摘要
土壤源地源热泵(地埋管)系统,具有系统稳定、分布广、清洁环保等诸多优点,但一套系统往往需要成百上千个钻孔,现今城市内普遍土地资源紧张,缺少足够的钻孔区域,矛盾突出。基于深基坑的地埋管系统,采用基坑内桩间布孔,可解决钻孔占地问题,有利于浅层地热能在城市中的推广应用。本文结合河南地质大厦浅层地热能开发,阐述了基于深基坑的地埋管关键技术,并分析评价了地埋管对基础稳定性影响。
关键词
深基坑;地埋管;浅层地热能;稳定性
浅层地热能是指分布在地球的表层恒温带(一般恒温带深度在地表下25m左右)至200m埋深中的土壤和地下水中的低温地热能,经热泵系统采集提取后可用于建筑供热(冷),具有储量大、分布广、清洁环保、稳定可靠等特点,是一种现实可行且具有竞争力的清洁能源。近年来国家及地方各级政府先后出台一系列鼓励政策,尤其国家《地热能开发利用“十三五”规划》明确要大力推广浅层地热能利用,在“十三五”时期全国新增浅层地热能供暖(制冷)面积 7×1012m2,体量巨大。
土壤源地源热泵系统,简称地埋管系统,由于系统稳定,运行费用低,维护简单,对周围环境影响极小等特点,越来越受欢迎,近年逐渐成为浅层地热能主要开发利用方式。
但地埋管系统,需要较大面积来布设钻孔,一套系统往往需要布设成百上千个钻孔。现在各大城市寸土寸金,土地资源紧张,很难具备足够的钻孔区域,因而发展出高层建筑基础下的地埋管施工技术。根据地埋管布置位置,可分为建筑全周边、建筑(全)基坑底板、建筑周边+基坑底板结合3大类(见图1~3)。

1、主要技术难点
基于深基坑的地埋管系统技术,主要是将地埋管施工顺序提前,即基坑开挖时预留一定深度,采取桩间布孔的方式进行钻孔施工,钻孔完成后再开挖至基坑设计标高,在基坑设计标高以下进行水平埋管管沟开挖及连接。在此期间,应尽量减小对基坑设计基准面原状土的扰动,如有扰动采用级配砂石夯实回填、置换等方法进行处理。
基于深基坑的地埋管系统技术与常规相比,设计、施工难度更大,牵涉的专业更广泛,例如需分析钻孔对基坑土层扰动以及对结构承载力的影响,环境(季节)适应性高、基坑内余土及泥浆清理难度较大等。其主要存在的问题包括:
(1)人们对地埋管系统是否影响建筑基础、结构等存在疑虑。由于建筑基础下布设地埋管系统应用案例较少,人们普遍存在疑虑,是否会扰动原土壤,对建筑物的结构、基础等稳定性造成影响。这种疑虑在一定程度上限制的此种埋管技术的推广应用。
(2)需要更高难度、更严格的地埋管设计及施工技术。在设计及施工中,需充分考虑场地狭小等因素,并避开桩基、人防等构筑物,同时要考虑之后土建工作的影响。主要包括①设计、施工中钻孔要准确避开桩基人防等构筑物,并严格控制水平槽标高。②施工作业面狭小,需要相互交叉作业,施工管理难度加大;③钻孔时产生的泥浆如何外运,泥浆对基坑底产生的污染;④地埋换热管施工结束后,后道工序如开挖桩间土或底板结构施工时对成品竖向管或水平管破坏极大,稍有不慎将导致换热管不能发挥作用;⑤基坑下的地埋管系统具有不可逆性,一旦出现故障将无法修复,所以必须采用更严格的技术要求。
(3)缺少系列的动态监测资料及相应分析成果,对已建工程运行及节能情况、对建筑影响等缺乏监测及相应研究工作。
2、工程实例
2.1 工程概况
河南地质大厦为河南地矿信息中心办公楼,位于河南省郑州市。办公楼设计地下2层,A座地上21层,B座地上20层,AB两座主楼通过三层裙房连接。项目地上总建筑面积62675.02㎡,计划利用浅层地热能实现夏季制冷和冬季采暖。
本工程A、B两座主楼基础采用CFG桩+筏板基础,裙房、地下车库为CFG桩+独立基础。CFG桩径为400mm,有效桩长18m,前期CFG桩施工已经完成。鉴于其建筑之外无闲余面积,设计采用裙楼、地下车库基础下布设地埋管系统。
2.2 设计方案
根据场地、空调负荷情况,设计地埋管换热孔数量604眼,单孔深度152m(有效长度
150m),孔径180mm,采用De32mm双U型PE管,孔间距4m,下管完毕后原浆及细砂回填。水平管采用分区同程连接,并采用细砂、级配砂石等回填夯实,见图4。

