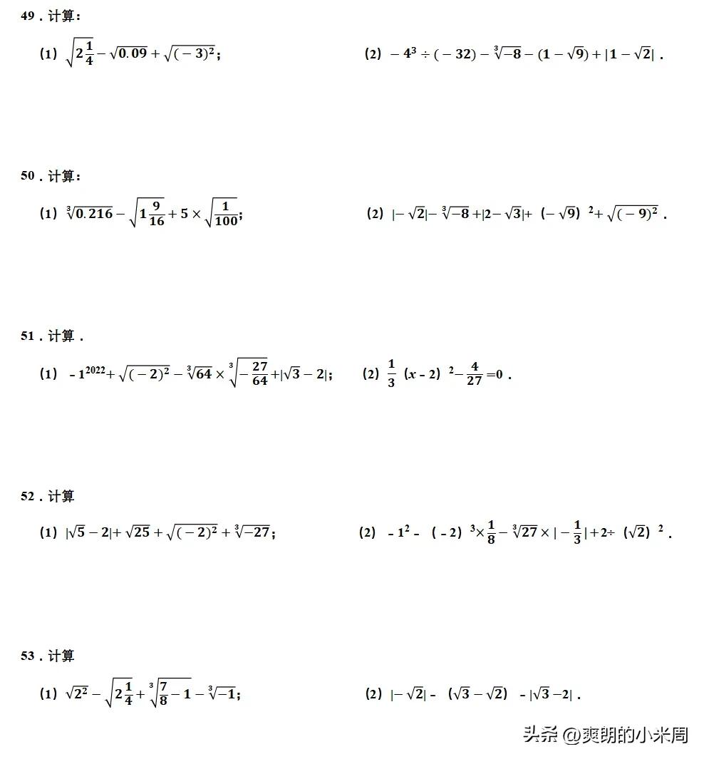
今天给大家更新的练习资料是《实数的运算》专项训练100题,有详细答案哦!
需要领取完整版资料的朋友记得往下拉,有获取方式方法哦!










所有计算题都有详细的答案解析,学生在家自学也能学得明白;这是最重要的。需要领取完整的资料和答案解析的朋友们可以看我置顶的第一篇文章,请仔细阅读。
谢谢你的关注与点赞呀![比心][比心][比心][比心]
今天给大家更新的练习资料是《实数的运算》专项训练100题,有详细答案哦!
需要领取完整版资料的朋友记得往下拉,有获取方式方法哦!










所有计算题都有详细的答案解析,学生在家自学也能学得明白;这是最重要的。需要领取完整的资料和答案解析的朋友们可以看我置顶的第一篇文章,请仔细阅读。
谢谢你的关注与点赞呀![比心][比心][比心][比心]