

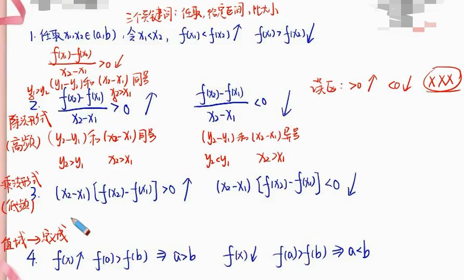
函数单调性的定义:

函数单调性的解题思路:主要是数形结合。
针对定义的四种表达方式,理解并会应用,其中,第二种经常考。

函数的四则运算后,单调性有了变化。

基本符合初等函数的单调性:

复合函数的单调性: 同增异减 。单点上不讨论单调性。

例题一:

例题二

达标检测

提醒:已知函数单调性,比较函数。



考察图形结合的方法,通过画函数图像得到在R上单调递增的函数。

分离常数法求解题目:

二次函数的考察题型:


分段函数的单调性:单调增函数的含义:左边函数为增且右边函数为增且右边界值>左边界值。同理递减函数为左边函数为减且右边函数为减且右边界值<左边界值。

分段函数单调性地考察:


收工,Get✓。
如果小伙伴们觉得此技巧对你有帮助的话,欢迎在下方留言、点赞、转发给更多的朋友!