晶体三极管(以下简称三极管)按材料分有两种:锗管和硅管。而每一种又有NPN和PNP两种结构形式,但使用最多的是硅NPN和锗PNP两种三极管,(其中,N是负极的意思(代表英文中Negative),N型半导体在高纯度硅中加入磷取代一些硅原子,在电压刺激下产生自由电子导电,而P是正极的意思(PosiTIve)是加入硼取代硅,产生大量空穴利于导电)。两者除了电源极性不同外,其工作原理都是相同的,下面仅介绍NPN硅管的电流放大原理。
对于NPN管,它是由2块N型半导体中间夹着一块P型半导体所组成,发射区与基区之间形成的PN结称为发射结,而集电区与基区形成的PN结称为集电结,三条引线分别称为发射极e (Emitter)、基极b (Base)和集电极c (Collector)。如右图所示
当b点电位高于e点电位零点几伏时,发射结处于正偏状态,而C点电位高于b点电位几伏时,集电结处于反偏状态,集电极电源Ec要高于基极电源Eb。
在制造三极管时,有意识地使发射区的多数载流子浓度大于基区的,同时基区做得很薄,而且,要严格控制杂质含量,这样,一旦接通电源后,由于发射结正偏,发射区的多数载流子(电子)及基区的多数载流子(空穴)很容易地越过发射结互相向对方扩散,但因前者的浓度基大于后者,所以通过发射结的电流基本上是电子流,这股电子流称为发射极电流子。
由于基区很薄,加上集电结的反偏,注入基区的电子大部分越过集电结进入集电区而形成集电极电流Ic,只剩下很少(1-10%)的电子在基区的空穴进行复合,被复合掉的基区空穴由基极电源Eb重新补给,从而形成了基极电流Ibo.根据电流连续性原理得:
Ie=Ib+Ic
这就是说,在基极补充一个很小的Ib,就可以在集电极上得到一个较大的Ic,这就是所谓电流放大作用,Ic与Ib是维持一定的比例关系,即:
β1=Ic/Ib
式中:β1--称为直流放大倍数,
集电极电流的变化量△Ic与基极电流的变化量△Ib之比为:
β= △Ic/△Ib
式中β--称为交流电流放大倍数,由于低频时β1和β的数值相差不大,所以有时为了方便起见,对两者不作严格区分,β值约为几十至一百多。
α1=Ic/Ie(Ic与Ie是直流通路中的电流大小)
式中:α1也称为直流放大倍数,一般在共基极组态放大电路中使用,描述了射极电流与集电极电流的关系。
α =△Ic/△Ie
表达式中的α为交流共基极电流放大倍数。同理α与α1在小信号输入时相差也不大。
对于两个描述电流关系的放大倍数有以下关系
三极管的电流放大作用实际上是利用基极电流的微小变化去控制集电极电流的巨大变化。 [2]
三极管是一种电流放大器件,但在实际使用中常常通过电阻将三极管的电流放大作用转变为电压放大作用。
放大原理
1、发射区向基区发射电子
电源Ub经过电阻Rb加在发射结上,发射结正偏,发射区的多数载流子(自由电子)不断地越过发射结进入基区,形成发射极电流Ie。同时基区多数载流子也向发射区扩散,但由于多数载流子浓度远低于发射区载流子浓度,可以不考虑这个电流,因此可以认为发射结主要是电子流。
2、基区中电子的扩散与复合
电子进入基区后,先在靠近发射结的附近密集,渐渐形成电子浓度差,在浓度差的作用下,促使电子流在基区中向集电结扩散,被集电结电场拉入集电区形成集电极电流Ic。也有很小一部分电子(因为基区很薄)与基区的空穴复合,扩散的电子流与复合电子流之比例决定了三极管的放大能力。
3、集电区收集电子
由于集电结外加反向电压很大,这个反向电压产生的电场力将阻止集电区电子向基区扩散,同时将扩散到集电结附近的电子拉入集电区从而形成集电极主电流Icn。另外集电区的少数载流子(空穴)也会产生漂移运动,流向基区形成反向饱和电流,用Icbo来表示,其数值很小,但对温度却异常敏感。
晶体三极管放大原理

