接地的不同作用:
接地分功能性和保护性接地,又有低频接地和高频接地之分。
人脱离不了与地球的接触,所以配电系统就以大地电位为参考电位,将配电系统与地球连接,这就是通常的接大地的接地。
将配电系统与代替大地的导体相连接,以该导体的电位为参考电位,也是接地,例如在飞机上的接地就是以飞机的金属机身代替大地。
系统接地
电源中性点的接地称作系统接地(过去称工作接地)。它用以使系统正常和安全地工作。例如当架空线路感应雷电涌压时,它可提供泄放雷电流入地通路,以保护电气设备。又如当高压线坠落在低压线上时,它提供高压侧接地故障电流返回电源的通路,使高压侧继电保护动作,避免高压窜入低压系统引起事故。

保护接地
电气设备金属外壳的接地称作保护接地。它用以降低与地间的电位差,例如降低人体的接触电压,减少电击危险。


电源中性点或PEN线的一点接地
一建筑物内诸变压器、发电机的中性点或低压供电TN系统的PEN线只能在一点接地(TN-C系统除外),以免中性线电流分流成为杂散电流,导致电气火灾,地下金属结构管道受腐蚀或信息技术设备受干扰的不良后果。



总等电位联结
将一建筑物内的总PE母排和各类金属干管、金属结构互相连通,使这些金属部分的电位相等或接近,称作总等电位联结。它比接地有更好的降低接触电压的效果,同时也能起到重复接地的作用。
每一电源进线处应作一次总等电位联结,它们之间应互相联通。


总等电位联结在TN系统中还可起到消除电源侧故障电压沿电源线路进入建筑物引起电击事故的作用。由于重复接地的接地电阻上存在电压降,重复接地只能降低而不能消除这一故障电压。

由电源传导来的故障电压在不具有等电位联结作用的户外场所,如果其值大于50V将可能招致电击事故。为此需降低系统接地的接地电阻值RB,以满足RB/RE≤50/(UO-50)的要求(RE为接地故障的接地电阻),不然就需在户外采用局部TT系统。

局部等电位联结:
在建筑物的局部场所内,如可同时触及的导电部分间的电位差超过该场所的接触电压限值,需在该局部场所内再作一次等电位联结,以进一步降低故障时电位差,例如在浴室内或在远离总等电位联结的接地母排处。


局部等电位联结和总等电位联结要否连通:
局部等电位联结能保证人体触及的不同导电部分的接触电压不大于安全电压限值,它和总等电位联结不是上、下级的关系,没有理由要求两者间专用导体连通。其实两者间通过与建筑物金属结构、管道的连接,已存在自然的连通。
接地和等电位联结的关系:
接地是以大地电位为参考电位,在大地表面实现的等电位联结;等电位联结则是以某一导体的电位为参考电位,以与该导体的连接代替与大地的连接的接地。两者互通,但不完全等同。例如不与大地连接的等电位联结无法对地泄放雷电流和静电荷。
TN 系统作人工重复接地的必要性:
将TN系统的PE线作重复接地可使PE线电位在发生接地故障时更接近电位。在实施总等电位联结后地下金属水管、基础钢筋等都是良好的自然接地极,其接地电阻一般远小于要求值,又因裹有水泥而不受腐蚀,寿命无限长。因此具有总等电位联结的建筑物不必作人工的重复接地。
共用接地的接地电阻小于1Ω的必要性:
一建筑物内的多个电气系统的接地必须采用共同的接地装置,以消除电位差引起的电气危险。但不必为高频的信息系统接地追求小于1Ω的接地电阻。
因高频条件下的接地阻抗:

设接地线长10m,每m电感为1µH,工作频率为f=10•106HZ,则电抗为X=2πfL=2π•10•106•10•10-6=628Ω,即使R=0Ω,Z仍为628Ω。因此不能靠降低接地电阻R来降低Z,而需以高频低阻抗的等电位联结来代替接大地。
各种接地系统的适用范围:

低压配电系统的保护接地与保护接零
出于不同目的,将电气装置中某一部位经接地线或接地体,与大地做良好的电气连接。工作接地是指为运行需要而将电力系统或设备的某一点接地,如变压器中性点直接接地等;保护接地是指为防止人身触电事故而将电气设备的某一点接地,如电气设备的金属外壳接地等。
电气设备不接地的前提下,分别考虑电源中性点接地以及不接地两种情况。
1.电源中性点直接接地的电网中,电气设备不接地的危险性。

如图所示,当电气设备绝缘异常时外壳带相电,人体触及设备外壳时,电流流过人体的路径为:设备外壳->人体->大地->电源中性点。假设人体电阻RB为1700Ω,接地电阻R0为4Ω,则流过人体的电流大小为:

超出安全范围,造成人身伤害。
2.电源中性点不直接接地的电网中,电气设备不接地的危险性。

若电气设备发生故障,外壳带相电时,人体触及设备外壳,电流流过人体的路径为:设备外壳->人体->其他两相线路对地分布电容->其他两相电源。此时流过人体的电流大小为:

其值大小取决于电缆对地容抗。总的来说,这种情况下可能造成人身触电。
电气设备接地的前提下,分别考虑电源中性点接地以及不接地两种情况。
1.TT系统:电源中性点直接接地,电气设备的金属外壳经各自的保护线PE直接接地的三相四线制低压配电系统。

当电气设备外壳带电时,假设接地电阻RE=R0=4Ω,人体电阻RB=1700Ω,此时电源线路中故障电流为:

即使线路中安装有断路器,通常不足以发挥断路器的过载保护功能,因而电源线路并未切断,这将使得电气设备外壳长期存在110V的对地电压,当人体触及带电外壳时,流过人体的电流为:

会造成人身伤害。
2.IT系统:电源中性点不接地,而电气设备的金属外壳经各自的保护线PE直接接地的三相三线制低压配电系统。

在IT系统中,当电气设备的绝缘损坏使外壳带电且人体触及外壳时,电流同时从接地体和人体流过。由于人体的电阻要比接地电阻Re大很多,流经人体的电流也就比流过接地体的电流小很多,此时电气设备接地保护发生作用,保护人身安全。
综上所述,保护接地主要应用于中性点不接地的电网中(IT系统),工作原理就是并联电路中电阻的分流作用。因此接地电阻的数值对于保护效果是至关重要的。
第二部分:保护接零
接零保护的工作原理:电气设备正常工作时,零线不带电(或者电压很小),由于电气设备外壳与电源零线连接,人体触摸设备外壳并没有危险。当电动机等用电设备发生“碰壳”故障时,相线与零线短接,短路电流足以使安装在电源线路上的熔断器或者断路器发挥短路保护功能,从而切断电源。

注意:当设备发生“碰壳”故障到熔断器或断路器切断电源的时间间隔内,此时流过人体的电流如图所示:

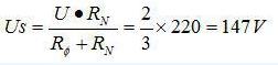
不考虑电缆电阻时,很显然此时电气设备外壳对地电压为220V,若人体触及外壳时非常危险;若考虑电缆电阻,其中RΦ为相线电阻,RN为零线电阻,假设相线电缆截面为零线电缆截面的2倍,设备外壳电压:

此时人体触及外壳时将承受147V的电压,同样很危险。总的来说,保护接零的有效性在于线路的短路保护装置能否快速切断电源。
TN系统:电源的中性点接地,负载设备的金属外壳通过保护线连接到此接地点的低压配电系统。
接零保护的三种形式:
1.TN-C系统
这种配电系统的零线N和保护线PE为同一根线,成为PEN线。

存在的问题:若PEN某一点P处断开,在P点以后的设备外壳上,由于负载中性点的偏移,可能出现危险电压。更为严重的是,若P点以后的某一设备发生“碰壳”故障,即使线路上安装有断路器或熔断器也不会动作,导致后面的设备外壳上长期带有相电压,非常危险。
2.TN-S系统
TN-S系统的零线N和保护线PE是分开设置的,所有设备的外壳只和公共的PE线连接。

这种配单系统中,零线N的作用是通过单相负载的电流或者三相不平衡电流,成为工作零线;PE线为保护零线。零线N断开时只会影响单相负载的正常使用,并不会使其他设备外壳带电(前提是保护线PE不能断开)。
3.TN-C-S系统

本文来源于互联网,暖通南社整理编辑。