图4 地埋管系统剖面图
地质大厦地库筏板C15垫层+防水板底标高设计为-7.37m,施工时先将基坑开挖至-6m位置,距设计标高预留厚度约1.37m左右。之后平整基坑底面,采用桩间布孔方式进行钻孔施工,钻孔全部施工完毕,清理施工现场,做好半成品保护工作,继续将基坑开挖至最终设计标高-7.37m,然后进行水平埋管的管沟开挖及连接等工作,所有沟槽需按设计回填、夯实、平整。完成后土建单位开始正常的基础施工。
2.3 钻孔及水平管连接技术
2.3.1技术准备
审查设计图纸,熟悉有关资料。检查图纸是否齐全,图纸本身有无错误和矛盾,设计内容与施工条件能否一致,各工种之间搭接配合有否问题等。同时应熟悉有关设计方案及土层、地质、工期要求等资料。搜集资料,摸清情况。搜集当地的自然条件资料和技术经验资料;深入实地摸清施工现场情况。
2.3.2测量定位
根据桩基位置图等,准确布置钻井孔位,按照纵横向顺序对钻孔逐一进行标号排序。参照现场建筑基准点,经测量放线,逐一在场地上标明和确定钻孔位置。现场可采用插筷法,在测定的每个钻孔位置中心点插入筷子,并洒入白石灰作标记。如发现埋管部位下有地下管线或构筑物时,可适当调整局部钻孔位置,并及时更正绘制最终钻孔定位图。
由于需要桩基中间很小的间距内布设钻孔,钻孔放线定位是重中之重,稍有偏差将对桩体造成破坏,故一定需要专业测量人员,严格按照设定位置,采用全站仪、GPS等设备准确进行定位。
2.3.3钻孔施工要点(见图5)
(1)为保证建筑基础的可靠性、安全性,地埋管施工时必须最大限度减少对基础以下原土层的扰动。
(2)施工现场水沟、泥浆池开挖深度不得大于1m,泥浆池底部可铺设塑料布,防止泥水流出和渗入土层,施工中不得在现场进行沉淀换浆,当泥浆浓度过大时必须随时外运。
(3)钻机安装时,应采用水平尺对盘底横向、纵向进行找平,安装塔架竖杆,利用铅锤和直尺测量塔架的垂直度,保证塔架竖杆垂直,设备安装做到水平、周正、稳固,保证好钻孔垂直度。
(4)可选用硬质合金钻头,采用常规正循环钻进工艺施工。严格按操作规程,钻孔的垂直度必须控制在规定范围内,不得擅自改变钻孔的深度和位置。
(5)下管完毕试压合格后,应使用原浆、膨润土加细砂等回填,应分多次逐步回填,必须保证回填密实。
2.3.4水平管连接(见图6)
(1)水平管沟开挖:采用机械与人工相配合方式,根据场地实际情况,选择合适型号挖掘机进行开挖,严格按照放线位置,避开桩基、钻孔等构筑物,在挖掘机开挖的同时,用人工进行配合,将离桩、钻孔较近的土方用人工清理,最大限度减少扰动原土,用人工将多余的土方清出,人工清理、整平,测量人员控制标高随时抄平。
(2)因为建筑基础下水平管铺设具有不可修复等特性,故需采取严格措施确保水平管的焊接和敷设质量,严格按规定进行各项试压,确保不渗不漏。
(3)细砂垫层:首先将沟槽整平,并将石块、废料等杂物清理干净,在沟槽底铺设90~100 mm细砂垫层。待管道连接完后,回填细砂将管道覆盖。细沙料应细小均匀,对管道两侧分层对称回填,防止不对称回填造成管道侧向位移,不得将回填料直接砸在接口位置,确保回填料与管道紧密接触并压实,并防止对管道刮伤、压伤。
(4)级配砂石回填及夯实:细砂垫层铺设后,换填人工级配砂石对地基进行处理,人工级配砂石材料采用细砂+碎石,碎石比例占材料全重的40%(碎石:细沙体积比4:6),压实系数按不小于0.97控制。回填及夯实分为2层进行,每层夯实厚度250mm,采用平板震动器进行机械夯实,需做到夯夯连接,纵横交叉。夯实次数2~3遍,边缘、转角及靠近外墙100mm范围采用人工夯实,夯实后表面应平整密实且无松动石子。回填时刻掌握天气变化情况,在降雨前应及时压实松散回填料,并将作业面作成拱面或坡面以利排水,必要时采取塑料布覆盖等措施。