差分对管输入级
输入级主要起缓冲作用。输入输入阻抗较高时,通常引入一定量的负反馈,增加整个功放电路的稳定性和降低噪声。
前置激励级的作用是控制其后的激励级和功劳输出级两推挽管的直流平衡,并提供足够的电压增益。
激励级则给功率输出级提供足够大的激励电流及稳定的静态偏压。激励级和功率输出级则向扬声器提供足够的激励电流,以保证扬声器正确放音。此外,功率输出级还向保护电路、指示电路提供控制信号和向输入级提供负反馈信号(有必要时)。
放大器的输入级功率放大器的输入级几乎一律都采用差分对管放大电路。由于它处理的信号很弱,由电压差分输入给出的是与输入端口处电压基本上无关的电流输出,加之他的直流失调量很小,固定电流不再必须通过反馈网络,所以其线性问题容易处理。事实上,它的线性远比单管输入级为好。图1-2示出了3种最常用的差分对管输入级电路图。

图1-2种差分对管输入级电路
在输入级电路中,输入对管的直流平衡是极其重要的。为了取得精确的平衡,在输入级中加上一个电流反射镜结构,如图1-3所示。它能够迫使对管两集电极电流近于相等,从而可以对二次谐波准确地加以抵消。此外,流经输入电阻与反馈电阻的两基极电流因不相等所造成的直流失调也变得更小了,三次谐波失真也降为不加电流反射镜时的四分之一。
在平衡良好的输入级中,加上一个电流反射镜,至少可把总的开环增益提高6Db。而对于事先未能取得足够好平衡的输入级,加上电流反射镜后,则提高量最大可达15dB。另一个结果是,起转换速度在加电流反射镜后,大致提高了一倍。
在输入级中,即使是差分对管采用了电流反射镜结构,也仍然有必要采取一定措施,以见效她的高频失真。下面简述几钟常用的方法。
1)、恒顶互导负反馈法
图1-4示出了标准输入级(a)和加有恒定互导(gm)负反馈输入级(b)的电路原理图。经计算,各管加入的负反馈电阻值为22Ω当输入电压级为-40dB条件下,经测试失真由0.32%减小到了0.032%。同时,在保持gm为恒定的情况下,电流增大两倍,并可提高转换速率(10~20)V/us。

图1-3标准电流反馈镜输入级 1-4 标准输入级和加有恒定互导负反馈输入级
将输入管换成互补反馈行对管的方法,简称为CFP法,电路示于图1-5。

图1-5 改进型差分管输入级
这种输入级与上述恒定互导负反馈输入级相比,在输入电压级为-30dB情况下,测试结果显示,恒定互导负反馈输入级给出的三次谐波失真为0.35%,而CFP型输入级的三次谐波失真为0.045%,对其它情况来说,后者的三次谐波失真大致为前者的一半。
共射—共基互补输入电路示于图1-6(c)在该图示值情况下,当输入电平级为-30Db时,失真见效到0.016%左右。另外,由于该电路在输入管集电极处不存在值得重视的电压波动,其主要好处是把输入器件用来工作的电压Vce给降下来。这样就可以允许她以较低的温度工作,从而改善其热平衡,通常Vce为5V即可工作的很好。
共射—共基互补型输入级
将输入管换成互补负反馈型对管
改进输入级线性的方法
加有电流反射镜的输入级
电压放大级
由于电压放大级不仅要提供全部的电压增益,而且还要给出正个输出的电压摆幅,因而电压放大级被人为是声频放大器中最关键的部分。然而,设计的好的电压放大级,其对整个放大器的综合时针是没有多达影响的,电压放大级自身产生的失真是很小的。图1-7给出了6中电压放大级的原理图,其中(a)为以电流源为负载的常规电压放大级;图(b)为负载被自举的常规电压放大级;(c)为通过加强β的射极跟随器,深化局部负反馈电压放大级;(d)为采用共射—共基接法,深化局部负反馈电压放大级;(e)为加有缓冲的电压放大级;(f)为采用交替缓冲对电压放大管负载加以自举的电压放大级。

