2023安徽中考数学试题及答案 (2023年宝安区中考二模数学答案)

2023年安徽省中考数学试题与答案

2023年浙江上虞中考数学试卷,仙桃市2023年中考数学试题讲解

2023年浙江上虞中考数学试卷,仙桃市2023年中考数学试题讲解

2023年浙江上虞中考数学试卷,仙桃市2023年中考数学试题讲解

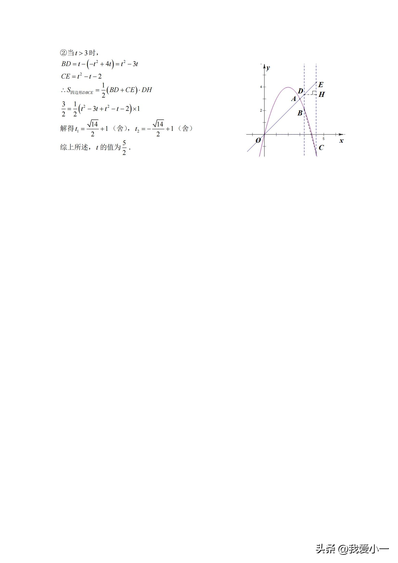
2023年浙江上虞中考数学试卷,仙桃市2023年中考数学试题讲解

2023年浙江上虞中考数学试卷,仙桃市2023年中考数学试题讲解

2023年浙江上虞中考数学试卷,仙桃市2023年中考数学试题讲解

2023年浙江上虞中考数学试卷,仙桃市2023年中考数学试题讲解

2023年浙江上虞中考数学试卷,仙桃市2023年中考数学试题讲解

2023年浙江上虞中考数学试卷,仙桃市2023年中考数学试题讲解