[奥特曼]关注我,每天一起学点法律经济知识,进可攻,退可守!此生无憾![狗头]
在企业筹资、投资过程中,资本成本是一个非常重要的概念。企业只有正确地估计了资本成本,才能作出合理的筹资、投资决策,进而降低企业的筹资成本、提高企业的投资报酬,最终实现企业股东财富的最大化目标。
什么是资本成本?
一般来说,资本成本,指的就是机会成本。所谓的机会成本,就是当你采用a方案时,在其他被迫放弃的方案中,你可以获得的最高收益。
机会成本是经济学上的概念,与会计上记账的历史成本不同,它面向的是未来。
a公司的每股净资产只有10元,现在股价已经涨到了100元,请问:a公司现在的股价高吗?
衡量a公司现在的股价是否高,就要看投资者对a公司 未来的股价 的预测!
如果预测a公司未来股价会涨到1000元,那么a公司现在的股价就不高,投资者就会买入;
如果预测a公司未来的股价会跌到10元,那么a公司现在的股价就高,投资者就会卖出,哪怕投资者是以120元的价格买入的a公司的股票,此时都会依然卖出。
投资者作出的上述买入还是卖出的决策,基于的都是对a公司 未来的股价 的预测,与a公司的历史股价无关。哪怕现在有些投资者在炒股时会去看公司的历史股价,但是本质上这种去看公司历史股价的行为都是为了预测公司的未来股价,这类投资者最终决策也是基于的对公司未来的股价的预测。
我们在作决策时,一定是要面向未来的,过去的事项已经无法改变,属于沉没成本,决策时不应当再去考虑。
资本成本的影响因素有哪些?
资本成本的影响因素大致可以划分为:(1)外部影响因素;(2)内部影响因素。
外部影响因素包括:利率、市场风险溢价、税率等;内部影响因素包括:资本结构、投资政策等。
测算普通股资本成本有哪些方法?
测算普通股资本成本主要有三种方法:(1)资本资产定价模型;(2)股利增长模型;(3)债券收益率风险调整模型。
资本资产定价模型(Capital Asset Pricing Model),简称“CAPM”,是测算普通股资本成本使用最广泛的方法。
本文主要围绕“CAPM”展开讨论,其他两种方法,届时另文再作介绍。
如何用资本资产定价模型CAPM公式测算普通股资本成本?
按照资本资产定价模型,普通股资本成本的计算公式如下:

代表无风险利率;一般使用长期政府债券的到期收益率来计算;你可以简化理解为“购买10年期国债,所能获得的到期收益率”
代表市场组合的收益率;市场组合,你可以简化理解为“上证指数”;
代表市场风险溢价;风险与收益成正比,当投资者投资“上证指数”时,相对于“购买国债”,投资者将承担更多的风险,因此所获得的额外收益,我们称之为风险溢价。

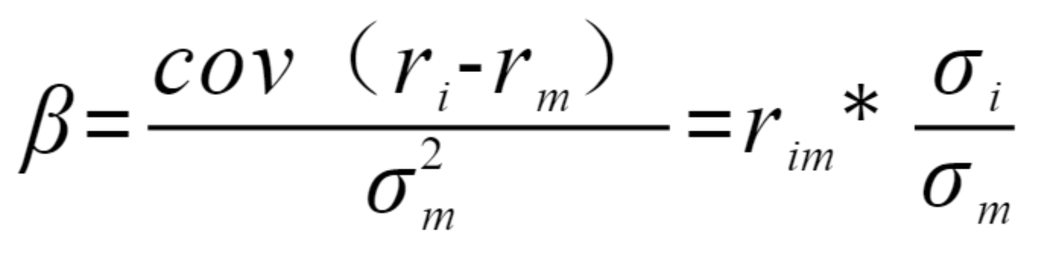
β代表某一特定股票 的收益率与上证指数收益率之间的变动关系;
β的数学计算公式如上,β值等于某一特定股票的收益率与上证指数收益率的协方差与上证指数收益率方差的比值;
tips:β可正可负,正代表该股票收益率与上证指数收益率呈正相关关系;负代表该股票收益率与上证指数收益率呈负相关关系。
例如:当前10年期国债的收益率是5%;上证指数的收益率是10%;a公司普通股β值为1.5,那么a公司普通股的资本成本为:
=5%+1.5*(10%-5%)=12.5%
[奥特曼]今天的法律经济知识,你学会了吗?如果大家还有其他的法律经济问题,请在我的主页留言板内留言。[太阳]如果你喜欢的话,就请动动你的小手指,点赞分享推荐吧~[送心]