前言
白及属,植物是在 1853 年由德国著名植物学家为模式建立的,属名白及为兰科 多年生草本温带植物。
主要分布于亚洲的缅甸北部经我国至日本,全世界分布约 6种,中国主产 4 种白及属植物,即:白及、华白及、黄花白及和小白及,根据已报道植物化学研究表明,兰科植物白及属中主要的生物活性成分中大多均富含民类化合物。

民类化合物是指一类具有 1,2-二苯乙烯及其衍生物的单体和聚合物的总称,包括二苯乙烯类、二苯乙基类、菲类及其衍生物四。
白及的化学成分研究
二苯乙基类化合物又称联卡类化合物,是具有 1,2-二苯乙基骨架的单体或聚合体,联类化合物的母核结构虽然简单,但是因为苯环及连接苯环的桥键取代基的多样变化使其结构也具有多种类型并具有一定的柔性。

联某类化合物可以分为简单联类和双联芊类两大类。简单联某类大多都是苯环或 (和) 连接苯环的链桥上有简单的甲基、甲氧基、轻基或卤素氯等的取代基,有时也会连接有糖基或异戊烯,双联芊类化合物一般都是简单联某类化合物的二聚体中。
联某类化合物具有神经保护作用、抗菌活性、抗炎活性、细胞毒活性等多种药理活性口.菲类化合物,是一种芳香代谢物,由顺式二苯乙烯或二苯乙基经脱氢环合形成的一类酚性化合物,除了这些由二苯乙烯或二苯乙基衍生的化合物外,其他的菲可能来源于二酷前体。
天然菲多以单体的形式出现,在许多情况下存在轻基和/或甲氧基取代,化合物也可以是 9、10-二氢或脱氢衍生物,这些化合物可分为单体菲、9,10-二氢菲二聚菲、三菲及菲类衍生物,国内外已有多篇文献报道菲类化合物具有如抗肿瘤作用、抗炎作用、抗氧化和抗焦虑作用等多种药理活性。

通过多种现代色谱分离技术,从白及干燥块茎 95%乙醇提取物的乙酸乙萃取部分分离得到 30 个化合物 (1-30),通过理化常数测定并结合质谱和核磁共振等方法鉴定了 30 个化合物的结构,其中化合物 1为新化合物,化合物 10-13、15、23、25-30(共 12 个) 为首次从白及中分离得到。
化合物的结构鉴定与分析
化合物1
淡黄色粉末,根据高分辨 HR-ESI-MS 得到准分子离子峰 m/z:515.16766 [M+Na]+ ( 计算值: 492.17787),推测化合物 1的分子式为:C28H2808,计算不饱和度为 15。UV 图谱给出最大吸收波长为: 230.0 nm,285.0 nm,说明该化合物含有芳香基团。

