
环氧基与胺类的反应 胺类固化环氧树脂的交联化学反应非常复杂,所发生的许多竞争反应。
1、环氧基与胺类的反应

胺类固化环氧树脂的交联化学反应非常复杂,所发生的许多竞争反应已被证实。脂肪族伯胺与环氧基的反应室温下就能进行,无需促进剂,但羧酸、醇类、酚类、磺酸和水等物质,对反应有加速作用,而醚类、酮类、酯类、腈类等物质,则有抑制作用。
促进效果依次为酸>酚>水>醇>芳烃(甲苯等)>-氧六环>二异丙醚。尚需指出,邻苯二甲酸、顺*烯丁**二酸等没有促进效果。
芳香胺要比脂肪胺活性小,与环氧基的反应速度较慢,室温下仅有30%左右参加反应。其原因是 N 原子上的电子被苯环所分散而使碱性减弱,加之苯环的位阻效应。但是芳香胺与脂环环氧基的反应速度却比脂肪胺快,这可能与芳香胺的酸性比较大些有关。
2、环氧基与醇类的反应
环氧基与醇类羟基(—OH)的反应,在无催化剂存在时,温度低于200℃通常是不会进行的。在叔胺等碱性化合物存在下,醇羟基可使环氧基开环,反应在100℃左右就能快速进行。

继续反应直至形成高度交联的聚醚结构。
环氧基与醇类的反应活性顺序为:伯醇>仲醇>叔醇。以叔胺为催化剂,主要是发生环氧化合物本身的阴离子聚合反应,加入的醇类并不都参加反应。
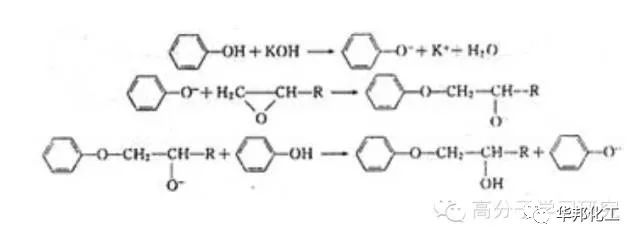
3、环氧基与酚类的反应
环氧基与酚类化合物的反应与醇类相似,由于酚的酸性较大,故反应速度较快。在无催化剂存在时,环氧基与酚类在近200℃才开始反应,包括环氧基与酚羟基的反应及开环后生成的羟基进一步与环氧基的反应,例如环氧基与苯酚的反应:

但在 KOH 等碱性催化剂存在下,在100℃时反应就能进行,几乎都是环氧基与苯酚的1种反应。

如此下去,可使环氧树脂聚合交联。
上述反应与醇类的情况不同,酚类基本上参加了与环氧基的反应。
4、环氧基与硫醇的反应
硫醇(RSH)的反应活性很低,室温下反应极其缓慢,几乎不能进行。若有叔胺类
或其他胺类化合物存在,可以形成硫醇离子,会加速环氧基与硫醇基的反应,生成仲羟基和硫醚键,比环氧基与胺类反应快得多,且可在低温下进行,即使在0℃也能反应。其中叔胺类和其他胺类的碱性和空间位阻对反应速度影响很大。具体反应如下:

在环氧树脂与聚硫醇反应时,叔胺类促进剂的碱性增大,会加速反应进行。
5、环氧基与酰胺的反应
酰胺(RCONH2)上的氨基与脂肪胺相比活性要小得多,在室温下环氧基与酰胺的反应很难发生。需要有 KOH、NaOH 或苯二甲酸钠等强碱促进剂存在,环氧基与乙酰胺或苯甲酰胺在150℃时可发生开环加成反应。
一般用的聚酰胺在叔胺类碱性促进剂作用下,借助聚酰胺中的伯胺和仲胺与环氧化合物发生固化反应。
6、环氧基与羧基的反应
环氧基与羧基的反应比胺类慢,通常在室温下不能进行,需要在100℃以上长时间加热才能反应。

