
文:刘志刚
北京时间11月27日晚间流利说发布了第三季度的财报,财报显示,本季度净收入1.805亿元人民币,同比增长265%;然而与收入的增长形成巨大反差的是,亏损却进一步扩大,较同期上涨120%。
身披AI教育第一股光环,翻开流利说公布的历年财报却是连年的巨额亏损,AI加持下的英语教育之路,还能顺利走下去吗?
梅特卡夫框架下流利说的价值究竟几何?
计算机网络先驱,3com公司的创始人罗伯特·梅特卡夫曾经认为网络价值应该以用户平方的数量增长,一个网络的价值等于该网络内的节点数的平方,而且该网络的价值与联网的用户数的平方成正比。
而有学者在此基础之下,认为互联网的价值在于节点之间的相互连接,每N个节点可能与N-1个其他节点发生联系,潜在的关联为N(N-1),即Nˇ2个数量级。因此互联网公司的价值为:V=Nˇ2,其中V是互联网价值,N为用户数量。
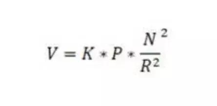
后来这种“用户至上”的判断准则不断完善,之前国泰君安策略团队认为互联网企业价值由变现因子、溢价率、用户数量或*在用潜**户数量、高质量的网络节点四大核心要素构成,在此基础之上演变出了一个较为全面的公式:

其中V是互联网价值,K是变现因子,P是溢价率系数(主要取决于在行业中的地位),N是网络用户,R是网络节点之间的距离(客户间互动因子)。
那么,就以公式为锚,分析一下流利说。
就付费率而言,流利说用户的付费率约为1.4%。而移动互联网产品大概平均5%的付费率,结合本季度净亏损1.424亿元,比去年同期上升了120.4%的财务表现,可以看痴流利说的盈利能力并不高,变现因子K值处于较低阶段。
从流利说的市场地位,即P溢价率系数来看,按照经典商业分析理论,超额收益来自于企业的护城河,公司创始人王翌给公司的公司的定位是世界第一家教育3.0模式的上市公司,强调的是流利说的AI+教育。但对于AI加持的教育,并不会成为流利说溢价的来源。且不说技术本身的时效性就比较短,就算将来AI成为一种发展趋势,但正像李彦宏所说的那样,未来,没有任何一家企业会宣称自己和人工智能没有任何关系。因此,作为未来互联网时代的一种基础设施,并不会对企业本身的业务形成很高的壁垒。
事实上,现阶段几乎所有教育类产品, 只要涉及语音识别,都宣称自己与AI有关系,但到底有多少真正的科技含量呢?恐怕要打个问号。
据了解,如今市面上搭载语言处理人机交互的英语学习平台随处可见。比如有道英语,51talk,英语魔方秀等等。所以,在线英语学习平台只需要与技术商合作基本上就能实现AI+教育,语音识别技术并不会被一家公司牢牢地占据。
就流利说与用户之间的黏性而言,也没有特别大的优势。在目前的中国,大多数人学习英语的目的就是为了应付考试,考试完成之后,书籍学习资料则束之高阁,再也不会翻看来看。作为一款学习类的APP也是这样,尤其是像流利说这样针对成人市场的口语练习,当用户达成自己的学习目的之后,那么这样的APP在手机里也就没有了价值。所以,流利说与用户之间的黏性似乎并不高,反映在公式上,即R值偏大。
从用户规模来看,根据流利说第三季度的财报显示,注册用户数9720万,而截至2017年12月31日累计注册用户为6130万,同比增长58.56%。其中付费用户数为87.2万,而2017年第三季度有33.8万付费用户,付费用户同比增长158%。所以在用户数方面,得益于中国庞大的英语学习基数,流利说用户增长还是比较可观。
综合来看,按照罗伯特·梅特分析框架,流利说的网络价值似乎并不是很高,值得一提的是,虽说流利说用户增长方面表现强劲,但这种增长的背后或许也有许多值得细致考量的内容。
烧钱营销拉动的规模增长;但资本的燃料还能燃烧多久?