图1-7 电压放大级的6种变形电路
使电压放大级具有交稿的局部开环增益是很重要的,因为只有这样一来才能对电压放大级记忆线性化,且可采用有源负载技术,以提高电压增益。例如图1-7(a、b、f)所示,若要进一步改进电压放大级,其较有成效的途径是致力于改善其特性曲线的非线性。
功率输出级
众所周知,决定输出级时针的最基本因素就是工作类别。由于甲类工作状态不会产生交越失真和开关失真,因而成为理想的模式。然而,其产生的大信号失真仍未能小到可以忽略的程度。对甲乙类而言,如果输出功率超出甲类工作所能承受的电平,则总谐波失真肯定会增大。因为这时的偏置控制是超前的,其互导倍增效应(即位于甲类工作区,两管同事导通所导致的电压增益增大现象)对时针残留物产生影响而出现了许多高次谐波。这个事实似乎还鲜为人知,恐怕是由于在大多数放大器中这种互导倍增失真的电平相对都比较小,并被七台河失真所完全淹没了的缘故。对于甲乙类而言,通过对它与甲乙类失真残留物频谱分析可知,除不可避免的输出级失真外,所有的非线性都已有效地加以排除,且在奇次谐波幅度上,最佳乙类状态要比甲乙累低10Db。实际上,奇次谐波普遍认为是最令人讨厌的东西,因此正确的做法是不避免甲乙类工作状态。
由此看来,关于输出级工作状态的选择,似乎只能在甲镭和乙类二者中选取。但是,如果从效率、大信号失真、温升及其它失真等方面综合加以考虑的话,乙类的各项性能指标是压倒其它类别的,因此输出级选择乙类工作状态得到广泛应用。
输出级的类型约有20余种,例如射极跟随器式输出级、互补反馈对管式输出级、准互补式输出级、三重式输出级、功率FET式输出级等,还有误差校正型输出级、电流倾注行输出级及布洛姆利(Blomley)型输出级等。现仅介绍几钟如下:
输出级的类型
射极跟随器式输出级(达林顿结构)
图1-8是最常见的3种射极跟随器式输出级,他们是双重射极跟随器结构,其中第一个跟随器是第2个跟随器(输出管)的驱动器。这里所以不称为答林顿结构,因为达林顿结构暗含着它可以是包括了驱动管、输出管以及各种射极电阻的集成块。

图1-8 3种类型的射极跟随器输出级
射极跟随器式输出级的特点是输入是通过串联的两个发射结传递给输出端,且这一级末加局部负反馈。另一个特点是在扁压与射极电阻Re之间存在两个不同的发射结,所传输的电流不同,且结温也不同。
三种类型电路中,(a)为盛行的一种,其特征是把驱动管的射极电阻连接到输出电路上去。而(b)类型两驱动官所公有的射极电阻Rd不在接到输出电路上,可以在输出管正处于关断时让驱动管对其发射结加以反偏置。(c)类型是通过把两驱动管射极电阻分别接到侧供电电路上(而不是接到输出电路上)来维持驱动管工作于甲类状态的一种结构。其突出的特点是在对输出管基极进行反偏置这一点上,表现的与(b)类型同等良好,高频事会关端得更为干脆。
事实上,上述三种类型输出级的共同特点都是在输入端与负载之间串接了两个发射结。另一
个特点就是增益降落产生在大输出电压与重负载的场合。
互补反馈对管式输出级
互补反馈对管式输出级也称为西克对管(SzikLai-Pair)式输出级,见图1-9。其特点是,驱动管是按照有利于对输出电压与输入电压加以比较的需求来设置的,他可以给出更好的线性以及叫好的热稳定性。
由博里叶分析可知,互补反馈对管式输出级产生的大信号非线性比射极跟随器的要小,同时,交越区的宽度也窄的多,约为±0.3V。
准互补式输出级
图1-10(a)示出了标准型准互补电路,(b)为巴克森德尔(Baxandall)准互补电路。标准型准互补电路在交越区附近的对称性不佳,而对称性得到较大的改善的是采用跋克森徳尔二极管的巴克森徳尔互补电路。它常用语放大器的闭环中,在其它时针已大大地排除之后,它能够给出很好的性能。例如,当用于负反馈因数为34dB左右(30KHz)的放大器时,在100W条件下,失真可很容易做到0.0015%(1KHz)与0.15%(10kHz)。

