1 引言
严格的说,这篇文章的题目应该叫“二阶矩的日历效应”,因为它包括日收益率自身的波动率以及不同交易日之间收益率的协方差。但显然,“波动率”是个更接地气的称呼。
言归正传,投资者对股市中的很多收益率的日历效应并不陌生,比如华尔街流行的“Sell in May”和“January Barometer”,以及 A 股中流传的“星期四法定砸盘日”等。
本文想从波动率的角度解读两个日历效应:
- 在一周的五天中,哪天股市的波动率最大?这里波动率定义为日收益率的方差或者标准差。
- 如果以连续五天为基础计算一周的周收益率,那么周收益率的波动率是否和这五日的定义方法有关?(比如从上周五收盘到本周五收盘是一种定义方式,而从本周一收盘到下周一收盘则又是一种定义方式。)
在具体分析前不妨先给出结论:
- 一周的五天中,周一的波动率最大。这个现象一般被称为周末效应,它背后有多重原因。
- 在计算周收益率时,如果这连续五天来自同一周(最常见的日历周方式)、而非跨越两个相邻的周(比如本周二收盘到下周二收盘),则它的波动率最低。这得益于同一周内日收益率之间的负相关。
下面就以上证指数为例来解释这两个现象。
2 星期一波动率最高
人们都有这样的感受,即股价在周一的波动往往较星期内的其他几天更大。以过去 15 年的上证指数为例,下图为它在星期一到星期五这五天的对数收益率的箱体图。使用对数收益率的原因是我们之后会使用 F 检验来判断这些收益率的波动率是否相同,而 F 检验对待检验的随机变量是否满足正态分布非常敏感。由于对数收益率比收益率更符合正态分布,因此我们使用对数收益率进行下面的计算。

从图中直观来看,星期一的对数收益率有更广阔的分布,即更高的波动率。这五个工作日的对数收益率的标准差分别为:
- 星期一:0.019548
- 星期二:0.015297
- 星期三:0.015646
- 星期四:0.015835
- 星期五:0.014784
除星期一外,其他几日的标准差都在 0.015 左右,而星期一的标准差则接近 0.02。我们自然无法忽视这样的区别,它显然代表着星期一的波动率和其他几日在统计意义上显著的不同。
为证明这一点,对标准差的平方即方差,两两进行 F 检验。原假设为被检测两日对数收益率的方差相同。在原假设下,上述标准差结果发生的概率为:

比如,上表中横向星期一和纵向星期二对应的数值 2.645292e-11 意味着在原假设下,星期一和星期二的对数收益率的标准差出现如此之大差异的概率为 2.645292 的 -11 次方。如果以 1% 为置信水平(99% 的显著性水平)为标准,那我们无疑可以轻松的拒绝星期一和其他任何一天方差相同的原假设。因此可以下结论说,在一周之内,周一的波动率最高,且该结果在统计上非常显著。
接下来就要回答:为什么呢?
由于周六和周日两天休市,周一较前一个交易日(通常为上周五)之间隔了两个休息日。与此相对应的是,周内的其他日子中较前一个交易日仅有一个隔夜。显然,两个休息日比一个隔夜有更大的可能性产生新的消息(不管是正面消息还是负面消息、不管是公司的消息还是监管的消息),这就造成了周一较其他交易日有更大的不确定性。这个高不确定性正是星期一高波动率的来源。高不确定导致投资者以下四种行为:
- 周五清仓:很多短线交易者不愿意持仓过双休日而选择在周五清仓或者减仓。
- 周一重新建仓:周五清仓的短线交易者通常会在周一重新买入加仓。这种情况在趋势市场中更加明显。
- 周一调节仓位:长期投资者通常利用双休日分析、消化前一周的各种信息,从而决定在新的一周买卖哪些股票。这类投资者会在周一对自己的头寸进行调整。
- 对消息的过度反应:当双休日出现利好或者利空消息后,由于行为金融学的认知偏差,投资者会在周一产生过度反应并引发羊群效应,导致对消息的过度解读,从而造成周一收益率的大幅波动。
这些投资者行为的综合作用贡献了周一的高波动率。
3 周内日收益率的负相关
接下来看看“周收益率”的情况。这里,我们不局限于传统日历周的概念;把周收益率定义为连续五个交易日的收益率。在这种定义下产生了以下五种周收益率的计算方式:

显然,除了第一种传统的日历周定义,在其他的四种定义下,它们包含的五个交易日都是跨周的。那么,不同的定义对周收益率的波动率有什么影响呢?回答这个问题对于周频交易的量化策略非常有用。
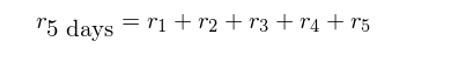
我们仍然考虑对数收益率,因此周对数收益率等于这五个交易日对数收益率之和,即:

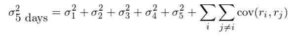
周对数收益率的波动率,即方差,可以写成日对数收益率方差和协方差的和:

不论是否跨周,在这五种定义中,周一到周五均出现(且仅出现)了一次。因此,上式中的前五项对于这五种计算方式来说是相同的。所以,如果周对数收益率的波动率在这五种定义下不同,那一定是日对数收益率的协方差在这五种定义下不同。
结果是不是如此呢?先看数字。在这五种定一下,周对数收益率的标准差分别为:
- 上周五收盘到本周五收盘(传统的日历周):0.034370
- 本周一收盘到下周一收盘:0.038064
- 本周二收盘到下周二收盘:0.036826
- 本周三收盘到下周三收盘:0.035677
- 本周四收盘到下周四收盘:0.035597
从数值上来看,在传统日历周的定义下,周对数收益率的标准差最低。为此,我们有两个猜想:
- 猜想一:同一周内的不同交易日的收益率存在负相关;
- 猜想二:不同周内交易日的收益率相关性为零。
从这两个猜想出发,不难写出这五种定义下,五个交易日的协方差矩阵(把协方差矩阵中的所有项相加就等于上面那个波动率的式子,即得到周对数收益率的波动率)。
定义 1:上周五收盘到本周五收盘(传统的日历周)——的协方差矩阵如下。为方便说明,M、T、W、R、F 分别代表周一、周二、周三、周四和周五。矩阵中的对角线上的元素为方差项,非对角线上的元素——以 X 表示——代表非零的协方差项。根据猜想一,某些 X 的数值为负数。

定义 2:本周一收盘到下周一收盘——的协方差矩阵如下。由于这里出现了跨周,因此我们在下周一的符号M上加上一个 ~ 标记,说明它和之前的 T、W、R、F 来自不同的周。同一周内的交易日之间仍然存在非零的协方差;但根据猜想二,属于不同周的交易日之间协方差为零,协方差矩阵中的红色的数字零正来自这个猜想。为了更清晰的表达,我们索性把 0 隐去,因此最终的协方差矩阵如下图中最下方那个简化版所示。

以此类推,可以写出后面三个定义下的协方差矩阵:



根据猜想二,在所有跨周的定义中,协方差矩阵中都有一些元素为零。与之相反的是,在定义 1 中,由于五天来自同一周而根据猜想一它们之间存在负相关。因此,比较这五个协方差矩阵可以得到如下推论:
在定义 1 中,协方差矩阵中有更多的协方差元素为负。它们源于同一周内日对数收益率之间的负相关。因此,定义 1 下的周对数收益率的波动率(方差)较其它定义下的波动率更低。
我们可以通过数据来验证猜想一。下表为同一周内不同日对数收益率之间的相关系数,可见确实存在负相关,且周一和周三、周二和周三、以及周三和周四之间的负相关都不低。另外周一和周二之间也存在负相关。

这其实不难理解。正如前面所说,周一的高波动率一定程度上源自市场对周末消息的过度解读。当市场冷静下来后,则会出现和周一相反的收益率,造成周二和周三在一定程度上和周一的收益率负相关。
对于一个周频策略,它的核心就是想过滤掉更高频率的噪声。从这个意义上说,同一周内日收益率之间的负相关是非常有利的。因此,对于周频策略,使用传统的日历周定义来计算周收益率是恰当的。
4 其他指数上的实证
以上分析都是以上证指数为标的进行的。最后我们再来看看以上证 50、深圳成指、以及创业板指数为标的的结果。
上证 50:

深圳成指:

创业板:

结果表明,这几个指数也都基本满足上面的两个现象,即周一的波动率最高,以及按照日历周计算的周收益率的波动率最低。唯一的例外是上证 50。它按日历周计算的波动率并不是五种定义下最低的。但是考虑到样本误差,以及它和最低值之间的细微差别,这个结果并不会改变本文的结论。
(全文完)
免责声明:文章内容不可视为投资意见。市场有风险,入市需谨慎。