图像处理
- 常用的图像处理操作是一个函数,它将一个或多个图像作为输入并生成输出图像。
- 图像变可被视为:点运算符(像素变换);邻近(基于区域的)运算符。
像素变换
- 在图像处理中, 每个输出像素的值仅取决于相应的输入像素值(可能还包括一些全局收集的信息或参数);
- 此类操作实例包括亮度调整、对比度调整以及颜色的校正和转换。
亮度和对比度调整
两种常用对比度调整的方法是将像素值乘以或加上一个常数:

- 参数α > 0和β通常称为增益参数和偏置参数,通过这两个参数分别来控制对比度和亮度。
- F ( X )为源图像的像素,G ( X )为输出图像的像素。可以方便地写出以下表达式:
- 其中i和j表示位于第i 行,第j列的像素。
代码C ++
(Java 版本请访问: https://github.com/opencv/opencv/blob/master/samples/java/tutorial_code/ImgProc/changing_contrast_brightness_image/BasicLinearTransformsDemo.java
Python 版本请访问: https://github.com/opencv/opencv/blob/master/samples/python/tutorial_code/imgProc/changing_contrast_brightness_image/BasicLinearTransforms.py)
- 单击 这里,可以*载下**源代码
- 下面的代码执行g(i,j)=α⋅f(i,j)+β操作

代码详解C ++
使用 CV :: imread 加载图像并将其保存到Mat对象中:

接下来,对该图像做一些转换,为此需要创建一个新的Mat对象来存放它。此外,我们希望它具备以下特征:
- 初始像素值为零;
- 与原始图像相同的尺寸和数据类型。
cv::Mat::zeros 返回一个基于image.size()和image.type() 的Matlab格式的零初始化值。
- 我们现在要求用户输入α和β值:

- 为了执行g(i,j)=α⋅f(i,j)+β操作,我们必须访问图像的每个像素。由于是对BGR图像进行操作,所以每个像素包含(B,G和R)三个值,我们必须分别访问它们。具体代码如下:

注意( 只适用于C ++代码 ):
- 我们利用 image.at<Vec3b>(y,x)[c]来访问图像的各个像素,其中ÿ是行号, X是列号,C是B,G或R(0,1或2);
- 由于α⋅p(i,j)+β 操作的值可能溢出或为非整数(如α是浮点数),我们用 CV :: saturate_cast来 确保该值的有效性;
- 最后,我们用以下方式创建窗口并显示图像。

注
我们利用以下简单的命令来取代 for 循环来访问图像的每个像素:

cv::Mat::convertTo 将执行*new_image = a*image + beta*操作.。但是,我们想向你展示如何访问每个像素。 在任何情况下,这两种方法都会给出相同的结果,但 convertTo 更加优化并且工作速度更快。
结果
- 我们不运行代码,设置α = 2.2和β = 50。


实例
在本小节中,我们将以前学到的技巧付诸实战,通过调整图像的亮度和对比度来校正曝光不足的图片。同时,学习利用伽玛校正(gamma correction)技术来校正图像的亮度。
图像亮度和对比度调整
增大(或减小) β值将加大(/减小)各个像素的对比度。像素值超出 [0; 255]范围之外的值将会饱和(即:大于255,或小于0的像素值将定位到255或 0)。

原始图像的浅灰色直方图中,深灰色亮度= 80 GIMP
直方图表示该色彩像素中每种色彩的数目。深*图色**像的像素值将大于浅*图色**像的像素值,因此直方图的左半部分会出现一个峰值。当添加一个恒定的偏差之后,整个直方图右移,为所有的像素增加了一个恒定的偏置。
修改参数α将修改水平轴的展幅,如果α <1中,色彩值将被压缩,其结果是图像的对比度降低。

原图像的浅灰色直方图中,深灰色时, 对比度GIMP <0
注意,利用对比度/亮度工具Gimp获得的上述柱状图,亮度工具的偏置参数β应该与之相同,但对比度工具的增益参数α是不同的(可以从前面的直方图中看出)。
调整偏置参数β可以提高亮度,但同时,图像的对比度会下降,图像上似乎会蒙上一层轻微的面纱。调整增益α增益可缓释这种效果,但是由于出现饱和,图像将失去原有明亮区域的一些细节。
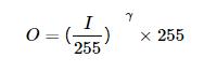
伽瑪校正
伽瑪校正 利用输入值和输出映射值之间的非线性变换,校正图像的亮度:

由于这种关系是非线性的,其效果不会影响所有的像素,最终输出将取决于像素的原始值。

打印出不同的伽玛值(gamma)
当γ <1时,,原始图像的暗区将变得更加明亮,整个直方图将右移;当γ > 1时, 原始图像的亮区将变得更暗,整个直方图将左移。
纠正曝光不足的图像
我们设置α = 1.3和β = 40修正下面的图像。

图: Visem的作品 [CC BY-SA 3.0],来源:维基共享资源
图像的整体亮度得到了改善,但可以看出: 由于色彩的像素数值饱和,图中云彩已经饱和(摄影 高光修剪 )。
我们用γ=0.4修正下面的图像。

图: Visem的作品 [CC BY-SA 3.0],来源:维基共享资源
由于映射是非线性的,伽马校正添加了少量的饱和效应,并且不存在前面所述方法的数值饱问题。

左边:α,β校正后的直方图;中间:原始图像的直方图;右边:伽马校正后的直方图
上图比较了三幅图像(三个直方图的y值不相同)的直方图。从中可以发现,大部分的像素值都在原始图像直方图的下部。α , β修正后,由于图像出现饱和,在255 处可以观察到一个峰值,整个直方图右移。伽玛校正后,直方图右移,图像暗区域中的像素移动的位移比在明亮区域像素移动的位移更大(见伽玛曲线图)。
在本教程中,描述了两种调整图像对比度和亮度简单的方法。 它们只是基本技术,不能用作光栅图形编辑器的替代品!
代码C ++
教程的源代码请访问 这里 。
伽马校正的源代码Code:

在这里,由于一次只需要计算256 个数值,利用查找表来提高计算性能。
更多资源
- 图形渲染中的伽玛校正
- CRT监视器的伽玛校正和图像显示
- 数字曝光技术