图1-9 互补反馈对管式输出级 图1-10 准互补式输出级
三重式输出级
三重式输出级的电路结构,是在输出级的每一半电路部分使用3个晶体管二不是2只,它可以有7种变形之多。该电路形式运用得正确,可有以下两个好处:
a、对于大输出电压与电流所给出的线性较好;
b、由于能够让前驱动管来处理功率很小的信号,耳使其可一直保持很低的工作温度,从而使静态设定条件更加稳定。图1-11示出了产品设计中所常用的3种重式输出电路。

输出级的时针可细分为大信号非现行失真、交越失真和开关(关断)失真3种。
在考虑所有双极晶体管级的情况下,它们的大信号非线性失真(LSN)共同表现如下:
a、LSN随负载阻抗的减小而增大
在负载为8Ω的典型输出级中,其闭环LSN通常可忽略不计,但当负载阻抗为4Ω时,其相对较纯的三次谐波会在THD残留物中变得明显起来。
b、LSN随驱动管发射极活集电极电阻的减小而加重。
出现上述情况的原因是驱动管 摆幅变大,然而其好处是可见效关端失真,二者兼顾折衷的方法是取阻值为47~100Ω。
需要指出的是,LSN在总失真所占有的比重(负载为8Ω时)与交越失真和关断失真相比是很小的。这个论断在4Ω负载时是不成立的,更不要说是2Ω负载了。如果设计重点不是放在使关断失真最小化上,册互补反馈对管式输出级通常是最佳的选择。
c、大Ic时的增益跌落可又简单有效的前馈机制部分地加以抵消。
大信号非线性时针
输出级的失真
交越失真
交越时针之所以对乙类功放最为有害,是由于它会产生令人讨厌的高次谐波,而且其值会随信号电品的下降而增大。事实上,就一太驱动8Ω负载放大器而言,其综合线性是由交越失真来决定的,即使是在其输出级设计的很好,并且加的偏压也为最佳值时,也是如此。
图1-12(欠图)示出了失真加噪声(THD+N)随输出电平降低而增大的情形,但其变化比较缓慢。实际上,射随器式互补反馈对管式输出级都具有与图1-12相类似的曲线,不管偏置不足的程度有多大,总谐波失真在输出电压减半时将增加1.5倍。
图1-12 THD+N随输出电平变化曲线(欠图)
关于交越失真的情况,英国有关部门文献的报道如下:
实验证明,就大多数指标而言,互补反馈对管式输出级优于射极跟随器式输出级。有关实验结果于表1-1、1-2、1-3中,其中表1-2、1-3分别为互补反馈对管式输出级及射极跟随器输出级和互补反馈对管输出级的实验结果。表中Vb为倍增偏置发生器在驱动级基极两端建立的电压,工作于乙类放大状态时,Vb=Vq~3Vq,Vq为在两个发射极电阻Re两端产生的静态电压,通常Vq=5~50mV,依所选的电路结构而定。静态电流Iq为流过输出器件的电流,其中不包括驱动级稳定电流。

