对于长距离行驶工况而言,合成燃料是一类充满吸引力的可用于降低CO2排放的解决方案。除了将甲醇作为单一燃料直接使用之外,也可考虑使用甲醇、乙醇、正丁醇和异丁醇与传统燃料的混合燃料作为内燃机燃料。为此,德国亚琛工业大学已在单缸汽油机上通过燃烧过程研究这些混合燃料和纯醇类燃料提高效率和降低有害物排放的潜力。
1 燃料具有不增加排放的自由度
巴黎气候保护协议规定了2015年降低CO2排放的目标,并在以后的几十年中应逐步显著降低CO2排放。交通领域对于有效实现能源转型起着决定性的作用,其所消耗的能源约占德国总能源的20%。即使通过减轻质量、提高发动机效率或者加速汽车电气化和混合动力化,由此持续不断地改善能源的利用效率,但是与1990年相比,温室气体排放并未得以显著减少,而且短期内的交通流量甚至还会进一步增加,因此降低CO2排放仍是举步维艰。在封闭碳循环中借助于可再生能源制取燃料的情况下,液态合成燃料为降低交通领域CO2排放提供了广阔的前景。除了长期降低下一代内燃机排放之外,此类燃料作为混合燃料的组成成分在现有公司车队中已能显著降低CO2、NOx和颗粒排放。
2 燃料特性
为了研究液态可再生燃料在汽油机轿车上的适用性,选择了3种醇类燃料作为混合燃料的组成成分:甲醇、乙醇和丁醇,而将研究法辛烷值(RON)为94的不含氧的汽油作为基础燃料。这些醇类的纯组分以3%~40%的份额与基础燃料进行混合,从而总共确定了10种混合燃料,其特性列于图1中,其目标是用这10种混合燃料需满足RON>101的要求。E20和E25为来自巴西的含乙醇燃料。M15E5是一种由ENI和FCA公司开发的A20燃料,它含有15%甲烷和5%乙醇。所有这10种混合燃料的低热值约为39 MJ/kg,且几乎保持恒定不变。与基础燃料相比,纯粹的醇类呈现出明显较低的热值,这归因于较高的含氧量,而甲醇、乙醇和正丁醇和异丁醇却具有比基础燃料明显更高的抗爆性。正是在高负荷工况下,较高的蒸发焓起到了显著作用,与基础燃料相比,2种丁醇组分的蒸发焓要高出2倍,乙醇的蒸发焓要高出3倍,而甲醇的蒸发焓甚至要高出6倍,但是在冷起动状况下较高的蒸发焓就显得不胜其弊了。无论是甲醇和乙醇还是正丁醇和异丁醇都具有比基础燃料更高的空气需求、更低的比热值、更低的蒸汽压和更高的蒸发焓,在较低的进气空气温度和冷起动条件下会导致不良的混合气形成。此外,对于选择混合组分而言,沸点温度是一个重要的需求,因为沸点温度超过100 ℃可能使燃料掺入机油而导致机油稀释,因此需确保在90℃的运行温度下掺入到机油中的燃料能充分蒸发,沸点温度为118 ℃的正丁醇组分不进行试验,而沸点温度为108 ℃的异丁醇与基础燃料的混合比例至多为40%。

