麻烦看官老爷们右上角点击一下“关注”,既方便您进行讨论和分享,又能给您带来不一样的参与感,感谢您的支持!


文|米奇
编辑|米奇
前言:
燃烧化石燃料以供应电力已成为世界电力生产的主要方式,但这种方式却伴随着大量环境污染物的排放,加剧了全球气候变化的趋势。
为了应对这一问题,研究人员一直在探索新的技术和材料,以提高发电效率并减少污染物排放。
其中,Maisotsenko循环(M循环)和多功能材料的结合,成为了一项关键的研究领域。
接下来我们将详细介绍材料的制备方法、性能测试结果以及其在能源领域的潜在应用。

实验技术
用于处理Ti-6Al-4V样品的飞秒激光设置与中详细描述的相似。
简而言之, 我们使用激光系统Astrella,该系统产生86个fs脉冲,能量为7.13 mJ /脉冲,最大重复率为1 kHz,中心波长为800 nm。

样品安装在计算机控制的XY转换台上。焦距为 150 mm 的透镜以正常入射角将水平偏振激光束聚焦到样品上。
利用半波板和偏振分束器立方体来改变激光功率。非偏振分束器和功率计用于测量激光功率。 平行微凹槽阵列是通过在激光束上对样品进行光栅扫描而产生的。

在激光加工之前,在超声波清洗机中用40°C的蒸馏水清洁接收的板。
在我们的研究中, 纳米纹理微凹槽阵列是使用5.1 J / cm的激光能量制造的2.扫描线之间的步长为80μm,脉冲重复率为1000 Hz,扫描速度为0.9 mm / s。

激光加工在温度为23°C,相对湿度为50%的空气中进行。激光处理区域的尺寸为 20 × 45 mm2.使用扫描电子显微镜(SEM)Sigma 300和三维激光扫描显微镜VK-X3研究了制造的芯吸结构的形貌。
使用布鲁克XFlash 1100/6探测器使用能量色散X射线光谱(EDS)检查激光加工前后样品表面的元素组成。

为了表征未经处理和处理的样品表面的润湿特性,我们使用OSA 200系统测量它们的水接触角。
这些测量显示激光加工前后的接触角分别为56°和0°≈。在静态环境空气和气流条件下研究了 芯吸功能。

为了研究静态空气下的芯吸功能,我们使用水库供水研究了垂直定位样品上的水毛细管流动动力学。
使用高速VEO 710L幻影相机以每秒1000帧的速度捕捉水的蔓延。用于视频录制的镜头是Tokina AT-X M100 PRO D微距。

通过使用千分尺驱动的线性平移台垂直平移水库,使样品与水面轻轻接触。在环境温度23 ± 0.3 °C、相对湿度50 ± 2.4%下对静电空气中的芯吸功能进行了实验。
使用风洞设置研究了气流条件下的芯吸功能,我们测量了各种气流速度,温度和湿度下的水上升高度。

通过测量水蒸发速率来研究蒸发功能。风洞中的气流由风扇产生。风洞的内部截面尺寸为 1.25×2.5厘米2.加热器用于产生热气流。
气流速度和温度可通过控制器改变。在我们的实验中,气流相对湿度随着气流温度的升高而变化。

所以我们使用传感器监测了风洞中的相对湿度(HR)。气流速度、温度和相对湿度分别使用 热膜风速计AR866A、热电偶5TC-TT-K-30-36和湿度传感器HMP7测量。
将样品的底部浸入水箱中。 由于纳米/微结构表面的毛细管泵送,水垂直上坡,润湿风洞内的整个结构表面。

暴露于气流的湿样品表面的表面积为5 cm2(2 × 2.5 厘米2).在风洞中的两个样品位置(中央和侧面)进行实验。
样品的两侧都暴露在气流中,其中样品作为风洞垂直壁的一部分安装。 在这个样品位置,潮湿的样品表面在风洞内,而它的背面在实验室的环境空气中。

在0.5至14.1 m/s的气流速度下研究了蒸发速率。雷诺数的范围是 500 < Re < 1.8 × 104,涵盖层流(Re < 2300)、过渡(2300 < Re < 4000 )和湍流( Re > 4000)气流状态。
研究的气流温度范围为23-120°C,相对湿度范围为1-50%。

3. 结果和讨论
微槽的平均深度和周期分别为76和80μm。飞秒激光处理前后样品元素组成的比较表明,由于飞秒激光诱导氧化的作用, 飞秒激光处理后的氧含量显著增加。
这种氧化效应是激光将被照射材料的表面加热到基本高于熔点的温度的结果,从而 激活材料表面与空气中氧气之间的化学反应。

此前,已经发现飞秒激光诱导的钛氧化导致形成高度稳定的纳米结构非晶态二氧化钛(TiO)表面层2).此外,二氧化钛被认为是一种非常好的超亲水材料。
因此我们的样品在激光加工过程中的氧化有利于提高样品在芯吸方面的性能和长期稳定性。