为了改善交越失真,记住以下条件结论是很重要的:
a、 静态电流本身无关紧要,而VQ却是至关重要的参量;
b、 一个能使VQ严格保持正确的热补偿方案,只需要知道驱动管和输出管的结温。令人遗憾的是,这些结温实际上是不能准确测得的,但至少我们可以知道目标是什么。
关断失真
关断失真取决于几个可变因素,尤其是输出器件的速度特性和输出拓扑。关键的因素是输出级能否使输出其间b、e结反向偏置,致使载流子吸出速度最大,以便使输出器件迅速截止。前述图1-8(b)射随器输出级电路是唯一能使输出b、e结反向偏置的普通电路。
第二个影响因素就是驱动级发射极或集电极的电阻值,该电阻愈小,可除去已存储电荷的速度就越快,应用这些准则可明显减小高频失真。
此外,图1-8(b)所示的射随器输出电路的共用驱动级电阻Rd上并联一个加速电容后,可以减小高频时的THD失真。比如,在40Hz时,可使THD减小1半,这说明输出器件截止要'纯净'得多。当然在300Hz~8KHz范围内也是会有同样的好处。
对于双结型晶体管构成的输出级而言,最佳输出级的选择如下:
(1) 第二种射极跟随器式输出级
这种输出级在对付截止失真方面是最好的,但静态电流稳定性可能有问题。
(2) 互补反馈对管式输出级
这种输出级具有良好的静态电流稳定性和很小的大信号非线性,但最大的特点是如果不另加高压电源,就不可能通过输出基极反偏置来时间快速截止。
(3) 巴克森徳尔准互补式输出
这种输出级在现行方面与射极跟随器输出级差不多,但具有节约输出器件成本的优点。然而其静态电流稳定性却不如互补反馈对管式输出级。
详解晶体三极管放大电路
简单的放大电路的工作原理
简单的放大电路的构成
对放大电路的输入所施加的是从称为信号源的麦克风、录放机等而来的极小的输出电压。放大电路的输出,连接有称为负载的扬声器、蜂鸣器等。电容C1在起着隔直作用的同时,仅让从信号源来的像语音电流那样的交流通过,是信号源和晶体三极管之间的连接元件。C2是使负载中仅有交流流通的元件,C1、C2都称为耦合电容
电阻RB是决定基极电流IB值的元件,也称作为偏置电阻。
电阻RL称为负载电阻,是为了获取输出电压的元件。
由各部分的波形考察了解放大电路的状况
在信号源的输出中,混入有各种各样的频率、振幅的信号,另外负载也根据种类不同,具有各种各样的电阻值或阻抗值。
这里,为了说明简单,假设输入为具有单一频率恒定振幅的正弦波交流电压(输入信号电压简称为输入电压)。
基极端
通过耦合电容C1施加在基极-发射极间,根据从电源流过偏置电阻RB的直流IB,在基极-发射极间产生直流电压VBE。因此,在基极-发射极间,施加的是VBE和vi叠加起来的电压VBE+vi。另外基极流过与VBE+vi成比例的基极电流IB+ib。
集电极端
集电极端与基极端一样,直流集电极电流IC从电源流过负载电阻RL,根据基极电流IB+ib的控制,有如图3.5(a)所示的集电极电流IC+ic流通。
根据这一集电极电流,集电极-发射极间产生的直流成分和交流成分的电压变成如下所示但是,对交流成分的集电极压vc,有vc=RLic。
①当输入电压为0V时,因为集电极电流只有直流成分IC,所以集电极-发射极间电压VCE只是比电源电压VCC降低了由负载电阻RL产生的电压降RLIC。
②当输入电压正向增大时,因为集电极电流IC+ic也增加,则由RL引起的电压降变大,所以集电极-发射极间电压减小。反之,若vi反向增大,则集电极-发射极间电压将增大。
因此,对集电极-发射极间电压VCE+vc,由于其直流成分被耦合电容C2所阻隔,所以输出电压vo变得输出电压,就可明白:
①当输入电压vi=10mv时,因为输出电压vo=1.7v,所以输出被放大到输入电压的170倍。
②当vi正向增加时,vo为反向增加。即vi和vo之间存在180○的相位差,这称为输入输出的相位反转。
偏置的必要性和偏置电路
偏置的必要性
在前述放大电路中,只着眼了放大的情况,晶体三极管以直流成分为中心交流成分叠加其上进行工作,输出波形可与输入波形成比例地无失真地放大。这里,电极间的直流电压、直流电流通常称为偏置电压、偏置电流,也简称为偏置
发射结没有加上偏置电压的情况。因为发射结正如已经学过的那样由pn结组成,所以只有在vi的正半周期中成为正偏,因此,由于集电极电流ic仅在ib流通时流通,结果出现如所示的输入波形的一半被放大的情况。
若对B、E间施加直流电压VBE,即偏置电压VBE一旦加上,则偏置电流IB就流通,令IB≥ibm(基极电流交流成分的最大值),则集电极电流IC+ic获得与输入波形成比例变化的波形。
还有,即使加上偏置电压VBE,但假如此时流通的偏置电流Ib<ibm,则基极电流IB+ib,集电极电流IC+ic变得如同所示,波形产生了失真。因此,放大电路设计时必须设置适当量的偏置。
偏置电路
前节的放大电路中,没有在发射结之间专门使用称为VBE的电源,那么,偏置是如何产生的呢,让我们对下面的偏置电路进行分析。
固定偏置电路
这是最简单的偏置电路,偏置电流IB自电源VCC经过RB流通。即这一电路的偏置电流IB可用下式表示:
IB=(VCC-VBE)/RB
式中VBE的值对锗晶体三极管而言约为0.2V,对硅晶体三极管而言约为0.6~0.7V。
因此,由于一旦给定VCC的值,由该电路中的IB就基本决定,所以该电路称为固定偏置电路。它虽电路简单且功耗小,但由于对温度的稳定性能差,故用于像玩具那样的放大倍数不高、保真度要求低的场合。
电流反馈偏置电路
作为最通常被使用的偏置电路,有所示的电流反馈偏置电路。与固定偏置电路的不同的是将RA和RE接入了偏置回路。这种情况下,由于RA和RB是对电源电压进行分压的元件,故称为分压电阻。另外,RE虽称为发射极电阻,但由于它具有使偏置稳定的作用,故又称为稳定电阻。
这个电路的工作原理如下
①流过分压电阻RA的分压电流IA为基极电流IB的10倍以上,令RA端电压VB即使当基极电流变化时也基本保持不变。因此,偏置电压VBE为VB与VE的差,如下式所示:
VBE=VB-VE=VB-IERE
②现在,一旦温度上升,IC增加,则因为发射极电流IE增大,IERE也增大,所以VBE减小。
③若VBE减小,则由于IB减小,所以可抑制IC的增加。
因此,电路虽较复杂,但对于温度变化的稳定性好。
如何确定偏置电路的电阻值
集电极电流和负载电阻的确定方法
放大电路设计时的电源电压,考虑到放大电路的用途、晶体三极管及负载的种类等,采用从电池或稳压电源电路获取电压等,选择适合于相应状态的电压就可以。
其次,考虑如何确定集电极电流和负载电阻的值。下节将详细叙述,因为集电极-发射极间的电压VCE取值为电源电压VCC的1/2,所以可从负载电阻RL上获取最大的输出。因此,同图电路中负载电阻RL上的电压降变成电源电压剩下的一半,集电极电流IC表示为下式:

即选择集电极电流IC,以使VCE成为1/2的VCC即可。
如上所述,首先确定电源电压VCC,然后若确定了IC,则RL确定。如果,根据负载的种类RL先确定下来的话,则IC在其后确定。通常,IC先被确定的时候居多,特别是对信号放大时的初级晶体三极管,由于输入电压很小,偏置电流尽可能取得小一些以防止杂音的产生,所以集电极电流取得小一些。
还有,人们一般认为若对负载电阻RL取较大值,则RL的输出电压将变大,输出或产生失真,或输出电压降低。其原因是由偏置的不恰当引起失真和一旦IC降低到某种程度就会导致hFE降低,从而使输出电压降低。
偏置电路电阻值的确定方法
设计偏置电路时,如前面已学过的那样,对电源电压、集电极电流、负载电阻的值等有事先确定的必要。这些称为偏置电路的设计条件。
(a) 固定偏置电路的电阻值
首先,作为设计条件选定如下的值:
电源电压VCC=9V
偏置电压VBE=0.67V
集电极电流IC=2.5mA
直流电流放大倍数hFE=140
对基极电流IB,根据hFE=IC/IB,有

RB满足下式:

因此,虽RB的标称值取为470K,但因为电阻器也存在误差,所以IC选用的值接近2.5mA。
(b) 电流反馈偏置电路的电阻值
设计条件与固定偏置电路部分相同,如下所示
电源电压VCC=9V
偏置电压VBE=0.67V
发射极电流IE=集电极电流IC
发射极电压VE为电源电压VCC的20%
集电极电流IC=2.5mA
直流电流放大倍数hFE=140
IA是IB的10倍
①RE的确定 因为VE是VCC的20%,所以VE=1.8V,另IE=IC=2.5mA,则

②RA的确定 基极电流IB为

因为IA是IB的10倍,所以
IA=10IB=10×18×10-6=180μA
又,RA的端电压VB
VB=VBE+VE=0.67+1.8=2.47V
因此,对RA有

