随着物质生活水平的不断提升,人们越来越追求美。俗话说“一白遮三丑”,为了满足大家对美的追求,科学家纷纷研发出各种荧光增白剂,供商家添加到商品中。洗衣粉中的增白剂能使洗后的衣服更鲜亮,书本纸张添加增白剂可以看起来更洁白,就连女人们的化妆品里也添加了增白剂以营造使用后的“美白”效果。

一张据说是添加了超量荧光增白剂的化妆面膜
随着荧光增白剂的广泛使用,有些人越来越担心起自己的健康问题。因为一些舆论说这东西有毒,对身体健康有害,甚至可能会“致癌”!于是大家又纷纷“回归自然”,去选择那些没有添加荧光增白剂的产品,以致于有些声称“不添加增白剂”的产品大卖,又赚了个盆满钵满。

“本色纸”重新流行起来
荧光增白剂到底是什么?它为什么能“增白”?荧光究竟是什么光?它又是如何产生的?我们今天就来好好聊聊,为你揭开谜底,解除疑虑。
什么是荧光?
荧光是自然界广泛存在的一种现象,它不同于反射光,而是物质的一种发光形式。荧光是指电磁辐射被物质吸收再发射出光,在大多数情况下,物质发射的光比它吸收的辐射波长更长,因此能量更低。比如说,光线中的紫外线波长比可见光更短、能量也更高,但人眼看不见,而荧光物质在被紫外线照射时,它发出的荧光因为波长更长,变成了可见光。

许多天然矿物质都能在紫外光下发出可见光
不只是矿物质能发出荧光,自然界中的许多细菌、动植物,甚至我们人类也能发出荧光,不同的只在于辐射强度的高低。例如:枯草芽孢杆菌(奶油色至棕色),紫色色杆菌(紫罗兰色),藤黄微球菌(黄色),微球菌(粉红色),奇异变形杆菌、铜绿假单胞菌(棕色) ,荧光假单胞菌(天然蓝绿色荧光),粘质沙雷氏菌(粉红色或橙色),金黄色葡萄球菌(黄色),酿酒酵母(黄白色),黄曲霉(黄绿色),赭曲霉(黄色),出芽短梗霉(黑色),白色念珠菌(白色浅黄色),假丝酵母、念珠菌属(白色)。2008年诺贝尔化学奖获得者、生物化学家Roger Tsien和他的实验室的科学家根据不同的生物荧光蛋白可以发出不同颜色荧光的原理,用上述的一些细菌为“颜料”在琼脂上画了下面这幅“荧光画”,你在白天看不见它,但只要将其放在紫外灯下,就可以看见椰树、大海和太阳。

科学家用不同细菌画的“荧光画”
大海里的许多珊瑚和鱼类也能在蓝光照射下发出不同颜色的荧光,这些荧光通常用于同一物种成员之间的私下交流,其它的掠食性鱼类很可能看不见它们。蓝光会被水散射,长波光更容易被吸收,许多掠食性鱼类对这些波长的光几乎没有敏感性,因此发出红、橙、黄和绿色等波长光的鱼可以更好地隐藏自己。绿色是生物荧光光谱中最常见的颜色,红色最罕见。

许多深海鱼类可以发出荧光
除细菌和深海鱼虾外,一些陆地生物如蝴蝶等昆虫、蜘蛛蝎子等节肢动物、两栖的蛙类、鹦鹉等鸟类,也能够在一定光线的照射上发出荧光。植物的叶绿素可以在紫外线下发出微弱的红色荧光,还有许多植物通过花的荧光来吸引授粉者光顾。
动植物能发出荧光主要因为荧光蛋白发挥功能。可能因为伪装是荧光的最常见用途之一,通常依赖于伪装的物种往往表现出最大的荧光多样性。另外,生物荧光可以在沟通、交配、诱饵、紫外线防护和抗氧化、光致变形等方面发挥着重要作用。