这个反应可被叔胺、季铵盐等碱性化合物促进。开始只是羧基对环氧基开环的酯化反应,当羧基被全部反应之后,碱性促进剂才能使羟基与环氧基发生醚化反应。在碱性促进剂存在下,环氧基与羧基的反应可在较低温度(100~130℃)下进行。
在酸性促进剂存在时,有利于醚化反应,当环氧基/羧基=1:1时,反应得到羟基酯,只有当环氧基过量才会加速环氧基与羟基之间反应,有利于生成聚醚的反应。
7、环氧基与脲类的反应
环氧基与脲类 R1NHCONR2R3能在高温下反应:

8、环氧基与氨基甲酸酯的反应
环氧基与氨基甲酸酯在叔胺(如三乙胺)或季铵盐促进剂存在下,可以发生反应,生成噁唑烷酮。

如果没有促进剂,在200℃以下上述反应不会发生,在高温下也只有环氧基的开环聚合。
9、环氧基与异氰酸酯基的反应
异氰酸酯(—NCO)易与含活性氢化合物反应,季铵盐等是其高效促进剂,反应最后产物为噁唑烷酮。反应过程表示如下:

10、环氧基与聚氯丁二烯的反应
环氧基能与聚氯丁二烯(氯丁橡胶)中1,2结合的烯丙基氯反应而交联。硫化氯丁橡胶,可提高耐热性和耐疲劳性,并可提高氯丁橡胶与金属的粘接强度。

11、环氧基与氯磺酰基的反应
环氧基与氯磺酰基反应可使环氧树脂硫化氯磺化聚乙烯橡胶,所用的促进剂有 M、TMTD、TRA、DOTG(二邻甲苯胍)等。

12、环氧基与无机酸的反应
环氧基能与 HCl 中氯原子反应,可使环氧树脂用作 PVC 塑溶胶(PVC 糊树脂)的稳定剂。

环氧基与磷酸反应,可提高环氧胶的阻燃性和耐热性。

13、环氧中仲羟基与其他*能官**团的反应
相对分子质量较高的双酚型等环氧树脂中还含有仲羟基,能与很多*能官**团反应,起到交联、固化、改性等作用。例如与酸酐反应可生成半酯,可使酸酐固化环氧树脂;与羟甲基反应可使酚醛树脂固化环氧树脂或用于酚醛树脂改性;与羧基进行酯化反应,用于羧基橡胶对环氧树脂增韧;与异氰酸酯反应,可于环氧树脂中引入氨酯键。改善环氧树脂韧性,也能使环氧树脂用于对聚氨酯改性;与硅醇或硅氧烷反应引入硅元素,提高环氧胶黏剂的耐热性;与钛、锆、铝烷氧基化合物反应,使环氧树脂交联可制得性能良好的环氧胶黏剂。
14、环氧基的均聚反应
环氧树脂在叔胺等路易斯碱或三氟化硼等路易斯酸的催化作用下,环氧基会按离子型聚合反应机制开环均聚。若有叔胺存在,环氧基则按阴离子聚合历程开环反应,使分子链不断增长或交联。水和醇等给质子基团化合物能促进环氧基的开环反应。
三氟化硼胺络合物能引发环氧基按阳离子聚合反应历程开环均聚,聚合历程较为复杂,羟基影响很大。在一定温度下,三氟化硼-胺络各合物离解放出 H+,H+攻击环氧基开环形成离子结构,它连续不断地使环氧活化、开环聚合。
无机碱也对环氧基的聚合有催化作用,因此,环氧树脂中残留的微量碱会显著影响树脂的储存期和固化速度,不可忽视。

(a)是正常加成的环氧氯丙烷(ECH)因脱 HCl 的闭环反应不完全形成的,易水解,故称为可水解氯或易皂化氯。
(b)和(c)由 ECH 异常加成的副反应所形成,不易水解,称为结合氯或非活性氯。以上3种含有机氯的异质端基,尽管含量很少,却对环氧树脂的性能有很大影。向,不仅降低固化物的电性能,增大对金属的腐蚀性,而且也能防止液态环氧树脂结晶以及缩短凝胶时间和促进固化反应等。因此控制总氯含量(水解氯和结合氯之和)是很重要的。
(d)是α-二乙醇端基,在双酚 A 环氧树脂中一般含有70mmol/kg 左右的α-二。
文章来源:水性大平台