您好,我是小爆。
欢迎关注【爆炒Office】,这里有原创的实用办公软件技巧。
着手工作实际,解决办公问题。
概述
在PPT或Word文档中需要插入公式的时候,最直接、最快捷的方法当然是把公式从电子文档中截图,或者手机拍照后以图片方式插入。如果您习惯了这种方法,那么本文对您将没有直接的帮助。
不过,如果在特殊情况下,需要在PPT或Word文档中手动输入公式时,您会发现,输入的公式居然不能直接修改公式文字的字体!好神奇哟!
这个问题不是大的问题,但是不同的字体可能会对PPT或Word文档整体风格产生一丢丢影响。
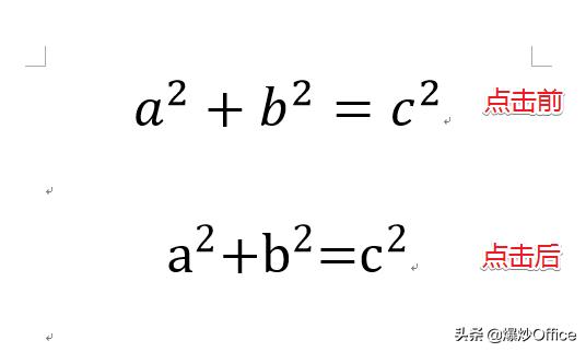
下面,就与小爆一起消除这一丢丢影响。先看看修改字体后的公式样子吧。

_
第1步
以Word文档为例,PPT的操作是一样一样的。点击【插入】—【公式】—【插入新公式】,或者选择列表中内置的公式。

_
第2步
按照默认的公式框输入需要的公式。小爆是数学渣渣,这里就随便输入一个公式做演示用。

_
第3步
光标置于公式中,在字体框中可以看到,公式中的文字默认使用的字体是Cam***字体。

_
第4步
问题来了:如果您正开着电脑,不妨试试看,任凭怎样选择字体列表中的中文或英文字体,公式中文字的字体仍然保持Cam***字体岿然不动。

_
第5步
PPT中也是一模一样的,同样的字体,同样毫无反应。

_
第6步
重点来了,怎样修改公式中文字的字体?选中公式框中的文字,点击【公式工具】—【设计】—【工具】下的【abc普通文本】。

_
第7步
点击一下,公式中的文字样式就立即改变了哦。

_
第8步
这样,再选中公式中的文字,再在字体列表中点击需要的字体,公式文字的字体就能改变了。示例图中的字体有点夸张,仅仅是为了突出字体修改前后的对比效果。

_
第9步
同样的道理,在PPT中也有相同的【abc普通文本】按钮,点击后也能修改公式中文字的字体。

_
第10步
怎么样?从此公式文字也可以个性十足,赶紧挑选一个吧!

_
总结
当然,如果您手上是严谨的文档,对于公式的字体有着严格的要求,那就按要求来吧,字体使用不可任性。
本文纯属小爆工作经验原创,不当之处,欢迎交流。
如果本文对您有帮助,将深感荣幸。
如果喜欢本文,请点赞鼓励一下吧。
谢谢阅读。
_
