喝酒的人不一定都了解过酿酒工艺,但多多少少会有过想要自己酿酒的心思。今天给大家介绍一个简单容易操作的酿酒方法,让大家可以在闲暇时间体验一下酿酒的感觉。

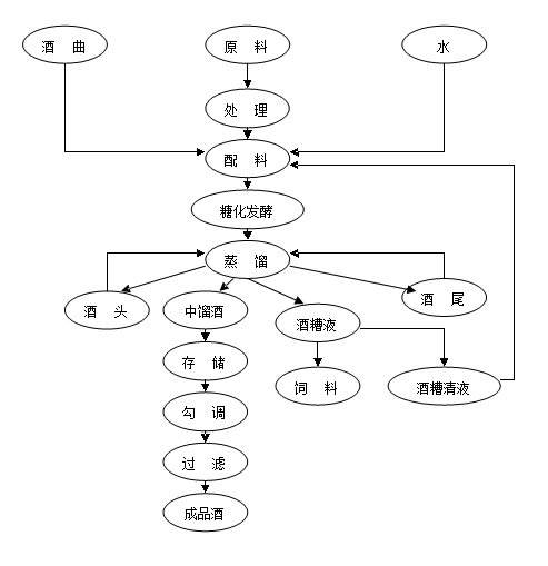
酿酒主要流程图
这里推荐给大家的是小曲米酒,小曲米酒做法简单,成本低廉,发酵期短,大约在7天左右,出酒率高,一斤米差不多可以酿出一斤酒,酿制需要的设备简单,操作也很简便。而且它酒体柔和,纯净、爽口,酒质清香纯正,极其适合想尝试下酿酒工艺的动手达人。
酿酒首先需要有酒曲。酒曲也叫酒药,在酿造过程中同时起糖化作用和发酵作用,是酿酒必备的材料。在经过强烈蒸煮的白米中,移入曲霉的分生孢子,然后保温,米粒上便会茂盛地生长出菌丝,就是酒曲。曲霉产生的淀粉酶会糖化米里面的淀粉,因此,自古以来就有把它和麦芽同时作为原料糖,用来制造酒、甜酒和豆酱等。用麦类代替米制成的酒曲叫做麦曲。

酒曲磨成粉末状
小曲是酒曲的一种。小曲中的微生物是经过自然选育培养的,并经过曲母接种,使有益微生物大量繁殖,所以不仅含有糖化菌类,同时含有酵酵菌类。酒曲一般可以在食品超市调味品柜台、个体调味品店或者网店等地方买到。
好了,下面正式开始我们的小曲米酒酿造课
准备材料:
大米若干(10斤以内为宜),曲药若干(500克左右),甑子(蒸屉)一个,家用搅拌机一个(不嫌麻烦可以手动搅拌),家用抖料机一个(也可以手动抖料),家用发酵罐三到五个(可以用有盖子的塑料桶代替),家用蒸馏器一个。

西南按区传统炊具——甄子

蒸屉
制作步骤:
1、清洗原料,即大米,用水浇洗就可以了;(类比淘米)
2、把洗清后的大米装到甑子里蒸煮, 圆气后15~20分钟,上盖再蒸20分钟,泼第一次水,蒸熟后再泼第二次水,保证饭粒熟透,一般蒸熟后饭粒的水量的为62~63%;(类比煮饭)
3、蒸熟后的饭粒在抖料机中搅散,鼓风扬凉,使饭温降至36~37度,加入原料量0.8~1.0%小曲粉(或药小曲粉)拌匀。(加曲药)

未磨碎的酒曲
4、拌匀后的饭倒入罐(缸)中,饭层厚度为10~13厘米,中央挖一空洞,下缸时品温控制在32~34度,加上盖子,进行培菌糖化,经20~22小时,品温升到 37~39°度为最好,根据气温做好调温工作,糖化总时间为20~24小时。(糖化)
5、糖化24小时后,加入原料量120~125% 的水拌匀,品温控制在36 °左右,醅料糖分应在9~10%,总酸量不超过0.7%,酒精含量为2~3%(容量),拌匀后每一饭缸分为两个醅缸进行发酵6~7天,注意温度调节,发酵结束,酒精含量达到11~12%(容量),总酸量小于1.5%,残糖接近于零为正常。(发酵)
6、完成以上步骤以后,将酒醅进行蒸馏。蒸馏的时候,火力要匀,接酒温度控制在30度,并截去酒头酒尾,以保证初馏酒的醇和。(蒸馏)

蒸馏图解
7、完成:蒸出的酒盛入容器,待冷却后酒可以喝啦(不怕烫嘴的话,趁热也行)。你也可以把酿成的酒当做基酒,和其他的酒勾兑在一起调成各种味道(这个步骤需要天赋,没天赋的不要模仿)。
三、注意事项
1.拌酒曲一定要在饭凉透以后。否则,热米会把霉菌杀死。结果要么是酸的臭的,要么就没动静。
2.糖化和发酵过程中一定要密闭好,保持半密封状态,也就是保证发酵气体能排出,外面空气无法进入。否则酿出的酒会又酸又涩。
3.做酒酿的关键是干净,一切东西都不能沾生水和油,手和各种工具都要洗干净,否则就会发霉长毛
4.如果发酵过度,米就空了,全是水,酒味过于浓烈;如果发酵不足,米有生米粒,硌牙,甜味不足,酒味也不足。
5.酿酒要用温水,生水含有其他微生物和杂质会破坏酒质,热水会杀死酒曲里的微生物。
如果想得到更强的酒味,可以尝试:1.适当延长甜酒发酵时间;
2.在制作过程中加拌甜酒曲时放少许酵母,但量一定要少。
这就是家酿小曲米酒的整个制作流程,高梁、玉米、稻谷、小麦、荞麦等其他材料的流程也大同小异(不过要小粉碎成颗粒再蒸煮,时间上也要相应延长)。怎么样,是不是很简单,快去试试吧。

浅酌一杯