图5 钻孔施工

图6 水平管敷设
2.4 地温场监测孔
项目设计了3个监测孔,每个监测孔分别在20、50、100、150m设置4个测温探头,分别监测供暖、制冷、间歇恢复等期间不同层位及深度的土壤温度,以期为科学评价浅层地热能工程对地质环境的影响、系统优化等提供依据,见图7。

图7 监测孔测温探头及做法
3、对基础稳定性影响评价
3.1 单桩承载力复核
本项目设计单桩竖向承载力特征值为Ra≥720kN。地埋管施工完成后,共抽检了10根桩进行了单桩静载荷试验,其中847#、849# 2个根桩在载荷试验时周围未布置钻孔,以期通过数据对比得出异常。通过荷载试验表明,10根桩单桩竖向抗压承载力特征值等指标皆满足设计要求,其中847#、849# 2个根桩指标与其他相比并无明显差别。
取226#桩为例,其最大加载量1440kN,最大位移量9.92mm,最大回弹量4.42mm,回弹率44.6%,Q-s与S-lgt曲线见图8所示。
表1 复合地基竖向增强体单桩竖向抗压静载试验表


图8 226#单桩竖向抗压静载试验Q-s与S-lgt曲线
3.2 复合地基承载力复核
本项目设计复合地基承载力特征值fspk≥530kPa。现场随机抽检5组进行复合地基载荷试验,试验按照《建筑地基处理技术规范》(JGJ-2012)复合地基载荷试验要求进行,最大加载压力为1061kPa,加载等级分8级,最大加载压力不应少于设计要求压力值的2倍。
通过试验得出,复合地基承载力特征值530.5kPa,满足设计要求,见表2及图9。
3.3 桩身完整性检测
采用低应变法对桩身进行了检测,以检测桩身缺陷判定桩身完整性。本工程总桩数为999根,抽检不少于20%共计200根。根据检测,其中I类桩(完整桩)197根,II类桩(基本完整桩)3根,无III类桩(缺陷桩),无IV类桩(严重缺陷桩)。
表2 复合地基载荷试验概况表

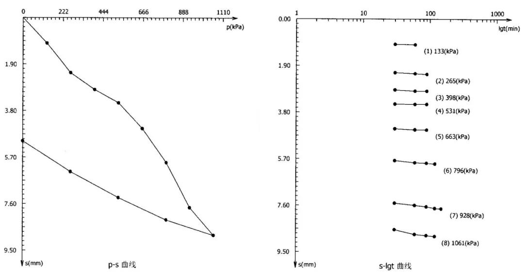
取335#为例,最大加载量1061kPa,最大位移量8.87mm,最大回弹量3.84mm,回弹率43.3%,见图9。

