
每天叫醒你的不是闹钟,而是梅河口发布
各市(州)、长白山管委会,梅河口市、公主岭市、各设岗县(市、区)教育局、财政局、人力资源和社会保障局、编办,各有关普通高等学校:
按照《教育部办公厅、财政部办公厅关于做好2018年农村义务教育阶段学校教师特设岗位计划有关实施工作的通知》(教师厅〔2018〕5号)要求,为做好我省2018年“农村义务教育阶段学校教师特设岗位计划”(以下简称“特岗计划”)实施工作,根据国家相关规定,结合我省实际,制定本实施方案。
设岗计划和实施范围
2018年,全省48个县(市、区)实施“特岗计划”,计划招聘特岗教师3000人。其中,国家“特岗计划”1500人,省级“特岗计划”1500人(以下简称“国家计划”和“省级计划”)。
共计21个县(市、区)完全实施“国家计划”,包括农安县、永吉县、舒兰市、伊通县、集安市、辉南县、白山市江源区、白山市浑江区、长白县、靖宇县、抚松县、临江市、大安市、洮南市、镇赉县、扶余市、前郭县、敦化市、安图县、珲春市、长白山管委会。
共计21个县(市、区)完全实施“省级计划”,包括德惠市、长春市九台区、榆树市、长春市双阳区、蛟河市、磐石市、梨树县、双辽市、四平市铁东区、东丰县、东辽县、辽源市龙山区、通化市东昌区、柳河县、通化县、白城市洮北区、长岭县、乾安县、松原市宁江区、梅河口市、公主岭市。
另有6个县(市、区)同步实施“国家计划”和“省级计划”,包括延吉市、龙井市、和龙市、汪清县、图们市、通榆县。
根据教育部工作要求,“特岗计划”与“硕师计划”结合进行,全省有21个设岗县(市、区)与符合申报2017年“硕师计划”的应届本科毕业生签订协议并经教育部批准取得硕师资格,需占用169个“特岗计划”指标,不参加特岗教师考试。
招聘对象、条件和服务期限
(一)招聘对象
1.高等师范院校和其他全日制普通高校应届本科及其以上毕业生。
2.师范分院(初等教育专业)和其他全日制普通高校应届师范类专科毕业生。
3.取得教师资格的全日制普通高校往届本科毕业生和往届师范类专科毕业生。
4.吉林师范大学等省属师范院校的应届毕业生中,取得国家“农村学校教育硕士师资培养计划”资格的人选。
(二)招聘条件
报名者应同时具备以下条件:
1.思想品德条件。拥护中国*产党共**的领导,热爱祖国,坚持*党**的路线、方针、政策,有良好的思想政治素质和道德品质;遵守宪法和法律,热爱农村教育事业,履行《教师法》规定的义务,遵守教师职业道德。
2.年龄条件。年龄在30周岁以下(1988年9月1日后出生)。
3.学历条件。申报初中教师岗位,其学历要达到全日制普通高等学校本科毕业及其以上程度;申报小学教师岗位,学历要达到全日制普通高等学校师范类专业专科(含初中起点五年制初等教育专科)毕业及其以上程度;申报使用少数民族语言文字教学的“省级计划”初中教师岗位,学历可以放宽到对应专业的全日制师范类专科毕业生。申报中小学岗位人员所学专业要求与报考岗位学科对口或相近。
4. 教师资格条件。往届毕业生要求具备与申报岗位学科相对应的教师资格证书;应届毕业生必须具备认定教师资格的各项条件,其中2014年及以前入学的师范类专业应届毕业生需提供学业成绩单和教育实习鉴定,其余师范类专业及非师范类专业应届毕业生需取得与申报岗位学科相对应的中小学教师资格国家考试合格证明。录用为特岗教师的应届毕业生,必须在签约上岗前取得教师资格证书。
5.普通话水平。申报人员的普通话水平必须达到国家语言文字工作委员会颁布的《普通话水平测试等级标准》二级乙等及其以上标准,申报语文学科岗位应达到二级甲等及其以上标准,少数民族教师达到三级甲等及其以上标准,并取得《普通话水平测试等级证书》。
6.身体条件。参照人社部、卫生部《公务员录用体检通用标准(试行)》,具有良好的身体素质和心理素质,身体健康,无传染性疾病,无精神病史,适应教育教学工作的需要。
7.教育教学能力。具有从事教育教学工作必备的能力和素质,掌握和运用教育教学基本理论和技能,胜任招聘岗位教育教学工作的要求。
(三)服务期限
特岗教师服务期为3年,服务期内全部安排在乡镇及以下的农村义务教育阶段学校任教。根据当地教育教学需求可在同类设岗学校之间交流。
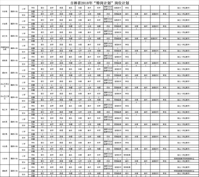
2018年吉林省特岗教师考试职位信息表(3000人)
↓↓↓

招聘程序
特岗教师实行公开招聘,合同管理。招聘工作由省教育厅与人力资源和社会保障厅共同负责,遵循“公开、公平、自愿、择优”的原则,按照下列程序进行:
1.公布需求。由各地教育行政部门提出使用计划,经当地机构编制部门审核同意后,报省教育厅汇总,经省编办核实编制情况,通过吉林省教育信息网(http:// www.jledu.gov.cn)、省内其他主流媒体和教育部“特岗计划”网站(http://tg.ncss.org.cn)面向社会公布各设岗县(市、区)招聘“特岗计划”教师的学科、数量及岗位要求。
2.报名审查。应聘者首先通过“吉林省教育信息网”报名,然后持相关材料到指定地点现场确认,由有关部门对申报人员进行资格审查。
3.考试。采取笔试和面试相结合的方式,重点考察应聘者的综合素质和教育教学能力。笔试由省统一组织,根据考生的志愿,按照笔试成绩(含加分)从高分到低分的顺序,原则上以设岗县(市、区)分学段、分学科岗位设置数的1:3比例依次确定面试人选。对个别生源较少的紧缺学科岗位,将根据实际调整入选比例。面试由市(州)教育局、人社局统一组织,设岗县(市、区)参与实施。
4.体检。市(州)统一组织拟聘人员进行体检。
5.考核。设岗县(市、区)对拟聘人员过去学习和工作的现实表现,特别是品行方面,进行考察核实。
6.确定人选。考察合格人员由市(州)汇总报省教育厅,由省实施工作领导小组审定。拟聘人员名单同时在吉林省教育信息网和教育部“特岗计划”网站上进行公示。
7.岗前培训。省教育厅组织岗前培训,主要内容是师德教育、新课程理念、教材教法,以及履行岗位职责的基本要求等。
8.签订合同。拟聘人员与设岗县(市、区)教育局签订为期3年的聘用合同,省对用人单位和应聘人员双方的权利、义务和终止合同的条件作出总体规定,具体条款由设岗县(市、区)自行确定。
9.上岗任教。设岗县(市、区)安排特岗教师到设岗学校任教。
关于方案的具体信息,
请点击阅读原文,
*载下**全文
↓↓↓

梅河口发布一个有聊又有料的
政务微信平台