中学时代我们就学过电流这个概念,我想大家并不陌生,其定义就是“单位时间内通过导体任意横截面的电量”。这个概念提到了时间和横截面积。先来说时间,时间一般与单位时间的某个量有关。比如速率就是单位时间上的位移(路程)。
运动学上的速率就是位移(路程)对时间的导数。电流本质上是另一种速率。电流是电量对时间的导数。为了理解,我们进行类比,电量类比位移,速率类比电流。下式就是电流的定义式:

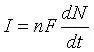
微观角度,电流表示电荷传输的速率,如果电化学反应出现n个电子传输,那么:

其中,dN/dt就是电化学反应速率(mol/s)。
我们发现,在论述上面的电流中并没有体现“横截面积”,那“横截面积”的意义在什么地方呢?
我们知道,电化学反应只发生在界面位置,而此时的电流通常只与界面的面积相关(成正比)。因此,我们可以将面积引入电流中,这样就产生了电流密度这个概念。电流密度就是单位面积的电流,是比电流更基本的量。它的意义是使不同界面发生电化学反应产生的电流密度得以成功比较;同时,不同界面的电化学反应速率(反应物通量)也得以成功比较。


由上述分析可知,电流和电流密度不仅不是一个概念,而且有较大的差异。电流密度与单位面积的电流有关,比电流更基本,而电流本质上是一种速率,是电流密度与相应面积的乘积。深入理解电流密度这个概念,对氢燃料电池的相关计算非常重要。

扫码并关注微信公众号“短平快之氢燃料电池”,了解更多干货。