在工作中或许会遇到这样的问题——在一堆数据中找出相同的身份证号码,说着简单,但是做起来就有很大难度,比如说:两个身份证是相同的,但一个是15位,一个却是18为;两个身份证是一个人,但是两个身份证却相差几位,或者多位,可能有人会说,真的有这样的事情吗?我可以很淡定的回答你,是的,真有。
例如:A数据和B数据相互对比,我想知道这两个数据中有多少相同的数据,但是A和B是两个单位,在数据录入的时候一定有差异的,差异在什么地方?那就是我刚刚说到的新旧身份证和位数的相差。
我来说一下我的思路:
1.首先用LEN函数判断身份证号码的位数,正确位数只有15和18位,判断后将错误的身份证筛选出来,只保留正确的,如果有错误身份证会影响之后的工作。如图:

2.图上我们可以看到这是错误的身份证号码(我就纳闷了,录这数据的工作人员长不长心吶!),我们可以无视它,继续我们的工作。A、B两个数据必须是一样的,怎么一样呢?即:姓名、18位身份证号码、15位身份证号码、统计函数的辅助列,之后也可以根据自身的工作要求再加一些辅助,比如金额、人口等等。如图:

接下来我们就要把A数据和B数据处理成上面的效果,处理完成后就要把A与B粘贴到一个工作表中,在这之前,我们将18位的身份证替换成15位的,而15位的保留不变,公式如下:=IF(LEN(B1)=15,B1,LEFT(REPLACE(B1,7,2,),15))
这个公式里有四个函数,这里就不多说了,如果想学习并掌握的话建议去论坛或者直接看EXCEL里的F1帮助。然后就是统计函数:=COUNTIF(C:C,C1&"*"),这个步骤就是在统计C列中有多少个重复的数据,返回"1"就说明这个身份证只有一个,返回"2"就说明有两个一样的,以此类推。
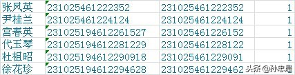
3.现在我们要把A数据和B数据粘贴到一个工作表中,并且将A或者B变色,我们把A数据依然保留为默认的黑色不变,而B数据修改成红色,这样的做法是有利于我们判断的。
之后的操作步骤很重要,我们先把15身份证号码排序,升序、降序无所谓(这样是为了相近的身份证会在一起),再把统计函数那列排序,必须排成降序,这样重复的数据就会显示在顶端,最后的效果就是这样了。如图:

4.身份证如果不相差太大,我们都会找出来的,如果有很大的相差,我们还可以用姓名来统计,用姓名排序,然后再用统计函数来统计,这种方法属于比较模糊的方法了。
多看几遍教程,然后把附件里的内容自己改一改,看看可不可以达到你要求的效果,