一只蝎子因其角质层中存在β咔啉蛋白而发出荧光
荧光的产生
荧光是被辐射物质粒子由激发态回到基态时对外辐射的光。我们知道当玻璃、水、空气分子或其它透明物质在受到光子照射时,它们的电子也会被激发到更高能级,并且在电子从高能级向基态跃迁回来时会向外辐射同样的光子。但荧光材料的分子却不是这样,它们的电子从激发态回到基态的过程中,有一部分受辐射的能量被转化成了热能,因此它向外释放的光子比之前接收到的耦合光子能量更低,这意味着它释放的光子波长更长。

荧光激发时光子能量变化
这里的hν为光子能量的通用术语,其中h=普朗克常数,ν=光频率。激发光和发射光的特定频率取决于特定系统,S₀为荧光分子的基态,S₁是其第一个电子激发单线态。同时,heat是部分能量被荧光分子的振动转化为了热能消耗,因此理论上hνem<hνex,发射光子的能量要低于入射光子的能量,这个能量的差异被称为斯托克斯位移(Stokes shift)。
于是我们看到它发出的光与照射到它上面的光不一样了:当受到波长更短、能量更高的紫外线照射时,荧光材料会发热,同时向外发出波长更长、能量较低的光,这些光可以被我们的肉眼看见。同样地,某些荧光物质可以吸收蓝色可见光而发出绿色、橙色甚至是红光。

不同荧光材料在紫外光下的反应
请注意,并非所有的物质在受光照射时都必然发生斯托克斯位移,有许多材料是非荧光材料,它们的电子在从激发态回到基态时会释放几乎一样的光子。而对于有的材料,比如掺杂了氧化钆的硫化钇是一种常见的工业反斯托克斯颜料,它会吸收近红外光谱的光,在可见光区发射。光子上转换是另一个反斯托克斯过程,在这个过程中它会因为晶格中热声子的耗散而冷却。
荧光的应用
我们已经知道自然界中有许多化合物可以产生荧光,它不仅包括众多的无机化合物和矿物质,也包括一些有机化合物和蛋白质。荧光产生的过程被称为光致发光过程。

光致发光过程
早期最广泛的荧光应用当属日光灯的发明,它利用电激发真空灯管中的汞蒸气发射紫外光,紫外线被涂在灯管内壁的荧光粉吸收后发出可见光。由于老式日光灯发出的光只是接近于白色,它的光谱不连续,所以在这种灯光下人的脸色会显得很难看。随着荧光粉材料技术的不断改进,现在的日光灯已经大幅改善了这个问题。
今天的发光二极管(LED)同样也是通过半导体发出的蓝色光轰击沉积在微芯片上的磷光体。继续通过磷光体的蓝色、绿色和红色荧光的组合,最后产生白光的净发射。

一些荧光艺术品在紫外灯下照亮
除了用于照明,荧光材料还广泛用于分析化学、光谱分析、生物化学、医学成像、法医取证、工业非破坏性测试、道路交通标志标牌和荧光增白等许多领域。
荧光素钠是荧光素的钠盐,它被广泛用作眼科的诊断,其中局部荧光素用于诊断角膜擦伤、角膜溃疡和疱疹性角膜感染。静脉注射或口服荧光素可以进行荧光素血管造影,用于诊断和区分血管疾病,包括视网膜疾病黄斑变性、糖尿病性视网膜病、炎性眼内疾病和眼内肿瘤。同时它在脑肿瘤手术中也越来越多地被使用。

