上次我们将磁粉芯的直流偏置特性分两节进行了讲述,这次为了方便大家查看,将两节合起来做一个汇总
首先说明一下,什么是磁粉芯以及我们常见的磁粉芯种类,这在前面我们没有提到,这里补充一下:
概念:磁粉芯也称为粉末磁芯,具有分布式气隙的一类磁芯,分布式气隙由制作工艺决定,这类磁芯也属于软磁材料,组成常用软磁磁芯材料的元素种类有 铁、钴、镍三种铁磁性元素,它们是构成磁性材料的基本组元。
磁粉芯是由铁磁性粉粒与绝缘介质混合压制而成的一种软磁材料。由于铁磁性颗粒很小(高频下使用的为 0.5~5 微 米),又被非磁性电绝缘膜物质隔开,因此,一方面可以隔绝涡流,材料适用于较高频率;另一方面由于颗粒之间的 间隙效应,导致材料具有低导磁率及恒导磁特性;又由于颗粒尺寸小,基本上不发生集肤现象,磁导率随频率的变化 也就较为稳定。主要用于高频电感。磁粉芯的磁电性能主要取决于粉粒材料的导磁率、粉粒的大小和形状、它们的填 充系数、绝缘介质的含量、成型压力及热处理工艺等

磁粉芯结构示意图
种类及组成成分:
(1)铁粉芯—铁粉磁粉芯
(2)铁硅铝粉芯(Sendust、美磁MAGNETICS称为Kool mu)—铁、硅、铝磁粉芯
(3)高磁通粉芯(HF)—铁镍磁粉芯
(4)钼坡莫(MPP)—铁、镍、钼磁粉芯
上面了解了磁粉芯的一些基本知识,下面我们通过一种磁粉芯材料,来说明直流偏置特性。
直流偏置特性:磁导率随磁场的变化特征,即直流偏置特性(DC Bias Performance),这里的磁场是一个直流磁场HDC(代表直流电流)叠加一个变化磁场BAC(在电感中代表纹波电流)的磁场,上次也说过,作为CCM模式下的电感,磁摆幅从磁滞回线看只工作在一个小范围内,即通常电感不仅是单向励磁,而且在CCM下还是小范围进行磁摆幅,如下图,变化磁密BAC只有一小部分,其余均为直流偏置。

电感偏置磁滞回线
举例汇总:
(1)美磁(MAGNETICS),任意一种铁硅铝磁芯,直流偏置特性曲线如下

直流偏置特性曲线
典型的直流偏置特性曲线,横坐标表示是安匝乘积数(A.T),纵坐标表示的是电感系数AL

电感系数
即纳亨每匝数的平方,可以看出,随着安匝增加,电感系数是不断减小的,安匝数:

安匝-安培环路定理
在磁路长度确定时,安匝乘积数(A.T或A.N)实质表示的就是磁场,上述是国际单位MKS制表示法(即国际单位制,磁路长度是米"m")
假如,以这个规格绕制的一个磁环电感,绕制4匝,那么,当无直流偏置的情况下,电感就等于:

无直流偏置电感量
当直流偏置电流为100A时,从图中可以看出,安匝乘积等于400A.T或A.N,那么此时,电感系数只有原来152的百分之50左右倍,电感就等于:

直流偏置下的电感量
所以,我们在评估这类电感时,你需要的电感量,一定要在实际电流情况下去评估,而不是直接带入直流偏置为零的电感系数去计算,实际电流下,一定是电感的一种打折。
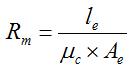
再次说明一下电感系数AL,实质是磁导G,这里只是变换一个单位的事,磁导G是磁阻Rm的倒数:

磁阻

磁导—电感系数
uc是磁芯材质的绝对磁导率,比如我们常说的u-125材质是一种相对磁导率,需要转化转化为材料的绝对磁导率uc。

一种铁硅铝的电感系数
从上面表中,可以看出在直流偏置为"0"时的电感系数为152nH/N2±8%,这个是从一般实际测量得到,典型的电感系数是在1000匝下测得的,如下图是TDG测量的一种数据,可以看出匝数越多,得到的电感系数值月接近理论计算值

电感系数测量对比
我们也知道,电感系数AL实质是磁导G,因此只要你清楚磁芯的物理尺寸,你就可以轻松计算出无直流偏置时的电感系数了,这里再次强调一下用Excel计算,方便又快捷。

一种铁硅铝物理参数

电感系数的Excel计算
上面是美磁"MAGNETICS"的一款铁硅铝(Kool mu或Sendust)的直流磁化特性曲线,很直观,我们可以看出电感系数的变化,因为对于电感系数中磁路有效长度Le和磁芯截面积Ae都是定值,随着直流偏置的变化,变化量实质是磁导率的变化,呈减小的趋势。
(2)浙江科达和睦(KDM)磁粉芯,铁硅铝(Sendust)的直流磁化特性曲线如下,横坐标—奥斯特(Oe);纵坐标—磁导率百分比,实质也是随直流偏置的变化,磁导率变化(减小)的趋势。
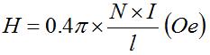
特性曲线横坐标磁场强度是奥斯特(Oe)表示(实质是安培环路定理的表达式,只不过是CGS表示法)

磁场强度—奥斯特
式子中"l"是磁路长度,单位是厘米"cm";匝数"N"和线圈电流"I"单位为安培"A"
磁环拟合曲线举例:

直流偏置的拟合曲线
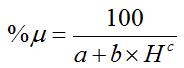
上图中磁化拟合曲线函数如下:

拟合曲线公式
其中磁场强度"H"

特性系数表
其中"a"、"b"和"c"是偏置特性曲线的系数,是一个常数"Contanst",不同磁导率对应的特性系数不同(磁导率是相对磁导率),如上表。
任意一种铁硅铝磁材料:

磁芯物理尺寸规格:

带入磁环物理尺寸,如下图是借助"EXCEL"计算相对磁导率随磁化电流的变化,其中黄色填充代表输入参数,蓝色代表输出结果,电流假定100A、匝数定位4匝,第一行结果是磁场H(Oe);第二行是磁化电流结果的磁导率百分比结果
H=39.4858(Oe)
%u=51.7969,则相对磁导率由原来的125变为原来的51.7969%,因此在安匝数=100*4=400A.N时,实际磁导率为125*51.7969%=64.7461

Excel计算
读曲线值对比曲线图,当磁场强度H=39Oe时,磁导率大约是零磁化电流的51%,这个和上面的计算结果相符,如图红色虚线标注。

表中读取
拟合曲线的优点:
首先拟合曲线代表了一个厂商相同材质的所有磁芯的磁化趋势,假定你选定一个规格的磁芯,只要带入磁芯参数,就可以得出选定磁芯在磁化电流下的变化趋势,进而可以得出在特定磁化电流下的电感量,利用好电子表格,结算复杂结果和绘制函数曲线由很大的好处。拟合曲线相比于美磁"MAGNETICS"的直流偏置安匝曲线,使得一种特定材料的磁化曲线更加统一、简化,便于查阅和计算,而且能够代表所有同种材料不同尺寸规格磁芯的直流特性变化曲线。
为什么,我们要了解磁粉芯的直流偏置特性呢,这是因为我们前面提到的这种材料构造,由于分布式气隙的缘故,材料在直流偏置下,不会迅速进入饱和,而是缓慢进入,磁滞回线较为平坦,磁导率逐渐减小。

磁粉芯的磁滞回线