由H-NMR 图谱(600MHz.MeOH-d4)可知化合物 1有六个芳香质子信号: [8h 8.06(1H,s,H-4),6.70(1H,S,H-1),6.68(2H,S,H-2',6',6.41(1Hd,J=1.8Hz,H-6),6.32(1H,d,J=2.4 Hz,H-8)],一个连氧次甲基信号: [8H5.41(1H,d,J=6.6 Hz,H-11)],一个连氧亚甲基信号: [8H 4.40(2H,m.H-13)],三个单峰甲氧基质子信号: [8 3.83(3H,s,5-0Me),3.83(6H,s.3',5'-0Me)],一个次甲基质子信号: [8 3.71(1H,9,J=6.0 Hz,H-12)]。
两个亚甲基信号: [8h 2.68(2H,m,H-9),2.65(2H,m,H-10)],,一个单峰甲基信号: [8 2.05(3H,s,Acetyl Me)]。13C-NMR 图谱(150MHz,MeOH-d4)结合 DEPT 谱提示该化合物共有 28 个碳信号。
其中 1个连氧乙基信号:[8c 172.8(s),21.0(q)],18个sp杂化碳信号归属为三个苯环信号:
[c159.3(s),158.9(s),157.9(s2x149.5(s),142.1(s),140.8(s), 136.7(s)133.7(s),127.8(s),125.4(d3 个甲氧基信号: [8c 2x56.9(q),56.1(q),],2 个 sp杂化亚甲基信号: [8c 31.9(t),31.7(t)],1 个连氧亚甲基信号: [8c 67.3(t)],1 个连氧次甲基信号: [8c 89.4(d)],1 个次甲基信号: [8c 52.0(d)]。综合以上数据分析并将其波谱数据与文献中的化合物 ( Bletilols C) 对比。
发现化合物 1"比 Bletilols C多了一个对称的 1.3.4.5-四取代苯环信号和甲氧基信号,少了一个 1,2,4-三取代苯环信号,推测化合物 1"为 Bletilols C的 5'甲氧基化衍生物。进一步通过 HMBC图谱可知,H-1(8. 6.70)与C-2(8c 158.9)和C-10(6c31.7)相关,H-4(8 8.06)与C-5(8c 159.3)和 C-5a(8c 116.9)相关,H-6(8 6.41)与C-5a(8c 116.9)和 C-7(8c 157.9)相关,H-8(8 6.32)与 C-7( 157.9)和C-9(8c31.9)相关可知化合物1具有一个二氢菲骨架结构。
H-13(8. 4.40)与C-3(c 125.2)相关可知该化合物具有一个毗喃环结构并稠合在二氢菲骨架上。

H-12(6H3.71)与C-1'(6c 133.7)相关,H-68. 6.68)与C-11(8 89.4)和C-12 ( 8c 52.0) 相关可知有一个对称的1,3,4,5-四取代苯环连接在二氢菲毗喃环的C-12位上。5-0Me(8 3.83)与 C-5(8c 56.1)相关说明 OMe[n3.83(3H,s),c 56.1(g)连接在 C-5上,3'/5'0Me(8H 3.83)与 C-3'/5'(6c 56.9)相关说明OMe[83.83(3H,s),c 56.9(g)]连接在C-3'、5上。
从而证实化合物1为Bletilols C的C-5'甲氧基化二氢菲叱喃衍生物,根据以上数据分析,化合物1"的平面结构已经确定。从H-11和H-12的偶合常数 (J=6.6/6.0Hz)可知连氧乙既基和3',5'-二甲氧基-4'轻基苯基的相对立体化学为反式最终将化合物1命名为: Bletilore A。
化合物2
淡黄色粉末,分子式为 C28H2808,'H-NMR 图谱(600MHz,MeOH-d4)可知化合物 2 有一组典型的 1,2,4-三取代的 ABX 系统芳香质子信号:
[H7.99(1H,d,J=9.0 Hz), 6.63(1H,dd,J=2.4, 9.0 H2), 6.62(1H,d,J=3.0 Hz)]三个孤立芳香质子信号: [8 6.59(2H,s),6.56(1H,s)],一个连氧亚甲基质子信号: [8H 4.43(1H,dd,J=4.2,10.2 Hz), 4.13(1H,dd,J=8.7,11.1 Hz)]两个亚甲基质子信号: [8h 2.63(2H,m),2.62(2H,m)],一个连氧次甲基质子信号: [6. 5.54(1H,d,J=3.6 Hz)],一个次甲基质子信号: [8 3.66(1H.m)],一个甲基信号: [8h2.04(3H,s)],三个单峰甲氧基信号: [8 3.84(3Hs),3.79(6H,s)]。