成立于2012年的流利说,以人工智能+教育为特色,核心则是利用AI技术和大数据提升学习效率。
目前旗下业务包括“英语流利说",“雅思流利说”在内的英语教育类APP,以及“懂你英语”,“流利英语”,“地道发音课”等英语学习产品。截止2018年6月,注册用户达8000万,曾经一度被福布斯评为“中国50年最具创新力企业”。
然而上市之后的流利说并没有在融到钱之后一骑绝尘。虽然营收高速增长,但其亏损增长的更快。2017年全年净亏损约2.43亿,2018年上半年也达到了约1.82亿元,预计今年亏损会远超去年。在实现巨额增长之后,可见流利说的发展并不是一帆风顺。
首先,从资本的角度来看,跟据艾瑞统计显示,成人外语市场投资额已从2014年的10.5亿元下降至今年的2亿元左右,投资机构已经用钱投票,似乎也从某种程度上也表明了行业投资者归于理性,资本寒冬已经到来。
流利说的愿景是以人工智能为手段,帮助英语学习者告别哑巴英语的困境,然而这一提供的服务并不是强烈需求之下的产物,对大多数人来说可学可不学。
此外,对于那些需要通过口语考试来练习口语的人来说,在国内的应试教育体制之下,K12这一对英语学习需求最大的群体一般用不上,而雅思,托福那些极为小众的口语考试所能产生的市场容量恐怕难以支撑一家上市公司,更何况像新东方,好未来等头部公司也早已开始布局英语口语业务。
如果说流利说以前的发展是在头部企业的阴影之下"虎口偷食“,那么如今的情景则是”虎口夺食“。
其次,在移动互联网的下半场流量红利逐渐消失,流量贵的问题成为各个行业都面的难题。而反映到企业的成本上,就是需要花费更多更庞大营销费用来获得流量增长。
根据流利说财报显示,在今年的上半年,流利说在营销费用上花费就达到了4.637亿元,仅仅这一项费用,就完全吃掉了其营收,这也从侧面印证了当前互联网企业获客难,获客贵的问题,同时流利说获客成本高的问题也因此表露无遗。
与其它行业相比,教育行业具备明显的“规模不经济”这一特征。培养一位老师的成本相对固定,边际成本不能随着规模的扩张而递减,每一次规模扩张其实都是相当于一次从零打拼的过程。过度依靠烧钱营销获客似乎多少有些饮鸩止渴的感觉。
除此之外,教育领域还有一个特点就是目标用户存在一定的生命周期,过了年龄升了学,可能就不需要了。
就像小学高年级数学应用题中的一个经典场景,即一个水箱有流速不同的进水口和出水口(各一个或各若干),求何时能将水箱注满水。如果把水箱现有的水比作平台现在的流量,那么需要在“进水口”上下大功夫才能实现增长。一直依靠烧钱营销获客,没有固定且庞大的入口或许并不是什么健康可持续的发展模式。
最后,在AI技术没有大规模的落地,呈现出加速发展的情况下,所谓的教育科技公司,显得十分单薄。反观目前国内上市的优质教育公司,核心的优势就在于系统的培训体系,优质的独家辅导内容。因为在线教育也是教育,逃脱不了教育的本质属性,在线教育的市场教育成本不仅仅是一个教学方法的推广问题,还牵扯到教育的方方面面,这注定会是一个长期而又缓慢的过程,需要流利说不断地探索和琢磨。
由此可见,高昂的营销投入或许是流利说持续亏损的原罪所在,对于流利说而言也的确需要尽快降低自己的获客成本了,毕竟资本的助燃剂并不是永无止境的。
与其等枯木逢春,不如重新插柳:“借势”B端或成*局破**制胜点
虽然市场目前对于AI+教育的概念并不深刻,市场也并不买账。但流利说发展人工智能+教育的优势还是显而易见的。人工智能发展三要素,算法,算力,大数据。如果将算法,算力比作厨艺的话,那么大数据就是食材。而目前的情况是,互联网的技术,算法在很大程度上并不难获得,甚至是公开的。而大数据的获取却需要时间的积累,甚至可能会被某家公司垄断。
资料显示,流利说目前有6.58亿分钟录音,超过83.9亿个句子。所以,从人工智能的发展上看,流利说早早地占据了一个十分靠前的跑道,而这才是流利说的新核心优势。
因此,与其费力让枯木再逢春,不如重新插柳,“另起炉灶”。阿里巴巴湖畔大学校长曾鸣提出的S2b2c模式其实对流利说有着极高的借鉴意义。基于自身核心优势,不妨像最近许多金融企业转型科技公司那样,为B端服务,以全新的S2b2C的模式切入市场,而这主要有以下两方面的思考。
一方面,在传统英语的英语教学,甚至是口语教学领域,已经是一片红海,存在着新东方,好未来以及一大批本地化特征非常明显的教育公司,多强格局十分明显。面对厮杀如此激烈的市场,尽管流利说主打人工智能+教育,但本质上仍然在和这些公司抢夺用户的资源。所以,不妨转换思路,与B端企业进行合作。此外,据相关机构显示,中国英语学习市场在2015年的时候是1500亿,2016年则是1800亿,到2020年的时候则会达到4500亿。正所谓卖水的比淘金的能赚钱,说的就是这个道理。
另一方面,事实上,不光是各类补习班,一些公立学校,课程开发机构甚至售卖教辅资料的公司都存在着创新自己的课程内容,精确辅导的这样需求。利用自己长期积累的,包含了大多数中国人学习英语存在的这样那样的误区的语音库,与传统教育机构合力开发课程,流利说就宛如一位有着几十年经验的特高级教师一样,简单有效。
由此可见,对于流利说而言,要想解决目前持续亏损、烧钱获客的现状,就必须从根本上进行改变。
事实上,新模式下,S2b2C模式构建了一张协同网络,S即技术提供方也就是流利说,b指的是各个教育机构,C是指用户。在这一过程中S与小b建立起紧密合作的生态共同体,双方要一起服务于C。S赋能小b的价值点在于为小b提供共同需要的某些服务,因为小 b 缺乏一些技术方面的能力。
新的模式下,具备资源整合的组合效应,可以实现多渠道资源互换,帮助企业保持流量获方面显的资源优势。这种资源无疑是有价值、稀缺、不可模仿和难以替代的,这就构成了参与行业竞争的核心竞争力,同时也能提高自身的品牌价值。毕竟相对于C端消费的复杂性,B端消费决策更稳健一些,真正具备技术优势的品牌也会因此脱颖而出。
与此同时,流利说的C端业务也要同步同样进行,打造出一种“两条腿”走路的方式,而借助B端积累的品牌优势无疑会为其技术实力增加不少信任背书。
由此可见,对于流利说而言,虽说目前面临亏损等诸多难题,但只要找准发展的正确姿态依旧存在极高的上升空间。
科技自媒体刘志刚,订阅号:互联网江湖,微信:13124791216.转载保留作者版权信息,违者必究。