
位逻辑指令
(一)触点及线圈指令
PLC梯形图语言的编程原则
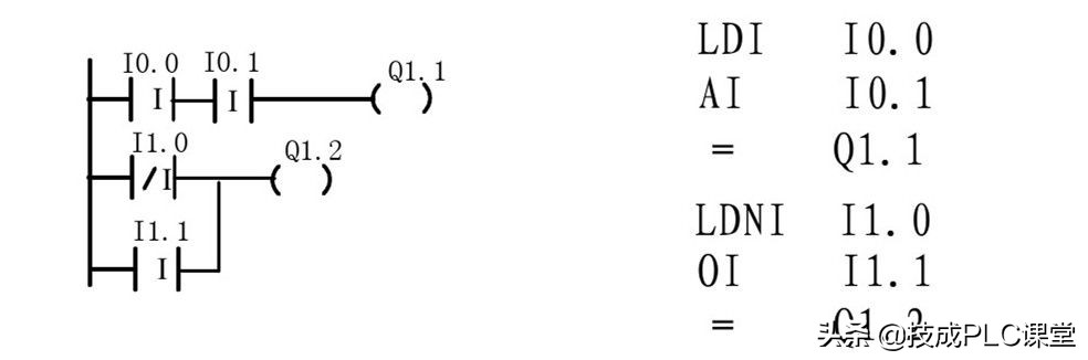
1、梯形图由多个梯级组成,每个线圈可构成一个梯级,每个梯级有多条支路,每个梯级代表一个逻辑方程;
2、梯形图中的继电器、接点、线圈不是物理的,是PLC存储器中的位(1=0N;0=0FF);编程时常开/常闭接点可无限次引用,线圈输出只能是一次;
3、梯形图中流过的不是物理电流而是“概念电流”,只能从左向右流;
4、用户程序的运算是根据PLC的输入/输出映象寄存器中的内容,逻辑运算结果可以立即被后面的程序使用;
5、PLC的内部继电器不能做控制用,只能存放逻辑控制的中间状态;
6、输出线圈不能直接驱动现场的执行元件,通过I/模块上的功率器件来驱动。
基本逻辑指令以位逻辑操作为主,在位逻辑指令中,除非有特殊说明,操作数的有效区域为:I、Q、M、SM、T、C、V、S、L且数据类型为BOOL触点和线圈指令又分为:标准指令、立即指令、取反指令、正(负)跳变指令。



















定时器指令
包括:接通延时定时器(TON)、有记忆的接通延时(保持型)定时器(TONR)、断开延时定时器(TOF)。S7-200有256个定时器(T0~T255)。










计数器指令
包括:加计数CTU、减计数CTD和加/减计数CTUD总共有256个(C0~C255)。计数器是对PLC内部的时钟脉冲进行计数,而计数器是对外部的或由程序产生的计数脉冲进行计数。计数器累计计数的当前值(16位有符号整数),它存放在计数器的16位(bit)当前值寄存器中。
每个计数器只有一个16位的当前值寄存器地址。在一个程序中,同一计数器号不要重复使用,更不可分配给几个不同类型的计数器。






来源:网络,侵删~
转发是最大的鼓励!谢谢您的支持!
小贴士
PLC专属资料: 含有 从入门到高级所有PLC学习资料(三菱/西门子/欧姆龙) ,电气经典18本大全书,历年电气考试真题、电气必备实训仿真软件、电气自动化行业各类型技术手册!
