随着社会老龄化程度的不断加剧,痴呆及其他相关认知障碍的防控已成为全球公共卫生面临的巨大挑战。我国作为世界上老年人口最多的国家,现有痴呆患者1100多万,占全球痴呆患者总数的1/4。发现存在早期病理改变但尚无症状的临床前患者,是寻找痴呆有效治疗方式的关键。因此,研发精准、快捷、并易于在社区老年人群中广泛筛查的痴呆早期表型标志物是降低我国痴呆负担的重要手段。
2020年4月8日,复旦大学人类表型组研究院陈兴栋青年研究员团队、复旦大学附属华山医院神经内科丁玎研究员团队,以及人类表型组研究院分子表型代谢组平台唐惠儒教授团队在痴呆研究领域国际著名学术期刊《阿尔茨海默病与痴呆》(Alzheimer’s & Dementia)在线发表了题为“中国老年人群痴呆代谢组学研究”(Metabolomics and incident dementia in older Chinese adults: The Shanghai Aging Study)的合作研究成果。
该研究基于“上海老年研究”队列的1440名研究对象,利用核磁共振检测技术(NMR)对研究对象的基线血清进行全局性代谢组学检测,分析了代谢物水平与痴呆发生风险的关联。结果发现,血清中谷氨酰胺和O-乙酰糖蛋白水平升高与五年后痴呆发生风险正相关,而谷氨酸、酪氨酸、甘氨酸等5个氨基酸水平与痴呆发生风险负相关。
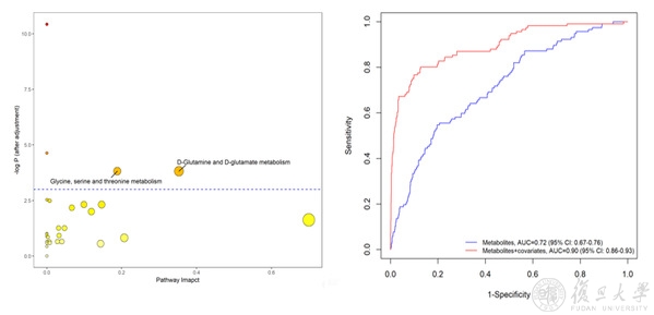
研究中,科研人员还通过富集分析发现痴呆前期谷氨酰胺/谷氨酸代谢,及甘氨酸/丝氨酸/苏氨酸代谢通路发生改变(图1左)。此外,研究团队利用套索回归(LASSO)筛选变量,并建立了痴呆的风险预测模型。根据筛选结果,五个血清代谢分子表型(柠檬酸、谷氨酸、谷氨酰胺、磷酸胆碱、酪氨酸)的组合预测痴呆风险的受试者工作特征曲线(ROC)下面积(AUC)为0.72,加上年龄与基线简易精神状态量表(MMSE)评分后,AUC提高到0.90(图1右)。
研究团队表示,该研究成果展示了利用代谢组学技术有望发现痴呆的血液早期诊断表型标志物,也为痴呆发病机制及干预治疗措施的研究提供了新的思路。

图1. 痴呆前期异常改变的代谢通路(左)与痴呆预测模型的ROC(右)
本研究得到了国家重点研发计划、上海市级科技重大专项等项目的支持。华山医院神经内科崔梅副教授和人类表型组研究院蒋艳峰博士为该论文的共同第一作者,陈兴栋青年研究员、丁玎研究员为论文的共同通讯作者。该研究还得到了金力院士、董强教授和唐惠儒教授等学者的指导和支持。
据悉,该研究依托国家老年疾病临床医学研究中心和复旦大学人类表型组研究院精密测量平台两大高水平科研创新平台协同开展。复旦大学人类表型组研究院目前已建成世界首个跨尺度、多维度的人类表型组精密测量平台,其中的分子表型代谢组平台可以对两千多种代谢小分子进行定量检测,为发现可用于疾病筛查的小分子生物标志物奠定了坚实的基础。复旦大学附属华山医院为国家老年疾病临床研究中心依托单位。于2009年建立了3800名社区老年人群的“上海老年研究(Shanghai Aging Study, SAS)”队列,并建成了相关临床资料库和生物样本库。该队列为应用前瞻性设计,研究老年认知障碍的危险因素、病因、疾病的发展与转归等提供了必要的条件和支撑。
原文链接:https://alz-journals.onlinelibrary.wiley.com/doi/10.1002/alz.12074
来源:人类表型组研究院
编辑:江丹婷