初识非负数
【阅读与思考】
绝对值是初中代数中的一个重要概念,引入绝对值概念之后,对有理数、相反数以及后续要学习的算术根可以有进一步的理解;绝对值又是初中代数中的一个基本概念,在求代数式的值、代数式的化简、解方程与解不等式时,常常遇到含有绝对值符号的问题,理解、掌握绝对值概念应注意以下几个方面:


【例题与求解】





【解析】
先根据a,b,c均为整数,得出a-b和a-c均为整数,根据有理数乘方的法则得出关于a、b、c的方程组,求出a、b、c之间的关系,用a表示出b、c,代入原式进行计算.
【小结】
本题考查的是有理数的乘方及绝对值的性质,能根据有理数的乘方及绝对值的性质得出a、b、c之间的关系式解答此题的关键.



【点评】
本题主要考查了非负数的性质:有限个非负数的和为零,那么每一个加数也必为零.同时考查了运用运算律使计算简便,该题有一定难度.


【解析】
根据abc>0与abc<0两种情况分类讨论,分别求出原式的值即可.
【点评】
此题考查了有理数的除法,绝对值,以及有理数的乘法,熟练掌握运算法则是解本题的关键.


【点评】
本题考查了绝对值的意义及最值问题,首先明确数a的绝对值一定是非负数,其次要知道S的最小值就是相邻数相减,从而得出结论.


【点评】
此题考查了非负数的性质及绝对值的性质,利用绝对值的性质去绝对值是解题的关键,要注意分类讨论.
【*级A**能力训练】

方法一:

方法二:




【解析】
有理数m,n,p满足|m|/m+|n|/n+|p|/p=1,所以m、n、p≠0,根据绝对值的性质,本题可分三种情况:
①当m>0,n>0,p<0时;②当m>0,n<0,p>0时;
③当m<0,n>0,p>0时,根据以上三种情形分类解答.
【点评】
本题综合考查了绝对值的性质,能够根据已知条件正确地判断出m、n、p的值是解答此题的关键.


【解析】
根据有理数a、b、c在数轴上的对应位置,即可确定大小关系,从而判断绝对值内的式子的符号,即可去掉绝对值,从而把式子进行化简.
【点评】
此题综合考查了数轴、绝对值的有关内容,用几何方法借助数轴来求解,非常直观,且不容易遗漏,体现了数形结合的优点.


【解析】
根据绝对值的定义可先判断出b的范围,进而判断出a的范围,相乘即可.
【点评】
考查绝对值的相关计算;判断出a,b的范围是解决本题的难点.





【解析】
根据数轴上的数,右边的数总是大于左边的数,即可得到a,b的大小关系,再利用有理数的运算法则以及绝对值的性质分别进行判断.
【点评】
此题主要考查了绝对值的性质以及数轴上的数:右边的数总:是大于左边的数,从而确定a,b的大小关系,并且考查了有理数的运算法则.




【解析】
先根据绝对值的性质求出a、b的值,再根据有理数的减法运算法则进行计算即可得解.
【点评】
本题考查了有理数的减法,绝对值的性质,有理数的加法,熟练掌握运算法则和性质并确定出a、b的值是解题的关键.


【解析】
分m≥0、m<0分别化简原式可得.
【点评】
本题主要考查绝对值,熟练掌握绝对值的定义和性质是解题的关键.


【解析】
含绝对值的式子,在去绝对值时要考虑式子的符号.若大于等于0,可直接去绝对值;若小于0,去绝对值时原式要乘以-1.由此可得x-2≤0,再解此不等式即可.
【点评】
本题考查了绝对值和不等式的性质.含绝对值的式子,在去绝对值时要考虑式子的符号.若大于等干0可直接去绝对值;小于0,去绝对值时原式要乘以-1.


【解析】
分两种情况讨论:
(1)当a-b≥0时,由|a-b|=a+b得a-b=a+b,所以b=0.
(2)当a-b<0时,由|a-b|=a+b得-(a-b)=a+b,所以a=0.从而选出答案.
【点评】
本题考查了绝对值的性质,是基础知识比较简单.






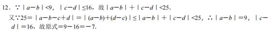
【解析】
根据la-b|≤9,|c-d|≤16,且la-b-c+dl=25,可知|a-b|=9,|c-d|=16,且a-b和c-d的符号是相反的,然后分两种情况讨论即可.
【点评】
本题主要考查绝对值,解决此题时,关键在于确定出a-b和c-d的值,根据其值计算即可.
初识非负数
【B级能力训练】




【解析】
先根据非负数的性质求出a,b的值,再代入分式进行计算即可.
【点评】
本题考查的是分式的化简求值,熟知分式混合运算的法则是解答此题的关键.



【解析】
根据数轴确定出a的绝对值大于1,然后列式求出a的值,再代入代数式进行计算即可得解.
【点评】
本题考查了绝对值的性质,数轴的知识,是基础题,根据数轴判断出a与1的绝对值的大小是解题的关键.


【解析】
由ab>0得a、b同号,分两种情况讨论:①a>0,b>0;②a<0,b<0.
【点评】
本题考查了绝对值的性质,正数的绝对值等于本身;负数的绝对值等于它的相反数.


【解析】
根据绝对值和偶次方的性质,可以求出x,y的值,把x,y的值代入代数式求出代数式的值.
【点评】
本题考查的是用因式分解法解一元二次方程,根据偶次方和绝对值的性质,得到一元二次方程,用因式分解法解方程,求出x,y的值,再把求出的值代入代数式计算.


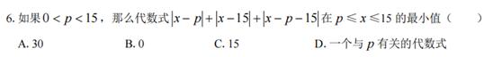
【解析】
根据x的范围化简|x-p|+|x-15|+|x-p-15|为30-x,再结合x的范围,求得它的最小值.
【点评】
本题主要考查绝对值不等式的解法,求函数的最值.属于基础题.




【解析】
由于0≤a≤4,则a-2及3-a的符号不能确定,故应分类讨论出a-2及3-a的符号,再由绝对值的性质求出所求代数式的值即可.
【点评】
本题考查的是绝对值的性质,在解答此题时要注意应用分类讨论的思想,不要漏解.





【解析】
当a、b的符号相反或其中的一个为0时,|a-b|=la|+|b|成立,由此可得结论.
【点评】
本题主要考查绝对值不等式的性质,属于基础题.



