1 前文回顾
本系列的前篇从布朗运动出发,介绍了布朗运动的性质并解释了为什么使用几何布朗运动来描述股价是被投资界广泛接受的。此外,前文给出了伊藤引理的最基本形式,它是随机分析的基础,为分析衍生品定价提供了坚实的*器武**。
作为本系列的后篇,本文将从扩展伊藤引理出发,并用它求解几何布朗运动,然后推导 BS 微分方程以及 BS 公式(也称 Black-Scholes-Merton 公式)。在介绍 BS 公式时,论述的重点会放在衍生品定价中的一个核心方法,即风险中性定价理论。此外,我们会花一定的笔墨来解释 BS 公式中的两个核心要素(即 N(d_1) 和 N(d_2) 的业务含义),明白它们对理解 BS 公式至关重要。
阅读提示:下文中将涉及大量数学公式,对阅读体验造成影响,我们表示歉意。我们当然不是在写学术论文,但是必要的数学推导对于理解期权定价模型至关重要。如果你对阅读大数学实在不感兴趣,可以跳过第二、三两节,从第四节开始看。
在那之前,先来点轻松的,看看 Black,Scholes 和 Merton 三位大咖长什么样子。Scholes 和 Merton 因在衍生品定价方面的杰出工作于 1997 年获得诺贝尔经济学奖。Black 没有在列的原因是他不幸地于 1995 年去世,而诺贝尔奖不追授给颁奖时已故 6 个月以上的学者。

2 伊藤引理的一般形式
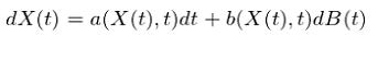
在前篇中,我们介绍了带有漂移(drift)和扩散(diffusion)的布朗运动有如下形式的随机微分方程。在这里,μ 和 σ 被假定为常数。

更一般的,漂移和扩散的参数均可以是随机过程 X(t) 以及时间 t 的函数。假设我们令 a(X(t),t) 和 b(X(t),t) 表示漂移和扩散参数(则在上面这个例子中,a(X(t),t) = μ 而 b(X(t),t) = σ)。我们称满足如下随机微分方程(stochastic differential equation,或 SDE)的随机过程为伊藤漂移扩散过程(Itō drift-diffusion process,下称伊藤过程):

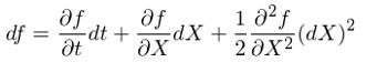
令 f(X(t), t) 为 X(t) 的二阶连续可导函数(并对 t 一阶可导),由伊藤引理可知(省略自变量以简化表达):

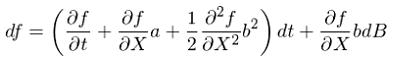
将 dX = a(X(t),t)dt + b(X(t),t)dB 带入上式,并且略去所有比 dt 更高阶的小量,最终可以得到伊藤引理的一般形式:

由 f 的 SDE 可知,作为 X 和 t 的函数,f 本身也是一个伊藤过程。更重要的是,伊藤引理说明,df 表达式右侧的布朗运动 dB 恰恰正是 dX 表达式中的那个布朗运动。换句话说,在 f 和 X 的随机性由同一个布朗运动决定,而非两个独立的布朗运动。这一点在下文中推导 BS 微分方程时至关重要。
下面我们就利用伊藤引理求解几何布朗运动。
3 几何布朗运动求解
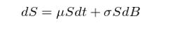
对于股票价格 S,可以用满足如下 SDE 的几何布朗运动来描述。

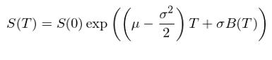
上式中 μ 是股票的期望年收益率,σ 是股票年收益率的标准差。显然,这是一个伊藤过程(a = μS,b = σS)。为了求解 S,令 f = lnS(S 的自然对数)并对 df 使用伊藤引理(注:为了保持符号和前篇的一致性,我们用 S 而非 X 代表股票价格的随机过程)得到 lnS 的 SDE:

这个式子说明,lnS 是一个带漂移的布朗运动,它的漂移率为 μ – 0.5σ^2,波动率为 σ。由布朗运动的性质可知,在任何时间 T,lnS 的变化符合正态分布:

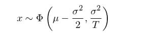
如果一个随机变量的对数满足正态分布,我们说这个随机变量本身满足对数正态分布(lognormal distribution)。因此,当我们用几何布朗运动来描述股价波动时,得到的股价满足对数正态分布。
通过对 lnS 的 SDE 两边积分,再对等式两边取指数,便可很容易的写出股价随时间变化的解析式:

上式乍一看好像有悖于我们的直觉。我们已知股票的年收益率期望为 μ。但在上式中,抛开 B(T) 带来的随机性不谈而仅看时间 T 的系数,股价的增长速率是 μ – 0.5σ^2 而不是 μ。这意味着什么呢?数值 μ – 0.5σ^2 又是否是什么别的收益率呢?
正确答案是,μ – 0.5σ^2 恰恰是股票每年的连续复利期望收益率。利用股价 S 的对数正态特性可以说明这一点。假设 x 代表股票每年的连续复利收益率。因此有 S(T) = S(0)e^(xT),或 x = (1/T)×(lnS(T) - lnS(0))。由上面的分析可知,lnS(T) – lnS(0) 符合均值为 (μ – 0.5σ^2)T、方差为 (σ^2)T 的正态分布。因此每年的连续复利收益率 x 也是正态分布并且满足:

直观比较股票的每年期望收益率 μ 和每年连续复利期望收益率 μ – 0.5σ^2,后者考虑了波动 σ,它们的区别就是年收益率序列算数平均值和几何平均值的区别。
来看一个例子。假设某股票在过去五年的年收益率分别为 15%,20%,30%,-20% 和 25%。这个序列的算数平均值为 14%,因此该股票的每年的(样本)期望收益率 μ = 14%。再来看看它每年连续复利期望收益率是多少。假设我们在五年前花 100 块买入它并持有 5 年,那么在 5 年后我们的回报是 100×1.15×1.20×1.30×0.80×1.25 = 179.4。因此每年(样本)连续复利期望收益率(即这个收益率序列的几何平均值)为 12.4%,显然它低于算数平均值。
4 Black-Scholes 微分方程
本节介绍 Black-Scholes 期权定价微分方程。细心如你一定已经发现了,“随机”两个字被拿掉了,而 BS 方程是一个微分方程,说明它不再具备任何随机因素,这是喜闻乐见的,因为没有多少人喜欢随机性。读完本节你就会明白这是为什么。
首先来看推导 BS 微分方程时用到的假设:
- 期权的行权方式为欧式,即只有到期日才可以行权。
- 股票的价格符合几何布朗运动,即股票的不确定性满足对数正态分布。
- 可以做空证券,且证券可以被分割(如可以买卖半手股票)。
- 市场无摩擦,即不存在交易费用和税收。
- 在期权期限内,标的股票不支付股息。
- 在期权期限内,标的股票年收益率的标准差 σ 已知且保持不变。
- 市场不存在无风险套利机会。
- 标的资产交易是连续的(如股票市场始终开市)。
- 短期无风险利率(由 r 表示)为常数并已知。
显然,有些假设在真实交易中是不可能出现的,但是在确定期权的理论价值时,这些假设还是普遍被接受的。当然,自 BS 模型发明以来,衍生品定价也有了长足的发展。很多改进的模型相继被提出,用于修正 BS 模型中各种假设。下面以欧式看涨期权(European call option)为例介绍 BS 微分方程。
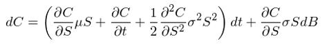
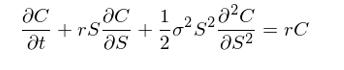
令 C 代表欧式看涨期权的价格,显然它是标的股票价格 S 和时间 t 的函数,记为 C(S, t)。对 C 运用伊藤引理可得:

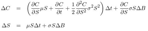
让我们来看看在一个微小的时间区间 Δt 内股价 S 和期权价格 C 如何变化。为此,将 S 和 C 的随机微分方程离散化:

在本文第二节我们曾经强调过,一个伊藤过程 X 的函数 f 也是一个伊藤过程,且 f 和 X 这两个随机过程中的不确定性来自同一个布朗运动。根据这个性质可知,股价和期权价格的变化,即 ΔC 和 ΔS 中,的布朗运动也是同一个。认识到这一点是非常关键的,因为我们可以使用股票和期权来构建一个投资组合把这个布朗运动完全干掉。考虑下面这个投资组合:

该组合做空 1 份期权,并做多 ∂C/∂S 份股票。将期权和股票的权重带入 ΔC 和 ΔS 可以很容易的验证,布朗运动 ΔB 被完美的对冲掉了。这种构建投资组合以消除随机性的方法称为 Delta 对冲。
用 P 表示该投资组合的价值,则它在时间 Δt 内的变化为:

不出意外,ΔB 不存在于 ΔP 的表达式中,它仅有一个时间项。换句话说,通过卖出 1 份期权并同时买入 ∂C/∂S 份股票,我们在 Δt 内完美的消除了任何风险,构建了一个无风险的投资组合。在不存在无风险套利的市场中,该投资组合在 Δt 内的收益率必须等于无风险收益率 r,即 ΔP = rPΔt。将 ΔP 和 P = -C + (∂C/∂S)S 带入该式并进过简单的代数运算就推导出:

这便是大名鼎鼎的 Black-Scholes 微分方程。由于我们通过 Delta 对冲消除了随机性,该方程中没有任何随机变量,所以它是一个一般的(偏)微分方程,而非随机微分方程。求解这个微分方程需要给定的边界条件。对于欧式看涨期权,它的边界条件为当时间 t = T(行权时刻)时,期权的价格 C 必须满足 C = max(S(T) - K, 0),这里 K 是行权价格。
最后引用衍生品研究领域的著名学者约翰 • 赫尔(John C. Hull)在其著作 Options, Futures, and Other Derivatives 中的一段话来总结 BS 微分方程的推导过程:
"我们之所以可以建立无风险交易组合是由于股票价格与期权价格均受同一种不定性的影响:股票价格的变动。在任意一段短时期内,衍生产品的价格与股票价格有完美的相关性;在建立了一个适当的股票与期权的组合后,由股票所带来的盈亏总是可以抵消由期权所带来的盈亏。这样一来,交易组合在一个短时间内的价值变化也就成为已知而没有不确定性。"
5 风险中性定价理论
其实,使用给定的边界条件求解 BS 微分方程就可以得到欧式看涨期权的价格 C。然而,在衍生品的定价理论中还有一个非常重要的方法怎么强调都不为过,这就是风险中性定价理论(Risk-neutral valuation)。使用风险中性定价可以绕过求解 BS 微分方程,更加方便的求出 C。
仅仅看到这里也许你会误解:既然不用求解BS微分方程,那么费那么大力气推导它干什么?
然而,风险中性定价理论恰恰来自 BS 微分方程中的一个关键性质:
" BS 微分方程不涉及任何受投资者风险偏好影响的变量,在方程中出现的变量包括股票的当前价格、时间、股票价格波动率和无风险利率,而它们均与风险选择无关。"
从 BS 微分方程可知,标的股票的期望收益率 μ 没有出现在方程中。显然,μ 与投资者的风险偏好有关:投资者对风险的厌恶程度越高,对任何股票,相应的 μ 也会越高。可喜的是在采用 Delta 对冲构投资组合并推导 BS 微分方程时,μ 也正好消失了!我们通过 Delta 对冲想要干掉布朗运动,结果发现不仅布朗运动被干掉了,连 μ 也一起被拿下了,这真是一个 happy accident!
既然风险偏好在方程中不出现,那么意味着它的任何取值都不会影响方程的解。因此,在计算 C 时,我们可以使用任意的风险偏好,那么显然我们想要一个最简单的,即假设所有的投资者都是风险中性的。
对于任何衍生品定价来说,我们无外乎需要知道以下两点:
- 在到期(行权日)时它的期望价格。由于衍生品的价格是标的价格的函数,这显然和标的投资品的收益率参数 μ 有关。
- 我们需要根据衍生品在行权日的价格推算出在当前时刻该衍生品的价格,这意味着必须知道适合于该衍生品的折现率。
不幸的是,在现实世界中,这两个参数都很难被准确的估计。因此能够假设风险中性对于衍生品定价至关重要。正如约翰 • 赫尔所论述的那样:
"在每一个投资者都是风险中性的世界里,所有投资的回报率期望均为无风险利率 r,原因是对风险中性的投资者而言,不需要额外的回报而使他们承受风险。另外,在一个风险中性世界里,任何现金流的现值都可以通过对其期望值以无风险利率贴现来得到。因此,在假设世界是风险中性时能够大大地简化对衍生产品的分析。"
利用风险中性定价原理对衍生品定价的过程如下:
- 假定标的资产的收益率期望为无风险利率(即假定 μ = r);
- 计算衍生产品到期时收益的期望;
- 用无风险利率 r 对衍生品收益期望进行贴现。
风险中性定价是获得期权定价公式的一个人为工具,但它所得到的解不仅在这个虚拟的风险中性世界中成立,而且在所有世界里(自然也就包括真是世界)也都是成立的。当我们从风险中性世界换到风险厌恶世界时,两件事会发生:股票价格变动的增长率期望以及对衍生产品收益所必需使用的贴现率都将会变化,而这两种变化刚好相互抵消。
下一节将会介绍如何使用风险中性定价理论求解欧式看涨期权的价格 C。
6 Black-Scholes 期权定价公式
欧式看涨期权在行权日 T 的期望价值为 E[max(S(T) – K, 0)],其中 S(T) 为股票在 T 时刻的价格,K 为行权价。股价 S 满足对数正态分布,在风险中性定价理论下,S 的期望收益率为无风险收益率 r,且期权的折现率也等于无风险收益率 r。因此,期权在当前时刻的价格 C 为:

根据对数正态分布的性质可以方便的计算出 E[max(S(T) – K, 0)],从而得到著名的 BS 期权定价公式(同时给出看涨期权价格 C 和看跌期权价格 P):

根据公式并利用计算机,只要输入五个变量——当前股价 S(0)、行权价格 K,行权日距现在的时间(按年计算)T,无风险收益率 r,以及标的股票的年收益率的标准差 σ ——就可以计算出欧式看涨(看跌)期权的理论价格,这无疑非常方便。然而我们需要了解定价公式背后的含义。
对于任何一个期权,在定价时有两个不确定性需要考虑:
- 这个期权到行权日到底是不是实值期权(in-the-money),就是到底有没有行权的价值(比如说我买了一个看涨期权,但是行权日股价 S 低于 K,那么这个期权就没有价值)。
- 如果行权了,那么我们的(期望)收益到底能有多少(比如行权价是 100,在行权日股价是 110,那么每股我们能赚 10 块;而如果股价是 120,则每股我们能赚 20 块)。
这两个不确定性恰恰就对应着由 BS 定价公式中的 N(d_1) 和 N(d_2)。
以看涨期权为例来解释这一点。在 BS 公式中,N 代表了标准正态分布的累积密度函数,因此 N(d_1) 和 N(d_2) 就代表两个概率。其中,N(d_2) 正是在风险中性世界中期权被行权的概率,即 prob(S(T) > K)。因此 C 公式中的第二项 Ke^(-rT)N(d_2) 就是在当前时点、考虑了行权概率后的行权费的期望(即为了在T购买股票所需的期望成本)。
至于 N(d_1),对于它的理解远没有 N(d_2) 直观。先抛开 N(d_1) 不说,而来看看 C 公式中的第一项。由于第二项代表着期望成本,那么第一项必然代表着行权得到股票的期望收益。由于只有 S(T) 大于 K 才会行权,因此在行权的条件下,股票在行权时的期望价值是一个条件期望,即 E[S(T) | S(T) > K]。用这个条件期望乘以行权的概率 N(d_2) 再把它折现到今天(乘以 e^(-rT))就应该是 C 公式中的第一项。因此有:

将 S(0) 替换为 e^(-rT)E[S(T)] 并带入上式可知:

由于 E[S(T) | S(T) > K] > E[S(T)],因此 N(d_1) > N(d_2)(这从 d_1 大于 d_2 且 N 是单调增函数也可以验证)。根据这个关系,我们可以把 N(d_1) 理解为风险中性世界中、按照股票价格加权的行权概率。这是因为和固定的行权成本 K 不同(K 是独立于股价 S 的),收益和股价之间不是独立的。
N(d_1) 在数学上还有另外的解释,它是“以股票波动率 σ 为市场风险定价,并在以股票为计价单位时,期权被行权的概率”。如果你觉着这句话是天书也没有任何问题,因为要解释它需要涉及到测度变换、等价鞅、以及计价单位变换等高深的数学知识。这些显然超出本文的范畴。
如果我们使用 C 的公式对 S 求偏导数,那么不难发现 N(d_1) 恰恰等于 ∂C/∂S。因此在现实中,投资者把 N(d_1) 理解为看欧式涨期权价格 C 对标的股票价格 S 的变化的敏感程度。
看到这里,也许你会发问:BS 定价公式仅仅给出了一个基于各种严格假设的理论价格,它在现实中到底有没有用?真的会有人因为理论价格和实际交易价格不同来构建策略并且赚钱吗?
BS 定价公式的核心价值在于它构建了一个数学模型,以此我们可以求出期权的各种风险敞口,这对于将期权(或任何衍生品)作为配置资产的投资者至关重要。由 BS 公式出发可以方便的求出期权价格对标的资产、时间、利率、波动率的偏导数,从而确定期权在这些因素上的风险敞口。在投资中,常用的风险敞口有五类(通常用希腊字母来表示),它们是:

我们会在后续的文章中进一步介绍这些风险敞口。
除此之外,BS 公式的另一个核心作用是计算标的资产的隐含波动率。在 BS 公式中,除去 σ 之外的输入参数的取值都比较确定,唯有 σ 可能会随着使用者的不同而不同。根据期权的实际交易价格,可以利用 BS 公式反推出标的波动率 σ,称为隐含波动率,这往往代表着市场对于标的资产风险的普遍观点。隐含波动率最有名的应用大概是芝加哥交易所针对标普 500 指数,利用未来 30 天的看涨和看跌期权计算的 VIX 指标,又称为恐慌指数。它被投资者广泛参考。
7 小结
和本系列前篇一样,再次恭喜你看到这里……下面,让我们来简单总结一下本文都说了点啥。
本文首先定义了伊藤过程,并给出了伊藤引理的一般形式,通过它可以方便的写出伊藤过程的函数的随机微分方程。伊藤引理说明伊藤过程的函数也是一个伊藤过程,且它的随机性和原始的伊藤过程来自同一个布朗运动,这对于推演 BS 微分方程至关重要。
利用伊藤引理,可以很容易的求解几何布朗运动,从而得到股价的描述模型。在几何布朗运动的假设下,股价满足对数正态分布,这也是 BS 定价模型的假设之一。在股价模型中,年收益率期望和连续复利收益率期望是两个不同的概念,它们的区别相当于收益率序列的算数平均值和几何平均值的区别。
最后利用 Delta 对冲,利用标的股票和期权构建投资组合从而完美的消除了布朗运动的随机性,从而得到了 BS 微分方程,这是衍生品定价的基础。此外,在 Delta 对冲下,和投资者风险偏好相关的参数 μ 也从 BS 方程中消失了。由此引出了衍生品定价中的一个非常重要的方法:风险中性定价理论。根据该理论求出了欧式期权的价格,并以看涨期权为例解释了价格表达式中每一项的业务含义。文章最后介绍了 BS 公式在实际投资中的核心作用:它可以量化期权的各种风险敞口,这对于配置期权的投资者至关重要。