距离10月成考仅剩32天
好紧张啊
啊,成考数学怎么复习
啊,每当我睡不着,我就拿出成考数学,超有效...怎么办啊
???这样不行啊喂,别说了,送你成考数学通关秘籍!
成考数学超全公式!
【集合】


【基本初等函数Ⅰ】


【函数应用】



【空间几何体】

【点、直线和平面的位置关系】


【空间向量与立体几何】



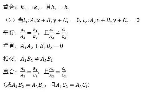
【直线与方程】



【圆与方程】


【圆锥曲线与方程】



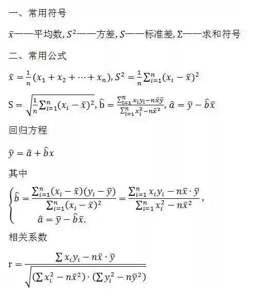
【统计】

【概率】

【三角函数】




【三角函数的图象与性质】


【三角恒等变换】

【解三角形】


【平面向量】


【数列】


【不等式】


【常用逻辑用语】


【导数及其应用】


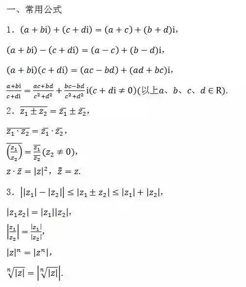
【复数】

【计数原理】

