
数据与智能 本公众号关注大数据与人工智能技术。由一批具备多年实战经验的技术极客参与运营管理,持续输出大数据、数据分析、推荐系统、机器学习、人工智能等方向的原创文章,每周至少输出10篇精品原创。同时,我们会关注和分享大数据与人工智能行业动态。欢迎关注。
作者:stephenDC
在《Pattern Recognition and Machine Learning》一书的第2章第4节,作者Bishop对指数分布族进行了非常全面系统的讲解。
本文绝大部分都可以看做是原文的直接翻译,部分加入了自己的思考,有些公式推导可能与原文略有不同。本人自认不能写的更好,因此手头有这本书的读者朋友,建议去看原文。
我们为什么要研究指数分布族呢?
主要有两个原因:一是因为指数分布族所包含的各种概率分布非常常用;二是指数分布族具有很好的性质,非常好用。
下文先给出指数分布族的定义,然后举出指数分布族的三个常见的实例,最后说明指数分布族的极大似然估计、充分统计量、共轭先验和无信息先验等性质。
- 指数分布族的定义

- 三个实例
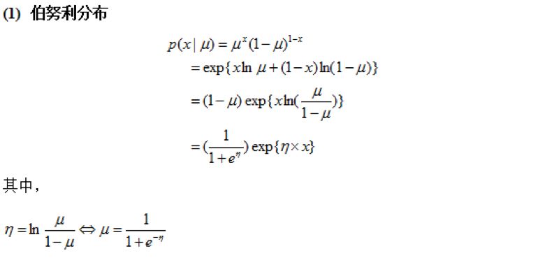
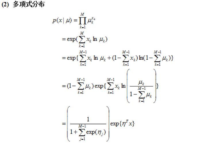
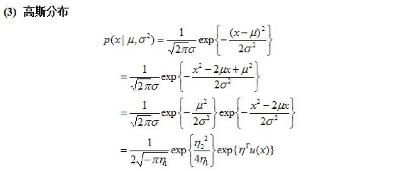
下面我们证明,伯努利分布,多项式分布和高斯分布,都可以写成以上定义的形式。





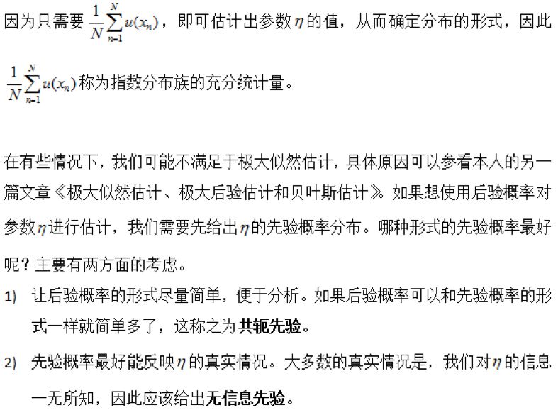
- 极大似然估计


- 充分统计量

(点击上图可跳转去阅读《极大似然估计、极大后验估计和贝叶斯估计》原文)
- 共轭先验

- 无信息先验





小结

读到这里,不妨思考一个问题,指数分布族为什么要这样定义?
篇幅有限,有兴趣的同学,欢迎评论区交流。