图1 试验混合燃料以及基础燃料、基准燃料和纯组分的特性
3 试验研究载体
在单缸试验发动机上进行基础试验研究。单缸试验发动机上的增压是由外部增压机组实现的,完全能达到0.35 MPa的最大增压压力。借助于排气管路中的一个背压阀,在节流运行时压力能被调节到0.1 013MPa,而在增压运行时排气歧管中的压力被提升到与进气管中相近的数值。进气空气温度被调节至25 ℃。这种单缸试验发动机能通过活塞的几何形状被调整到不同的压缩比。为了利用含醇燃料的高抗爆性并达到最高的发动机效率,将压缩比设定为13.0。坚固的曲柄连杆机构允许气缸最高平均压力高达17.0 MPa,由此考虑到了所期望的高峰值压力,特别是考虑到了在使用含醇燃料时应具有足够的安全性。此外,这种单缸试验发动机具有分开的进气道,其能达到较高的滚流强度,从而获得良好的混合气形成。火花塞及喷油器均布置在气缸中央,其中火花塞布置于排气门之间,而喷油器则布置于进气门之间(图2)。

图2 单缸试验发动机结构
采用6孔电磁阀式喷油器以高达20MPa的喷油压力进行燃油喷射。为了进行废气测量从排气歧管提取部分体积流量的废气,并借助于下列测量系统来分析废气成分:
碳氢化合物(HC):火焰电离分析仪(Rosemout NGA 2000);
氧(O2):顺磁式氧分析仪(Rosemout NGA 2000);
一氧化碳(CO):红外线气体分析仪(Rosemout NGA 2000);
二氧化碳(CO):红外线气体分析仪(Rosemout NGA 2000);
氮氧化物(NOx):化学荧光分析仪(Eco Physics 700 EL ht)。
为了测定碳烟排放,通过背压节流阀在0.1013 MPa压力水平下提取部分体积废气,并引至烟度仪(AVL 415s),用博世(FSN)黑烟度定量测量烟度。单缸试验发动机燃油系统中应用的密封件均由聚四氟乙烯(PTFE)和全氟醚橡胶(FFKM)制成的,这些材料与试验燃料接触时不会发生膨胀,而对于三元乙丙橡胶(EPDM)、氟橡胶(FKM)和丁晴橡胶(NBR),在前述工作中就已查明该类材料难以发生膨胀。
4 单缸试验发动机的试验结果
试验研究的目标是确定所选定的10种混合燃料以及基准燃料和纯甲醇的效率和废气排放的特性。基础试验包括化学计量比部分负荷和全负荷运行、借助于废气再循环(EGR)稀释充量、过量空气以及催化转化器加热和机油稀释。下文示范性地介绍了负荷变化和催化转化器加热的试验结果。