13C-NMR 图谱(150MHz,MeOH-d4 )结合 DEPT 谱显示该化合物共有 28 个碳信号,1 个连氧乙酷基信号: [8c 172.8(s),21.0(q)],12 个季碳信号: [8c 160.7(s),159.8(s),156.4(s),2x149.5(s),140.4(s),137.9(s),136.5(s),134.4(s), 126.1(s),118.3(s),115.8(s)],其中 6 个连氧季碳信号: [8c 160.7(s),159.8(s),156.4(s),2x 149.5(s),126.1(s)]。
8 个次甲基碳信号: [8c 93.9(d),130.4(d),113.8(d),115.1(d),51.4(d),2x 103.7(d)]其中一个连氧次甲基信号: [8c 89.2(d)]。1 个连氧仲碳信号: [8c 67.2(t)]2 个仲碳信号: [8c 28.1(t),30.9(t)],3 个连氧伯碳信号: [8 56.3(q)2x56.9(g)]。
综合以上数据分析,推测化合物 2 为二氢菲毗喃衍生物,综上,化合物 2 的平面结构已经确定。从 H-11 和 H-12 的偶合常数(J=3.6HZ)可知连氧乙既基和 3'.5'-二甲氧基-4'-基苯基的相对立体化学为顺式根据以上数据分析,与文献tsr-已报道化合物( Bletilol A) 波谱数据对比
发现数据基本一致。因此可以确定化合物 2为: Bletilol A。上述新化合物 1和已知化合物 2为一组互为同分异构体的化合物。
化合物3
淡黄色粉末,分子式为 C27H60,H-NMR 图谱(600MHz,MeOH-d4)可知化合物3有七个芳香质子信号:
[8m 8.01(1H,d,J=9.0 Hz),6.87(1H,s).6.76(2H,s),6.63(1H,s),6.62(1H,d,J=2.4Hz),6.56(1H,s)],一个连氧次甲基信号: [8m 5.56(1H,d,J=3.6 H)]一个连氧亚甲基质子信号: [8H4.44(1H,dd,J=10.8,4.2 Hz), 4.15(1H,dd,J=11.1,8.7 Hz)]。
两个甲氧基信号:[8. 3.86(3H,s),3.80(3H,s)],一个次甲基质子信号:[8 3.67(1H,m)]两个亚甲基质子信号: [8h 2.70(2H,m),2.62(2H,m)],一个甲基信号: [8H2.05(3H,s)]。

13C-NMR 图谱(150MHz,MeOH-d4 )结合 DEPT 谱显示该化合物共有 27 个碳信号,1 个连氧乙酷基信号: [8c 172.9(s),20.9(t)],11个季碳信号: [8c 160.7(s),159.9(s),156.4(s),149.3(s),147.7(s),140.4(s).137.9(s),135.1(s),126.1(s),118.3(s),115.8(s)],9 个次甲基信号 :
[c130.4(d),119.3(d),116.4(d),115.1(d),113.8(d),110.1(d),94.0(d),89.1(d)51.2(d)],2 个亚甲基信号: [8c 30.9(t),28.1(t)],1 个连氧亚甲基信号: [8c67.2(t)],2 个甲氧基信号: [8c 56.5(q),56.3(q)]。将其波谱数据与化合物2 的数据对比发现,化合物 3 中存在一个 1,2,4-三取代苯环信号,少了一个1,2.3.5-四取代苯环信号和一个甲氧基信号,推测化合物 3 为化合物 2 的C-2质子化的二氢菲呲喃衍生物。
综上,化合物 3的平面结构已经确定从 H-11 和 H-12 的偶合常数 (J3.6 Hz) 可知连氧乙基和 3'甲氧基-4'-轻基苯基的相对立体化学为顺式,将其与文献.报道的化合物( Bletilol B) 对比,波谱数据基本一致。鉴定化合物3为: Bletilol B。
化合物4
淡黄色粉末,分子式为: C3oH2606,H-NMR 图谱(600MHz,MeOH-d4)可知化合物 4 有两个 1,2,4-三取代的 ABX 系统的苯环质子信号:
[H8.04(1H,d,J=8.4 Hz), 6.63 (1H, m),6.60 (1H,d,J=2.4 Hz)]和 8.09(1Hd,J=8.4 Hz),6.66(1H,d,J=2.4 Hz) ,6.64 (1H,m)],两个单峰芳香质子信号:[8n 6.62(1H,s),6.58(1H,s)],两个甲氧基信号:[8 3.89(3H,s),3.26(3Hs)],两组亚甲基质子信号: [ 2.72(4H,m)] 和[6 2.55(2H,m),2.45(2H.m)]。

