弹簧零件广泛应用于电子产品的动作复位机构和缓冲机构。设计弹簧零件时,设计者需要明确设计目标---弹簧的工作负荷(作用力或扭矩)和弹簧的循环次数(使用寿命),定义出具体的弹簧材料和弹簧零件的几何尺寸。
作用力或扭矩、寿命、材料参数、几何尺寸是不同的概念,如何将它们联系在一起,常常让设计者感到困惑;弹簧的材料参数和弹簧零件的几何尺寸参数繁多,且互相影响,设计时先确定什么参数,再确定什么参数,更是常常让设计者感觉无从下手。
弹簧零件的设计过程是一个反复假设、试算、校核、调整、优化的过程。先根据产品机构的功能需求,确定合适的弹簧种类,再根据产品的工作温度、环境、使用寿命等选择合适的弹簧材料,然后根据弹簧在机构中允许的安装空间、需要达成的工作负荷、工作行程,假定部分几何参数,试算其它几何参数,然后校*弹核**簧的性能指标。弹簧设计结果一般不是唯一的,往往需要从多个可行的设计结果中选择最优化的结果。一般来说,重量最轻、成本最低的设计是最优化的设计。
弹簧的具体设计步骤
(1)分析产品机构的功能需求,确定弹簧种类,明确弹簧在机构中需要达成的工作负荷及工作行程。
(2)选择弹簧材料,查找弹簧材料性能参数
(3)选择旋绕比C,并算出曲度系数K、Kb
(4) 根据弹簧在机构装置中需要达成的工作负荷,试算、圆整弹簧丝径d
(5)根据弹簧需要达成的工作负荷(F1、2、3…n或T1、2、3…n)与弹簧的工作行程(f1、2、3…n或工作扭转角),计算弹簧刚度(F'或T')及弹簧有效圈数n。拉伸弹簧则先根据旋绕比查得初切应力(τ0)范围,算得初拉力F0范围,并初设初拉力大小
(6)用圆整后的有效圈数计算弹簧实际刚度(F'、T'),再计算弹簧实际变形和实际负荷,并确定弹簧其它参数。拉伸弹簧还需计算实际初拉力(F0)和实际初切应力(τ0),并确认是否在其范围内
(7)弹簧校核
(8)设计、调整弹簧安装固定结构
(9)弹簧成型后处理
(10)绘制弹簧零件图
例: 服务器盖板开关机构的弹簧零件设计

该机构需要一个弹簧零件提供作用力施加于滑块或把手,以方便把手开启并使把手在最大开启角位置保持不动。
分析服务器盖板开关机构,可以选择压缩弹簧沿轴向施力于滑块,滑块再通过连杆施力于把手;也可以选择扭转弹簧直接施加扭矩于把手。综合考虑弹簧的安装空间和组装便利性,确定选用压缩弹簧。把手开启时,弹簧伸长至安装位置,此时弹簧施加约1.0N的作用力于滑块,即可使把手保持不动;把手闭合过程中,弹簧压缩,此时弹簧的作用力是把手闭合的阻力,希望越小越好,先假定把手闭合时弹簧的作用力为3.0N。另根据开关机构开启和闭合状态时滑块的位置变化,确定弹簧的工作行程为10mm。
综合考虑盖板开关机构压缩弹簧的使用次数、环境、可靠性、成本等因素,选用不锈钢丝SUS304-WPB,假定线径d=0.4mm,查得Rm=2050MPa、G = 7 X 104MPa,则许用切应力[τ]=0.34 X 2050 = 697MPa,试验切应力τs = 0.9 X 0.45 X 2050 = 830.25 MPa。
根据之前假定的弹簧丝径,以及弹簧的安装空间,估选弹簧旋绕比C=12,则弹簧中经,计算曲度系数:

根据弹簧需要达成的工作负荷试算弹簧丝径:

故初选d=0.4mm弹簧丝径符合强度要求。
计算弹簧刚度:

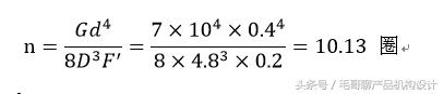
计算有效圈数:

圆整为n=10圈
计算弹簧实际刚度:

与所需刚度F'=0.2基本相符。
计算弹簧安装负荷时(开关开启状态)变形量:

计算弹簧工作负荷时(开关闭合状态)变形量:

计算弹簧实际工作负荷

接近假定的弹簧负荷,满足设计需求。

计算弹簧压并高度:

计算弹簧压并变形量:

计算弹簧压并负荷:

计算弹簧试验负荷:


校*弹核**簧稳定性:

满足稳定性要求。
压缩弹簧的端部一般为0.75~1.75圈簧圈并紧的支承圈,保证压缩弹簧在工作时轴线垂直于支承面。支承圈圈数视弹簧有效圈数而定,有效圈数少于7时,0.75圈支承圈即可,有效圈数多于7时,支承圈为1~1.75圈。
弹簧成型后一般需要进行表面处理,以提高弹簧的导电性、抗腐蚀性,以及达到外观美观的需要。常见的表面处理方式有抛光研磨、涂防锈油、电镀、发黑。抛光研磨是为了去除弹簧表面的油污,增加弹簧表面的光洁度,去除切断面的毛刺;碳钢丝和琴钢丝如没有电镀或其它表面处理,则必须涂防锈油;电镀可以提高弹簧的导电性和抗腐蚀性;发黑处理可以使弹簧表面获得一层致密的氧化膜,这种氧化膜有抗腐蚀作用。