图3示出了根据可达到的50% 燃料转换点,在2 500 r/min转速下2种不同负荷工况点时的各种不同燃料的抗爆性。为了评价混合燃料,应用常规的RON 98燃料作为基准燃料,其采用与混合燃料相同的压缩比13.0进行试验。当50% 转换点能在最佳燃烧重心位置点火上止点后7~8°CA范围内实现时,燃料即已显示出较高的抗爆性,随之可达到尽可能高的效率。如图3所示,在平均指示压力pmi=1.2 MPa的负荷工况下没有哪种燃料会受到爆震限制。因为基准燃料采用与混合燃料相同的压缩比进行试验,采用混合燃料的效率仅能提高1%,因而其并非是决定性因素,其中甲醇的效率明显比基准燃料提高了7%,这一方面是由于层状火焰传播速度较高,从而缩短了着火滞后和燃烧持续时间的结果,但是更重要的是较高的蒸发焓带来的效果,由此得到的更低的气体温度并减小了压缩功和壁面热损失。混合燃料之间的差异同样也是由不同的蒸发焓所造成的。因为NOx的形成是由燃烧室中的气体温度所引起的,与基准燃料相比,4种组分因绝热火焰温度较低而产生较低的NOx排放,再与较高的蒸发焓相结合,特别是甲醇,以此能使NOx排放显著降低。混合燃料较大的汽化冷却作用使燃烧温度有所降低,并加剧了不完全燃烧增现象的出现,从而导致了HC排放略有增加。当然,与混合燃料相比,甲醇因其含碳量减少了56% 以及层状火焰较高的传播速度而使HC排放明显降低。

图3 各种燃料在中等和高负荷时的发动机试验结果
(Methanol=甲醇;Ethanol乙醇;2-Butanol=正丁醇;iso-Butanol=异丁醇;EB=喷油始点;°KW =°曲轴转角,点火上止点前;)
在pmi =1.8 MPa的负荷工况下,混合燃料因具有较高的抗爆性而提高了效率。采用RON98基准燃料运行时可达到的最大负荷为pmi =1.8 MPa,50% 转换点位于点火上止点后28°CA,然而10种混合燃料的50% 转换点位于点火上止点后14~18°CA。10种混合燃料具有的最大pmi可达2.4~2.7 MPa,其中轻微的差异可归因于不同的辛烷值和蒸发焓,与基准燃料相比,这就导致了使用M3E20燃料时效率提高12.6%,而在甲醇情况下效率甚至能提高23.5%,因为纯组分即使在pmi=1.8 MPa时仍能达到点火上止点后7.6°CA的最佳燃烧重心位置。尽管2B40和iB40混合燃料的正丁醇和异丁醇40%的混合份额相对较高,但是因RON和蒸发焓比甲醇和乙醇低,其效率仅能提高11%。在相同的醇类含量20%的情况下,E20、M15E5和M5E15混合燃料都达到了使用M15E5时的最高效率,因为M15E5混合燃料中的甲醇含量是最高的。
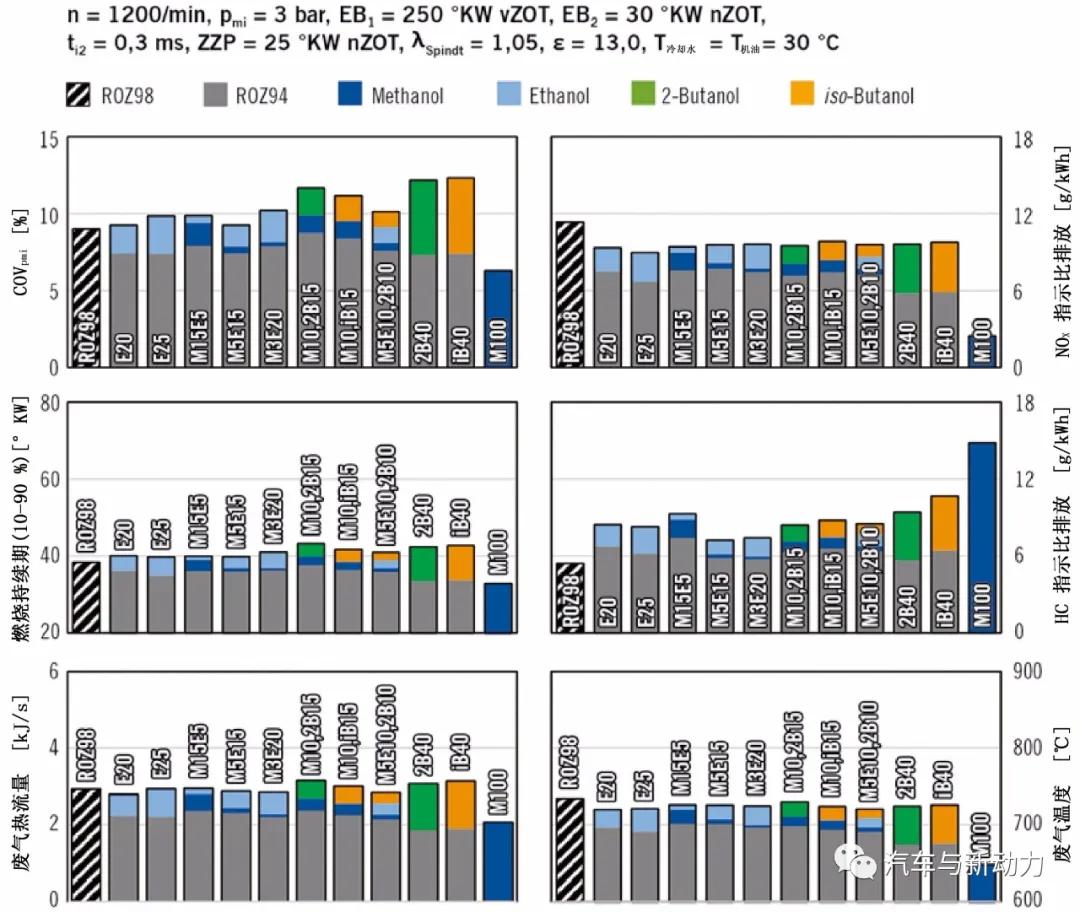