进一步分析 13C-NMR 图谱(150MHz,MeOH-d4)结合 DEPT 谱可知该化合物共有 30 个碳信号,24 个 sp2 杂化碳归属为四个苯环信号 :[8c100.0-160.0],其中 10 个季碳信号: [8c 141.8(s),141.4(s),141.0(s).140.9(s),126.3(s), 120.9(s),118.4(s), 117.5(s), 129.6(d), 112.1(d)],8 个质子化碳信号:
[6c 99.3(d),130.5(d),113.6(d),114.8(d),114.1(s),129.6(d).114.4(d),115.4(d)],6 个连氧季碳信号: [ 155.6(s),158.6(s),156.2(s).155.6(s),158.1(s),156.7(s)]。
2 个甲氧基碳信号: [8c 56.0(g),59.9(g)],4个 sp; 杂化亚甲基信号:
[8c31.1(t),28.8(t),31.4(t),31.7(t)]。综合以上数据分析,推测化合物 3 为一个以 4 个轻基 2个甲氧基取代的非对称的二聚二轻基二氢菲衍生物。
将其与已报道文献化合物 ( Blestrianol A) 波谱数据对比,发现数据基本一致。因此可以确定化合物 4 为 Blestrianol A。
化合物5
白色粉末,分子式为: C3oH2606,H-NMR 图谱(600MHz,MeOH-d4)可知化合物 5 中有一个明显的 1,2,4-三取代苯环的 ABX 系统信号:
[8H8.04(1H,d,J=8.4 Hz),6.63(1H,dd,J=2.7,8.7 H), 6.60(1H,d,J=3.0 Hz)]一个 1,2,3,5-四取代苯环的信号: [8 6.37(1H,d,J=2.4 Hz),6.32(1H,d.J=2.4 Hz)],三个单峰芳香质子信号: [8n 7.88(1H,s),6.77(1H,s),6.57(1Hs)] ,两个甲氧基信号: [6 3.88(3H,s),3.72(3H,s)],两组亚甲基质子的多重信号: [8. 2.71(4H,s)]和[ 2.54(2H,m),2.9(2H,m)]。

13C-NMR 图谱(150MHz,MeOH-d, )结合 DEPT 谱可知该化合物共有 30 个碳信号,24个 sp2 杂化碳归属为四个苯环 :
[8c159.3(s),158.4(s),157.8(s),156.3(s),155.2(s),154.0(s),142.1(s),141.5(s),141.1(s),140.1s),126.7(s),126.5(s).122.4(s), 118.5(s), 117.8(s), 117.0(s), 133.0(d), 130.6(d), 115.7(d), 114.9(d),113.6(d),108.6(d),99.5(d),99.5(d)]] ,2 个甲氧基信号 : [c 56.2(g)56.2(g)],4 个 sp; 杂化亚甲基碳信号: [8c 31.3(t),29.1(t),31.2(t),32.0(t)]综合以上数据分析推测化合物 5 为一个以 4 个轻基 2个甲氧基取代的非对称的二聚二氢菲衍生物。
将该化合物数据与已报道文献化合物( Gymconopin C) 数据对比。化学位移差值8c <2 ppm,数据基本一致,因此可以确定化合物 5为: Gymconopin C。
化合物6
淡黄色粉末,分子式为: C3oH2606,H-NMR 图谱(600MHz,MeOH-d4)中有三个芳香质子信号: [6. 8.04(1H,d,J=8.4 Hz),6.62(1H,dd,J=2.7,8.7Hz),6.59(1H,d,J=1.8 Hz)]为苯环的 1,2,4-三取代的 ABX 系统,一个单峰质子信号 : [8. 6.57(1H,s)],两个亚甲基信号 :
[8 2.54(2Hm),2.35(2H,m)]。13C-NMR 图谱(150MHz,MeOH-d4)中出现 15 个信号比较强的碳信号。高场区除了8c 56.1 处的甲氧基外,还有两个 sp; 杂化碳信号:[8c 31.2(t),28.4(t)],12 个 sp2 杂化碳信号:

[c158.6(s),156.2(s),155.6(s).141.8(s),140.9(s),126.7(s),117.6(s),115.8(s),综合以上数据分析推测化合物 6为一个高度对称的二聚二轻基二氢菲衍生物。将其波谱数据与文献化合物 ( Blestriarene A) 对照。
最终鉴定化合物 6为: Blestriarene A。化合物 4、5 和 6为一组互为同分异构体的化合物。
化合物7
黄色粉末,分子式为: C22Hi8Os,H-NMR 图谱(600MHz,MeOH-d4)中可知化合物 7有一个典型的 1,2,4-三取代的苯环 ABX 系统信号: [8H8.01(1H,d,J=9.0 Hz), 6.63(1H,dd,J=2.7, 8.7 Hz), 6.59(1H,d,J=3.0 Hz)]一个对二取代的 AA'系统信号:
[8.7.72(2H,d,J=8.4 Hz),6.82(2H,d.J=9.0 Hz)],一个孤立的芳香质子信号: [6 6.52(1H,s) ],一个单峰甲氧基信号: [8h 3.89(3H,s)],两个亚甲基质子的多重信号:

.2.52(2H,m)]和[8. 2.40(2H,m)]。13C-NMR 图谱(150MHz、MeOH-d4)结合 DEPT 谱提示该化合物共有 22 个碳信号,在低场区有 1个明显的共扼基碳信号:[8c 199.8(s)],10 个季碳信号: [8c 100.0-160.0],其中 4 个连氧季碳信号:[c 164.7(s),155.2(s),159.7(s),156.6(s)]。
8 个次甲基碳信号: [2x133.6(d),130.6(d),2x116.5(d),114.9(d), 113.8(d),99.1(d)],1 个甲氧基信号: [8c 56.1(g)],2 个亚甲基碳信号: [8c 30.8(t),28.8(t)]。
综合以上数据分析,并与文献报道的化合物波谱数据对比,鉴定化合物 7为:2,7-dihydroxy-1-(p-hydroxybenzoyl)-4-methoxy-9
化合物8
白色粉末,分子式为: C22H2004,将该化合物的波谱数据与化合物 7进行对比,发现两者的波谱数据具有很大的相似性,唯一的区别在于化合物 8 中缺少了共钜基碳的信号 :
[8c 199.8(s)],多了一个亚甲基信号:[83.92(2H,s)],C-1 位和 C-2 位分别向高场移动了 2个 ppm [c 120.4 -118.5]和 6个 ppm [8c 164.7 - 157.3]。

推测可能是化合物 7中的 C-11 位发现了改变,即化合物 8 中的亚甲基取代了 7的基,将其波谱数据与文献”对照并证实了上述猜测。
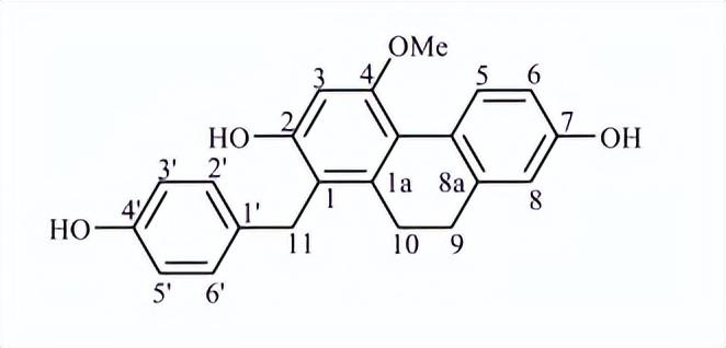
鉴定化合物8为:l-(p-hydroxybenzyl)-4-methoxy-9,10- dihydrophenanthrene-2,7-diol.。
结语
后期仍需要大量工作来对两个或多个化合物进行配方式筛选,或者结构修饰,探究其构效关系,以期发现该药用植物的活性部位以及有价值的新药先导化合物。