③RB的确定 流过RB的电流IA+IB为
IA+IB=180μA+18μA=198μA
RB的端电压VA为
VA=VCC-VB=9-2.47=6.53V
因此,RB由下式确定为

根据特性曲线求解偏置和放大倍数的方法
利用特性曲线图求解偏置电压和偏置电流②
晶体三极管的电压和电流的关系可以用静态特性曲线表示,利用这一特性曲线, (a) 直流负载线的画法
对晶体三极管接入负载,取出其上输出时的特性称为动态特性。对这个电路若只考虑直流成分,集电极是电压VCE如下所示:
VCC=VL+VCE+ICRL+VCE
VCE=VCC-ICRL
根据上式,为了将VCE和IC的关系用VCE-IC特性曲线来表示,按以下步骤进行
①求VCE=0时的IC=ICA。
ICA=VCC/RL
现在,因为VCC=9V,RL=1.8K,所以VCE为0V时,有ICA=5mA,将其取作A点。
②求IC=0时的VCE。
VCE=VCC
故IC=0时,有VCE=9V,将其取作B点。
③连接A点和B点画直线段 因为这一直线段AB的斜率由负载电阻RL决定,所以称为负载线。
(b)偏置电压和偏置电流的求解方法
VCE和IC的关系总是反映在负载线上,负载线上任意的点被称为工作点。因而根据工作点可以求出偏置。例如若将工作点置于P,则有VCE=4.5V,IC=2.5mA,IB=18μA。另外,对于这一IB的值,,根据工作点P可得VBE=0.67V。
(c) 由工作点的偏移引起的输出电压的失真
为了使输出电压vo无失真地放大,由于将VCE置于中点,vo可以有较大的动态范围,所以必须注意VCE和vo的关系。例如,将VCE置于左右错开2V、8V之处,若以此为中心叠加上振幅为2.5V的vo,将产生失真。
因此,由上述分析可见VCE值,由于其取值为电源电压的1/2,即处于负载线的两等分点处,故可获得最大的无失真输出电压vo。
交流成分的工作原理
当输入电压vi施加到电路上时,放大的情况如下所述
①可以表示出在VBE-IB特性曲线上,以VBE=0.67V为中心,输入电压有vi=10mV的变化。即vi以P为中心,在P1和P2之间变化。
②可以表示出在VCE-IC特性的直流负载线上,ib的变化、ic的变化、输出vo的变化,均分别以工作点P为中心,在P1和P2之间进行。
③因此,输出电压vo以 VCE=4.5V为中心,以1.7V的振幅进行变化。
电压放大表示和增益
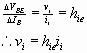
输出电压vo和输入电压vi之比称为电压放大倍数Av,由下式表示:
Av=vo/vi
另外,电压放大倍数也有用对数表示的,这称为电压增益Gv,如下表示,以[dB]作为单位。
Gv=20log10Av[dB]
因而,有Av=170倍,Gv=44.6dB。还有,除电压之外,电流、功率也有放大倍数和增益,它们各自的关系如表3.1和表3.2所示。
用晶体三极管的四个参数画出等效电路
晶体三极管的四个参数是什么
为设计晶体三极管电路,可以利用晶体三极管的静态特性来求出偏置、放大倍数等。仔细观察发现这一静态特性的利用范围几乎是线性部分。为代替静态特性,可以用线性范围内的某一部分的斜率以数值的形式来表示特性曲线,称其为h参数。在2.4节,只演示了实际使用的三条特性曲线,根据四条特性曲线,有如下所示四个h参数。
Hfe(电流放大倍数):是IB-IC特性曲线的斜率,hfe=△IC/△IB
Hie(输入阻抗):是VBE-IB特性曲线的斜率,hie=△VBE/△IB[]
Hoe(输出导纳):是VCE-IC特性曲线的斜率,hoe=△IC/△VCE[S]
Hre(电压反馈系数):是VCE-VBE特性曲线的斜率,hre=△VBE/△VCE
以上h参数的值,不仅根据晶体三极管种类的不同而有差异,而且,即使是同一个晶体三极管,也会根据集电极电流IC、集电极-发射极间电压VCE、周围温度Ta等测定条件的不同
利用h参数可以表示晶体三极管的等效电路
晶体三极管电路的放大倍数虽可以利用静态特性通过作图的方法进行求解,但若直接计算则更为方便。因此,有必要学习利用h参数来表示晶体三极管对交流的作用的晶体三极管等效电路。 (a) 输入端的等效电路
因为△VBE与交流量的vbe=vi相当,△IB与交流量的ib=ii相当,所以,各自的关系如下式所示:

因此,基极-发射极间相对于交流的输入阻抗与hie相等,
(b) 输出端的等效电路
△VCE与交流量的vce=vo、△IC与交流量的ic=io、△IB与交流量的ib=ii相当,分别求解各关系,有下列各式成立:

因此,集电极-发射极间,与负载电阻RL上流过hfeii的电流的电路等效,(c) 晶体三极管完整的等效电路
这样的等效电路称为简易等效电路,完全胜任于实际应用。这里,如果RL》1/hoe,就使用等效电路。
利用等效电路求取放大倍数的方法
利用h参数等效电路求取放大倍数的方法
已利用特性曲线由图解法获得,这里试根据h参数等效电路,通过计算的方法来求取。
放大电路的h参数,通常采用表示在产品目录、规格手册等上的数值。如前所述,这些值随测试条件的不同而变化,这里选用与3.4节的情况相同的条件,则h参数如表3.3所示。
对交流而言是将RB接入基极-发射极之间,而将RL接入集电极-发射极之间。但是,由于RB和hie成为并联且RB》hie,所以RB可以忽略不计。另外,因RL和1/hoe成为并联且1/hoe》RL,所以1/hoe可以忽略不计
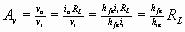
电压放大倍数
因为电压放大倍数Av是输出电压vo和输入电压vi之比,所以由等效电路得下式:

将表3.3中的数值代入,得

这样,电压放大倍数与在3.4节由图解法求得的值基本一致。
(b) 电流放大倍数和功率放大倍数
电流放大倍数Ai和功率放大倍数Ap,也可以根据等效电路按如下方式求得。

(c) 输入阻抗和输出阻抗
从输入端的基极-发射极间,以及从输出端的集电极-发射极间分别向三极管内部看去时的阻抗称为输入阻抗Zi和输出阻抗Zo虽在简易等效电路中,1/hoe省略了,但实际上它存在于集电极-发射极之间。因此,根据同图(b)和表3.3,Zi、Zo如下所示:
Zi=hfe ∴Zi=1.5kΩ
Zo=1/hoe ∴Zo=100kΩ
放大电路的分类
对放大电路,有根据晶体三极管的三个电极中哪个接地而决定的分类法和根据晶体三极管工作时工作点的设定而决定的分类法,在表3.4中表示了各种分类。
本章小结
偏置的必要性
为了不失真地放大输入波形,必须预先设定一定的直流电流流过基极-发射极间。这就是偏置,施加在各电极间的直流电压称为偏置电压,流过的直流电流称为偏置电流。
偏置电路
有电路简单、功耗小的固定偏置电路,通常被使用得最多的是能够抑制由温度变化引起集电极电流变化的电流反馈偏置电路。
负载线和工作点
在VCE-IC特性曲线上,根据VCE=VCC-RLIC,求解当VCE=0时的IC,和IC=0时的VCE,连接各自点的直线段就是负载线。另外,负载线上的每一个点称为工作点,由工作点可以知道晶体三极管工作时的偏置情况。
电压放大倍数和增益
若令输入电压为vi,输出电压为vo,则电压放大倍数Av及电压增益Gv由下式表示:
Av=vo/vi Gv=20log10Av[dB]
H参数
求解静态特性的线性范围的部分斜率,有能够反映这些特性的如下所示的参数:
hfe(电流放大倍数):△IC/△IB
hoe(输出导纳):△IC/△VCE[S]
hie(输入阻抗):△VBE/△IB[Ω]
hre(电压反馈系数)△VBE/△VCE
晶体三极管的等效电路
对在静态特性上利用图解法求得放大倍数而言,利用h参数表示的晶体三极管交流信号等效电路,根据计算得出结果的方法更为方便有效。