为了评价在发动机冷起动边界条件下的混合气形成,除了在2 500 r/min的转速下调整负荷之外,所有10种混合燃料和基准燃料以及甲醇的试验还在1 200 r/min和pmi=0.3 MPa典型的催化转化器加热的运行工况点进行。作为边界条件发动机机油温度和冷却水温度被调整到30 ℃。此外,将相同的点火时刻(ZZP)、相同的喷油始点(EB)以及具有恒定喷油持续时间(ti2)的与点火相关的喷油作为试验的基础,如图4所示。甲醇的燃烧持续期导致了良好的燃烧稳定性,其平均指示压力变化系数(COVpmi)较小,而正丁醇含量较高(分别为15%和40%)的混合燃料则显示出稍高的COVpmi、略高的HC排放和较长的燃烧持续期,这与组分的沸点较高有关。在采用甲醇的情况下,因其蒸发焓高、蒸汽压低、空气需求量较少以及由此引起的需求燃料的体积提高而出现明显的气缸壁面润湿现象,因而在排气阶段期间甲醇就从气缸壁面上的机油膜部分解出来,直接导致HC排放有所增加。与基准燃料相比,由于混合燃料的蒸发冷却作用要高出约21%,因而能降低NOx排放。尽管混合燃料的蒸发冷却作用有所提高并由此降低了废气温度,但是在燃烧稳定性有所恶化的情况下,仍有足够的废气热流量以确保COVpmi。

图4 各种燃料在催化转化器加热点时的发动机试验结果
(Methanol=甲醇;Ethanol乙醇;2-Butanol=正丁醇;iso-Butanol=异丁醇;°KW =°曲轴转角 点火上止点前/点火上止点后;)
甲醇的燃烧明显更为稳定,当然其仅能获得2 kJ/s以及相对较小的废气热流量。因为甲醇在点火上止点后25°CA点火时刻时的废气热流量处于与基准燃料和混合燃料在点火上止点后15°CA点火时刻时的相同水平上,因此基于废气热流量的增加与点火时刻之间的线性关系,随着点火角的进一步调整,废气热流量就能达到约3 kJ/s。
5 结论和展望
在直喷式单缸试验发动机上已对10种含有甲醇、乙醇、正丁醇和异丁醇的汽油机混合燃料以及纯甲醇进行了热力学试验研究。所进行的试验研究表明,甲醇提供了提高效率和降低NOx排放的巨大潜力。在高负荷时,与RON98基准燃料相比,使用混合燃料在相同的压缩比情况下能使效率提高12.6%,而甲醇甚至能使效率提高达23.5%。甲醇将较高的蒸发焓与较高的层状火焰传播速度相结合,能在高负荷和冷起动条件下提高抗爆性和燃烧稳定性。含有丁醇的混合燃料的热值比甲醇和乙醇的热值更高,当然其抗爆性仍略逊一筹。此外,较高的沸点温度会提高冷起动条件时的HC排放。鉴于EGR兼容性和稀薄燃烧过程,期望使用混合燃料和纯组分燃料以进一步提高效率和降低废气排放。在使用甲醇运行时,因其较好的抗爆性而有望进一步提高压缩比。除了在NOx排放方面的优势之外,随着醇类含量的增加,HC排放仍具有挑战,特别是在冷起动的工况下。
作者:[德]C.WOUTERS等
整理:范明强
编辑:伍赛特