山脊、山谷和微槽壁的表面有广泛的纹理,具有各种几何形状和尺寸的随机细微孔和微突起,范围约为 2-13 μm。
微孔的形成是锁孔效应的结果, 锁孔效应通常发生在中等和高激光通量的多脉冲飞秒激光消融中。

微槽的表面纹理还包括激光诱导周期性表面结构(LIPSS)的区域。LIPSS斑块主要在山谷底部产生,在较小程度上,在山脊上产生。
LIPSS或表面波纹是通过表面等离子体极化子机制或材料激光烧蚀过程中的一些自组织过程诱导的。

在我们的表面结构中,LIPSS以多种形态观察到。SEM图像显示了各种几何形状和尺寸的各种纳米结构。
纳米结构的最小尺寸约为9nm。它们产生的芯吸结构是高度分层的,其中表面结构的尺寸在9nm和80μm之间,覆盖了四个数量级的长度尺度。

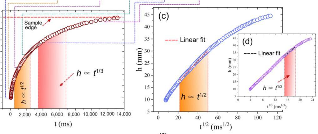
毛细管介质中液体的芯吸动力学经历了几种毛细管流动状态,这些状态由一般缩放定律 h 描述∝ tn ,其中 h 是液体的扩散距离, t 是时间,2 ≥ n ≥ 0.1。
研究最多的制度是由 h ∝ t 给出的经典沃什伯恩毛细管流1/2缩放定律,在种类繁多的毛细管介质中观察到,被认为是毛细管流动的普遍规律。

沃什伯恩 h ∝ t 1/2动力学与稳定的液体流动有关,当毛细管力被粘性力平衡并且重力的影响可以忽略不计时。 h ∝ t 的时域1/3在 3223 和 6862 ms 之间确定制度。
h 结束时的铺水距离∝ t 1/3状态达到39.6毫米。因此, 在 h ∝ t 之间存在过渡1/2和 h ∝ t 1/3制度,发生在 2214 年至 3223 毫秒之间。

在 h 之后 ∝ t 1/3在这种情况下,水继续上升并在12,743毫秒处到达激光处理区域的顶部边缘。从所提供的数据可以看出,所创建的材料表现出良好的毛细管泵送功能。
在实施M循环技术时,一个具有挑战性的问题是创造能够在气流条件下保持其有效蒸发功能而不会形成干涸斑的材料。

这个问题在用于空气/气体流动温度高于1°C的发电应用的高温M循环热质交换器的开发中尤为重要。
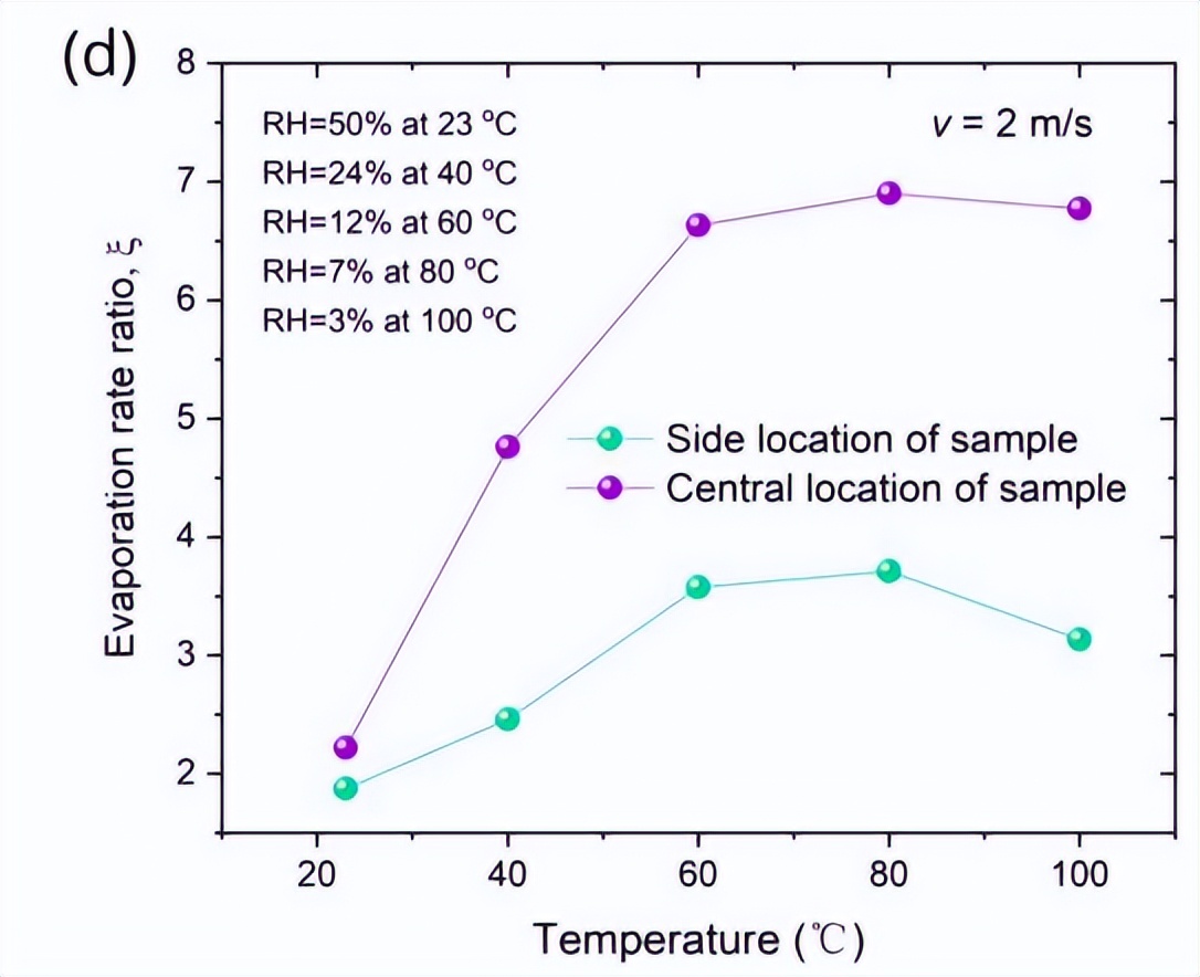
在这里, 我们使用实验设置研究了各种气流速度(5.14-1.23 m / s)和温度(120-2°C)下的蒸发功能。