图9 335#复合地基荷载试验p-s及s-lgt曲线
3.4 回填对排水影响分析
在此之前,结构专业人士对能否回填密实存在疑虑,担心钻孔是否会成为排水通道,地下水是否会顺着钻孔回填层涌出,对地库筏板造成损坏,并且增加沉降量。但通过基坑开挖时的钻孔剖面可以看出,回填非常密实,同时原浆回填材料主要为粘土,其本身就是隔水材料,能造成的影响十分微小。当然,仅凭分析不具说服力,需要后期密切观测沉降量等,才能取得正确结论,见图10。

图10 钻孔开挖剖面
4 结论
(1)基于深基坑的地埋管系统的设计、施工难度大,牵涉专业范围较多,且一旦建成将无法修复,故需采取比常规技术更高、更严格的要求及措施,确保工程质量,避免留有隐患。
(2)在设计及施工过程中,尽量避免对基准面原状土造成扰动,如有扰动需采取级配砂石换填等措施进行处理;尤其需注重钻孔定位、钻孔垂直度等,以避免对桩基造成破坏。
(3)在实际施工过程中,考虑工期及成本等因素,基建、测桩、地埋管等各道工序、多家单位一般需要交叉施工协同作业。因作业场地狭小,届时存在材料堆放、施工先后顺序、相互影响等诸多事宜,业主及监理单位需要科学合理考虑各方利益,明确各自责任,做好协调工作。
(4)通过单桩载荷试验、复合地基载荷试验及桩身低应变法检测等表明,地基基础各项指标皆在设计值范围内,地埋管系统施工未对基础稳定性产生明显影响。
综上所述,基于深基坑的地埋管系统技术可行,可以有效解决土地资源紧张、缺少地埋管钻孔区域等问题,非常有利于浅层地热能在城市内的推广应用。
参考文献:
[1]周家志,程钢,刘先明,等.基坑内土壤源地源热泵系统地埋管施工技术浅析[C].浙江省地质学会学术年会.2013.
[2]李春宝.浅谈桩基埋管地源热泵系统[J].岩土工程技术,2013,27(3):147-149.
[3]卢予北,吴烨,陈莹.浅层地热能水源井工程问题与技术研究[J].探矿工程(岩土钻掘工程),2011,38(8):1-5.
[4]卢予北.可再生能源的新成员——浅层地热能[J].探矿工程(岩土钻掘工程),2008(8):1-4.
[5]王雯璐,吴烨,陈莹,等.地源热泵回填材料配比优选室内试验研究[J].水电能源科学,2014,32(6):141-144.
[6]罗迎宾,姚文,卢洁. 基坑内垂直地埋管施工技术应用[C].四季春中国地源热泵行业高层论坛. 2013.
[7]严秋桔.地源热泵垂直埋管在深基坑内设计问题探讨[J].门窗,015(3):214-214.
[8]吴烨.浅层地热能开发的地质环境问题及关键技术研究[D].中国地质大学,2014.
[9]吴烨.河南省浅层地热能开发的环境地质问题[J].人民黄河,2012,34(4):61-62,65.
[10]蔡建军.天津某项目底板下埋管地源热泵系统应用研究[D].天津大学,2016.
[11]郭磊.地埋管地源热泵系统在南京某商业综合体建筑中的应用[J].制冷与空调,2016,16(8):70-73.
[12]陈莹. 地埋管地源热泵回填材料实验研究[D].中国地质大学(北京),2008.
[13]陈剑亮.临江软基承压水环境下超深基坑的地源热泵埋管施工关键技术[J].建筑施工,2016,38(5):607-609.
[14]谢昊.地源热泵技术在高层建筑中的应用[J].连云港置业技术学院学报,2012,25(1):10-13.
[15]曹杨.大型地源热泵埋管系统设计与施工技术研究[J].工程建设与设计,2013(6):176-179,182.
作者:申云飞1,2,张 晗3,陈 莹1,2,黄 烜2
(1.河南省深部探矿工程技术研究中心,河南 郑州 450053;2.河南省地矿局第二地质环境调查院,河南 郑州 450053;3.河南省煤炭地质勘察研究总院,河南 郑州,450052)
来源:网络,版权归原作者所有