微积分中值定理是微积分学中最简单的也是非常重要的定理,它在电子学,物理学,无线电领域应用广泛,本篇就来谈谈中值定理的一些有趣的结论和应用,如下就是f(x)在连续的(a,b)上存在某点c的中值定理。

第一:如果f(x)在连续的(a,b)上的积分等于0,且 a不等于b,你想到f(x)是什么样式的吗?

从这个直观的结论我们可以猜到,f(x)肯定有一点经过0点,不然a到b不可能连续,上述的积分更不可能成立。
在从数学的角度,即微积分中值定理来验证我们的猜测,如下得到f在(a,b)上存在某个点c,这个c=0

那么你很容易想到符合上述结论的有正弦函数,余弦函数。
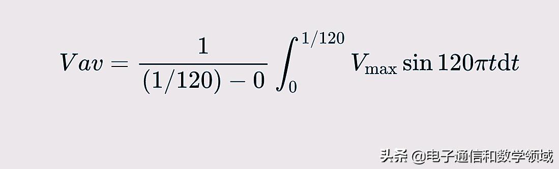
第二:我们配电室的电压用正弦函数

来表示,其中120π是角速度,我们得到它的频率等于60Hz,Vmax是电压的峰值
我们运用微积分中值定理,计算下从0到1/120秒的半周上的平均值

这个式子就是

最终计算得到半周上的平均值等于

学过电子的朋友对这个公式很熟悉,这就是整流滤波电路输出后的电压值:2Vmax/π,这就是它的来源,运用的数学原理就是微积分中值定理
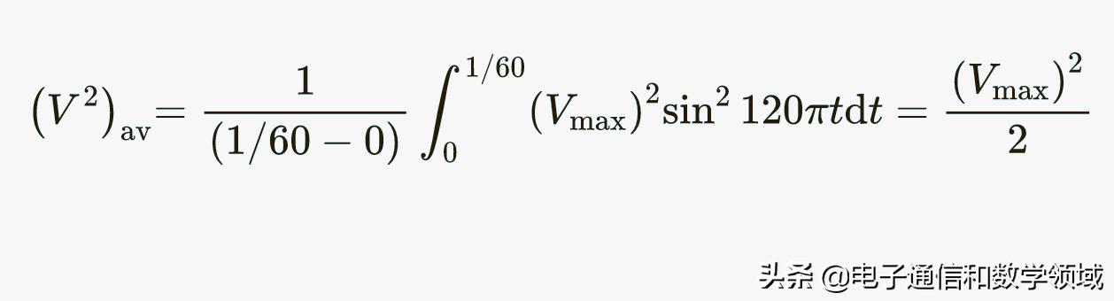
从上图看出,电压在整个一周上的平均值等于0,我们用标准的电流计就可以检出来,仪表度数是0
为了有效的测试交流电压,我们使用一种测量电压的平方的平均值的平方根

的设备,下标是"rms"代表“平方平均的平方根”因为在一个周期上

的平均值是

那么“rms”电压是

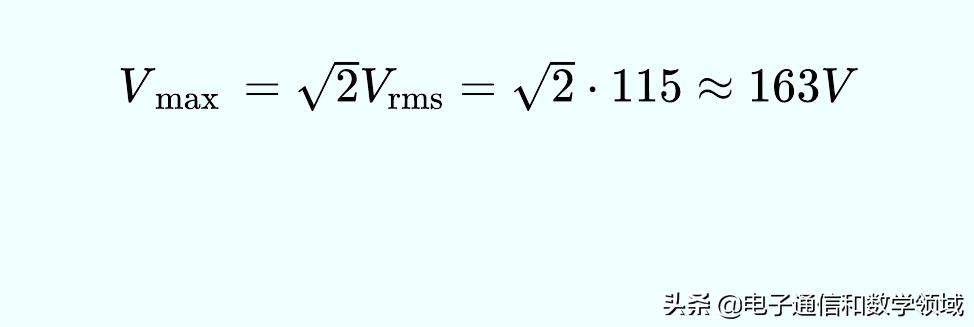
我们住宅的电流和电压给出的值总是rms值,这样“交流115伏”意味着rms电压是115,由此它的峰值就是

这明显高于电表所显示的数字。