
原文来源:hackernoon
作者:Harshvardhan Gupta
「机器人圈」编译:嗯~阿童木呀
这是两篇文章的第二篇,为了更系统地了解与掌握该教程,在阅读本文之前,建议最好通读机器人圈的前一篇文章。
在前一篇文章中,我们讨论了小样本数据旨在解决的主要问题类别,以及孪生网络之所以能够成为解决这个问题优良选择的原因。首先,我们来重温一个特殊的损失函数,它能够在数据对中计算两个的图像相似度。我们现在将在PyTorch中实施我们之前所讨论的全部内容。
你可以在本文末尾查看完整的代码链接
架构
我们将使用的是标准卷积神经网络(CNN)架构,在每个卷积层之后使用批量归一化,然后dropout。
代码片段:孪生网络架构:
def __init__(self):
super(SiameseNetwork, self).__init__()
self.cnn1 = nn.Sequential(
nn.ReflectionPad2d(1),
nn.Conv2d(1, 4, kernel_size=3),
nn.ReLU(inplace=True),
nn.BatchNorm2d(4),
nn.Dropout2d(p=.2),
nn.ReflectionPad2d(1),
nn.Conv2d(4, 8, kernel_size=3),
nn.ReLU(inplace=True),
nn.BatchNorm2d(8),
nn.Dropout2d(p=.2),
nn.ReflectionPad2d(1),
nn.Conv2d(8, 8, kernel_size=3),
nn.ReLU(inplace=True),
nn.BatchNorm2d(8),
nn.Dropout2d(p=.2),
)
self.fc1 = nn.Sequential(
nn.Linear(8*100*100, 500),
nn.ReLU(inplace=True),
nn.Linear(500, 500),
nn.ReLU(inplace=True),
nn.Linear(500, 5)
)
def forward_once(self, x):
output = self.cnn1(x)
output = output.view(output.size()[0], -1)
output = self.fc1(output)
return output
def forward(self, input1, input2):
output1 = self.forward_once(input1)
output2 = self.forward_once(input2)
return output1, output2
其实这个网络并没有什么特别之处,它可以接收一个100px * 100px的输入,并且在卷积层之后具有3个完全连接的层。
但是其他孪生网络如何呢?
在上篇文章中,我展示了一对网络是如何处理数据对中的每个图像的。但在这篇文章中,只有一个网络。因为两个网络的权重是相同的,所以我们使用一个模型并连续地给它提供两个图像。之后,我们使用两个图像来计算损失值,然后再返回传播。这样可以节省大量的内存,绝对不会影响其他指标(如精确度)。
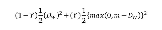
对比损失
我们将对比损失定义为

等式1.0
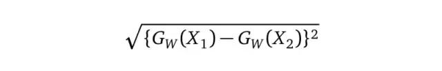
我们将Dw(也就欧氏距离)定义为:

等式1.1
Gw是我们网络的一个图像的输出。
PyTorch中的对比损失看起来是这样的:
代码片段:默认边际价值为2的对比损失:
"""
Contrastive loss function.
Based on: http://yann.lecun.com/exdb/publis/pdf/hadsell-chopra-lecun-06.pdf
"""
def __init__(self, margin=2.0):
super(ContrastiveLoss, self).__init__()
self.margin = margin
def forward(self, output1, output2, label):
euclidean_distance = F.pairwise_distance(output1, output2)
loss_contrastive = torch.mean((1-label) * torch.pow(euclidean_distance, 2) +
(label) * torch.pow(torch.clamp(self.margin - euclidean_distance, min=0.0), 2))
return loss_contrastive
数据集
在上一篇文章中,我想使用MNIST,但有些读者建议我使用我在同篇文章中所讨论的面部相似性样本。因此,我决定从MNIST / OmniGlot切换到AT&T面部数据集。
数据集包含40名测试对象的不同角度的图像。我从训练中挑选出3名测试对象的图像,以测试我们的模型。

