,这里就必须让开发人员设置好保险丝 ,以便在填充 PCB 后启用振荡器。
3、晶振可以处理功率损耗吗?
粗略估计电路的驱动电平(DL)∶

驱动电平计算
驱动电平( DL )=545uW。
驱动电平估计值太高。但是,如果选择 CL1并且表明设计的功耗是可以承受的,就可以改进这个估计值。
4、选择 负载电容 CL1 和 CL2
假设Cstray=5pF,则∶

负载电容 计算
CL1= 14PF。
参考来源:https://hoani.net/posts/blog
以上就是关于 PCB 晶振电路的设计与布局 ,希望大家多多支持。

图片来源于网络
记得点赞、分享、收藏、转发,评论。