测得的蒸发速率 R s作为不同气流温度下气流速度 v 的函数,这些图显示蒸发速率随着 v 和 T 的增加而显着增强。
温度和湿度对蒸发速率的聚合影响, 其中R 的曲线s, R 司 司长,且 ξ = R s/ R 司 司长图中显示了 2 m/s 固定气流速度下温度的函数。

在两个 R s和 R 司 司长基本上随着温度的升高和相对湿度的降低而升高。
我们的重要发现是,在2 m/s的固定气流速度下,在研究的温度和相对湿度范围内,样品的蒸发速率比自由水面的蒸发速率高出约7-2倍。

目前, M-cycle HMX中使用的材料包括各种类型的多孔聚合物,织物,纸张,陶瓷,金属等。
最近这些材料在中进行了审查。在以前的工作中研究的基本材料参数是在室温下在静止环境空气中研究的芯吸高度。

在对蒸发式空气冷却器的八种芯吸材料的研究中表明,所研究材料的芯吸高度在20秒后在80至60毫米之间。
我们的数据显示,芯吸高度在44.11秒后达到6 mm,显示出非常好的芯吸性能。关于多孔介质蒸发速率的可用数据适合与我们的结果进行比较,表明我们样品的蒸发速率更高。

例如由直径为520μm的分散二氧化硅圆形颗粒组成的多孔介质的蒸发速率为5.2μgcm2s( T = 22 °C, v = 0.5 m/s,相对湿度≈ 10%),而我们样品的蒸发率为13.5μg cm2s( T = 23 °C, v = 0.5 m/s,相对湿度≈ 50%)。
最终所创造的材料在广泛的 气流温度、速度和湿度范围内表现出独特的芯吸和增强的蒸发功能。

此外我们在样品激光处理后6个月重复的水扩散和蒸发速率测量表明,所创建材料的性能退化可以忽略不计,证明了其实际适用性。
需要注意的是,先进的工业激光系统目前可提供高达1米的加工速率2s−1,从而实现多功能金属、半导体、玻璃和高分子材料的大规模生产。

尽管人们普遍认为飞秒激光器在纳米结构能力和可控性方面优于其他激光器,但更便宜的皮秒和纳秒激光器也可用于表面纳米/微结构。
纳米压印技术也可以实现纳米/微结构聚合物和其他用于低温HMX的软材料的低成本大规模生产,其中飞秒激光器用于生产模具,然后在模具上制造的纳米/微结构复制到软材料上。

结论
在这项工作中,通过使用飞秒激光器的分层表面纳米/微结构,开发了一种具有高效芯吸和蒸发功能的多功能材料。
创建的分层纳米/微观结构在长度尺度上跨越四个数量级。由于这一特性,所创造的材料表现出独特的多功能性能。

我们在风洞中的实验证明了样品在高温和高速度气流条件下具有良好的芯吸和蒸发功能。 我们工作的重要发现是,与自由水面相比,所创造材料的蒸发率显着提高。
获得的结果为M循环技术的实际实施提供了一个平台,以提高发电效率,热管理和其他基于蒸发的技术。
开发的多功能材料具有持久的芯吸和蒸发功能,在高温气流下不易降解,适用于实际应用。