不同类的样本图像

一名测试对象的所有样本图像
数据加载
我们的架构需要一个输入对,以及标签(类似/不相似)。因此,我创建了自己的自定义数据加载器来完成这项工作。它使用图像文件夹从文件夹中读取图像。这意味着你可以将其用于任何你所希望的数据集中。
代码段:该数据集生成一对图像和相似性标签。如果图像来自同一个类,标签将为0,否则为1:
def __init__(self,imageFolderDataset,transform=None,should_invert=True):
self.imageFolderDataset = imageFolderDataset
self.transform = transform
self.should_invert = should_invert
def __getitem__(self,index):
img0_tuple = random.choice(self.imageFolderDataset.imgs)
#we need to make sure approx 50% of images are in the same class
should_get_same_class = random.randint(0,1)
if should_get_same_class:
while True:
#keep looping till the same class image is found
img1_tuple = random.choice(self.imageFolderDataset.imgs)
if img0_tuple[1]==img1_tuple[1]:
break
else:
img1_tuple = random.choice(self.imageFolderDataset.imgs)
img0 = Image.open(img0_tuple[0])
img1 = Image.open(img1_tuple[0])
img0 = img0.convert("L")
img1 = img1.convert("L")
if self.should_invert:
img0 = PIL.ImageOps.invert(img0)
img1 = PIL.ImageOps.invert(img1)
if self.transform is not None:
img0 = self.transform(img0)
img1 = self.transform(img1)
return img0, img1 , torch.from_numpy(np.array([int(img1_tuple[1]!=img0_tuple[1])],dtype=np.float32))
def __len__(self):
return len(self.imageFolderDataset.imgs)
孪生网络数据集生成一对图像,以及它们的相似性标签(如果为真,则为0,否则为1)。 为了防止不平衡,我将保证几乎一半的图像是同一个类的,而另一半则不是。
训练孪生网络
孪生网络的训练过程如下:
1.通过网络传递图像对的第一张图像。
2.通过网络传递图像对的第二张图像。
3.使用1和2中的输出来计算损失。
4.返回传播损失计算梯度
5.使用优化器更新权重。我们将用Adam来进行演示:
代码片段:训练孪生网络:
net = SiameseNetwork().cuda()
criterion = ContrastiveLoss()
optimizer = optim.Adam(net.parameters(),lr = 0.0005 )
counter = []
loss_history = []
iteration_number= 0
for epoch in range(0,Config.train_number_epochs):
for i, data in enumerate(train_dataloader,0):
img0, img1 , label = data
img0, img1 , label = Variable(img0).cuda(), Variable(img1).cuda() , Variable(label).cuda()
output1,output2 = net(img0,img1)
optimizer.zero_grad()
loss_contrastive = criterion(output1,output2,label)
loss_contrastive.backward()
optimizer.step()
if i %10 == 0 :
print("Epoch number {}\n Current loss {}\n".format(epoch,loss_contrastive.data[0]))
iteration_number +=10
counter.append(iteration_number)
loss_history.append(loss_contrastive.data[0])
show_plot(counter,loss_history)
网络使用Adam,以0.0005的学习率进行了100次的迭代训练。随着时间的变化,损失曲线如下所示:

随时间变化的损失值曲线,x轴代表迭代次数
测试网络
我们从训练中抽取了3个测试对象,用于评估我们的模型性能。
为了计算相似度,我们只是计算Dw(公式1.1)。其中距离直接对应于图像对之间的不相似度。Dw的高值表示较高的不相似度。
代码片段:通过计算模型输出之间的距离来评估模型:
folder_dataset_test = dset.ImageFolder(root=Config.testing_dir)
siamese_dataset = SiameseNetworkDataset(imageFolderDataset=folder_dataset_test,
transform=transforms.Compose([transforms.Scale((100,100)),
transforms.ToTensor()
])
,should_invert=False)
test_dataloader = DataLoader(siamese_dataset,num_workers=6,batch_size=1,shuffle=True)
dataiter = iter(test_dataloader)
x0,_,_ = next(dataiter)
for i in range(10):
_,x1,label2 = next(dataiter)
concatenated = torch.cat((x0,x1),0)
output1,output2 = net(Variable(x0).cuda(),Variable(x1).cuda())
euclidean_distance = F.pairwise_distance(output1, output2)
imshow(torchvision.utils.make_grid(concatenated),'Dissimilarity: {:.2f}'.format(euclidean_distance.cpu().data.numpy()[0][0]))

模型的一些输出,较低的值表示相似度较高,较高的值表示相似度较低。
果然,实验结果相当不错。网络能够做到从图像中分辨出同一个人,即使这些图像是从不同角度拍摄的。与此同时,该网络在辨别不同的图像方面也做得非常好。
结论
我们讨论并实施了用一个孪生网络从面部图像对中进行面部识别的实验。当某个特定面部的训练样本很少(或只有一个)时,使用这个办法是非常有效的。我们使用一个有辨别性的损失函数来训练神经网络。