荧光素滴眼液经常用于眼科检查
荧光增白的原理
荧光增白不同于漂白,它实际上是利用光化学化合物,吸收自然光线中的紫色光和一部分紫外线(波长通常在340-370nm,我们眼睛对这些光不敏感),并将其转化为蓝色可见光(波长为420-470nm)发出来,这部分蓝色光会弥补物品表面蓝色光的反射的不足,使物品本身的黄色光线看起来没那么显眼,从而造成“美白”效果。
简单地说就是在洗衣粉里添加荧光剂,把一些我们看不见的光线变成了蓝色光,蓝色的反光“中和”了衣服的黄色,使衣服显得更白一些,从而更讨喜。那些添加在其它用品里的荧光增白剂也是同样的道理。
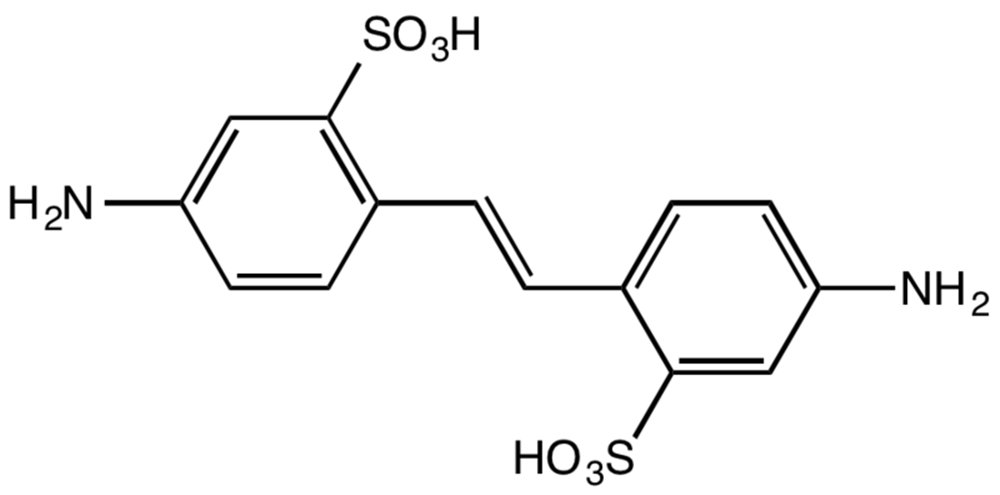
荧光增白剂通常是人工合成的一些化学物质,它的主要成分是二苯乙烯。比如4,4'-二氨基-2,2'-芪二磺酸,它就是一种流行的荧光增白剂。

4,4'-二氨基-2,2'-芪二磺酸
商业上有90多种荧光增白剂,常用的通常也就只有几种。由于荧光增白剂是作为生活日用品的添加剂,它的添加量受到严格的标准限制,并且在安全性上已经经过长时期的检验。一般来说只要按标准进行添加,并不会对人体健康造成影响。有少数人会对荧光剂产生皮肤敏感,只要停止接触,敏感现象就会自然消除。
其实在很多情况下,荧光增白剂不是添得越多越好,过量添加会导致“绿化效果”,看起来“扎眼”,这并不是厂商想要的效果。

有的洗衣液在紫外灯照射下会发出荧光
荧光增白剂是否有害?
目前没有证据证明现有的荧光增白剂会对人体产生毒害作用,也没有实际案例显示某人因使用了含荧光增白剂的产品而致癌。“抛开剂量谈毒性都是耍流氓”,只要是符合相关标准添加荧光增白剂的产品,我们大可以放心使用,不购买那些假冒产品就没问题。
如果你实在对添加了荧光剂的产品不放心,可以选择那些没有添加的产品,目前市场上的选项很多。
总结:
荧光是一种发光现象,它通常是荧光物质吸收高能量光线,再对外发射低能量光线的现象。我们人眼对紫色及紫外线不敏感,当荧光物质将短波长的紫外线转化为可见光发射时,我们便看到了荧光。
自然界许多物质都能发射荧光,包括:不含铁和铜元素的矿物、各种细菌、动植物和一些人工合成的化合物。

硅锌矿和方解石在紫外线下显示出绚丽的色彩
包括荧光素在内的许多荧光物质得到广泛应用,有一些已经被证明其对人体是安全的。
荧光增白剂利用了荧光物质将不可见紫外光转化为肉眼可见蓝色光,以抵消物品黄色反光的影响,使物品显得更白。目前没有证据证明合格商品中添加的荧光增白剂有毒,所以我们可以放心使用。