石峥嵘,消防资源网创始人,消防大讲堂主讲人,从业消防25年,参与近千项目设计施工,解答消防疑问数万条,极为资深的实践经验,结合深厚理论基础,汇集金典,奉献大家!
石峥嵘:消防车道转弯半径和消防车转弯半径,是不同的概念,怎样确定消防车道的最小转弯半径,纠结多年,始终没有解决!
建议方案 :消防车道供消防车应急使用,存在诸多不确定因素,实际应用中,有必要适当加大转弯半径,消防车道的转弯半径,可直接按消防车转弯半径确定:普通消防车的转弯半径为9m,登高车的转弯半径为12m,一些特种车辆的转弯半径为16m~20m。
特殊处理 :对于确有困难的特殊场所,依据《 车库建筑设计规范 》、《建规设计防火规范》等相关标准要求,消防车道最小转弯半径,参考建议如下:


注:全文供参考,具体应用尚需满足当地应急救援车辆要求!
一、消防车最小转弯半径:
1、消防车最小转弯半径(r1),即机动车最小转弯半径,是指机动车回转时,当转向盘转到极限位置,机动车以最低稳定车速转向行驶时,外侧转向轮的中心平面在支承平面上滚过的轨迹圆半径。(2.0.22)
机动车最小转弯半径表示机动车能够通过狭窄弯曲地带或绕过不可越过的障碍物的能力。
2、《建规》明确了消防车最小转弯半径(r1)要求:普通消防车的转弯半径为9m,登高车的转弯半径为12m,一些特种车辆的转弯半径为16m~20m。
二、机动车道路转弯半径:
机动车道路转弯半径,是指能够保持机动车辆正常行驶与转弯状态下的弯道内侧道路边缘处半径(2.0.27)。通常情况下,与环形车道最小内半径(r0)相关。
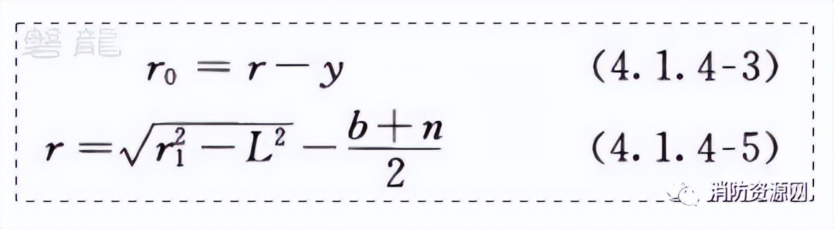
《车库建筑设计规范》4.1.4明确了机动车的环形车道最小外半径(R0)和内半径(r0)等尺寸要求及计算方法:

(图示1)
三、消防车道转弯半径:
消防车道转弯半径,即机动车道路转弯半径,与环形车道最小内半径(r0)相关,由《车库建筑设计规范》4.1.4可知,r0可依据r、r1、L、b、n、y等参数推算。
根据不同的消防车型参数,可推算出车道内半径(r0)要求,并可依据消防车道最小净宽度,确定车道外半径要求(R0)。

(图示2)
注:消防车道的净宽度不应小于4m,建筑高度大于250m的民用建筑不应小于4.5m。
四、消防车道最小转弯半径:
1、公式推导:
消防车道最小转弯半径可依据环形车道内半径(r0)确定,原则上,r0可依据《车库建筑设计规范》4.1.4进行推算,只需要找出消防车道可能通行的消防车参数,就可以确定环形车道内半径(r0),并以此确定消防车道最小转弯半径。

但是,消防车道供消防车应急使用,存在诸多不确定因素,实际应用中,转弯半径越大越好。以此为原则,我们可以简化计算公式,比如,可以忽略y值,认为r0=r,同时,可以假设轴距L=0,前轮距n=b,等等,依公式4.4.4-3、4.4.4-5,可推导消防车道最小转弯半径如下:
r0=r1-b
消防车道最小转弯半径≈消防车最小转弯半径(r1)-消防车宽度(b)
2、消防车道最小转弯半径的确定,
《建规》已明确消防车最小转弯半径要求,消防车宽度约为2.0~2.55m(大型消防车可按2.5m确定,小型消防车可按2.0m确定),依此,可初步确定消防车道的最小转弯半径要求:
普通消防车:9m-2m=7m
登高消防车:12m-2m=10m
部分特种车辆:(16m~20m)-2.5m=13.5m~17.5m

注:依《汽车、挂车及汽车列车外廓尺寸、轴荷及质量限值》(GB1589-2016)要求,消防车宽度最大限值为2.55m。