桌球打的好不好,有的人全看命运,信奉“大力出奇迹”。

有的人则全凭手感,认为通过不断练习,自然能掌握那些奇妙的击球角度,并达到炉火纯青的地步。

你知道我有多努力吗
但其实,桌球游戏的击球方式、运动轨迹都包含着丰富的数学和物理知识。这些知识操控着桌球的走势,掌握了这些理论知识,你也可以成为一名桌球游戏大师。
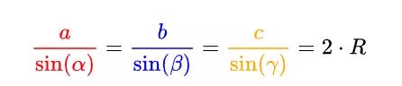
必备知识1:正弦定理

如果我们将图中的A点看作白球,B点看作目标球,C点看作球洞的话,要怎样操作才能达到进球的效果呢?这时候理解正弦定理可以帮助你找到最佳的进球方案。正弦定理公式如下所示:

在这个公式中,R为平面三角形ABC外接圆的半径。
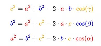
必备知识2:余弦定理
同样在上图中的任意三角形中,合理利用余弦定理公式,也能帮助你找到用白球A将球B击入球洞C点的最佳方案。余弦定理如下所示:

必备知识3:反射定理

如上图所示,红色为球初始运动线,蓝色为球反射线,灰色矩形可看作球台边库,紫色中线为分界面中间的法向量,则可以得出如下假设图形:

通过这个反射图形假设,我们可以更好的想象球撞库后的运动轨迹。
必备知识4:碰撞原理
①正面碰撞(完全弹性)
两物体碰撞之后系统的动能和动量守恒,没有额外的能量转换。
结论为:当两球质量相等时,进行完全弹性的理想正面碰撞后,两球的速度会发生交换。
②正面碰撞(完全非弹性)非弹性碰撞指的是,发生碰撞前后物体的动能有一部分转化为了内能,而完全非弹性指的是尽可能最大化地将动能转化为内能,也就是两个物体共同以一个速度运动。
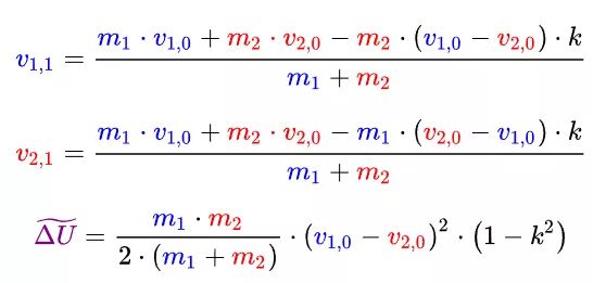
③实际碰撞实际碰撞是混合完全弹性和完全非弹性两种情况的碰撞。如果定义完全弹性正碰之后两球速度为V1,1,V2,1;正碰之前两球速度为V1,0,V2,0,台球所用树脂材料的恢复系数为k(好材料的恢复系数k≈1),则有:

当k=0时为完全非弹性碰撞,当k=1时,为完全弹性碰撞。对于一个实际碰撞问题来说,两球碰撞后速度和内能转化,都可以用k来表示,具体表示为:

此外还包括像矢量分解;二维碰撞的一般情况和特殊情况;刚体动力学;转动惯性与旋转能量:匀质球的转动惯性,刚体定轴转动定律;摩擦力:静摩擦、滑动摩擦与滚动摩擦力等一系列必备知识点……
瞄准技术
熬过了漫长又枯燥的基础理论知识,想必你一定是一个有耐心又有毅力的桌球游戏爱好者,同时也具备了学习更多技能的理论基础。那么要想在实战中掌握如何击球的秘诀,瞄准技术便是接下来要学习的主要内容。相信大家明白一个道理,当我们观察一个物体时,物体离我们越近,那么它就会显得大一些,如果离我们越远,看起来就会显得小一些,事实上,物体的实际大小没有改变,这就是所谓的视觉效应。视觉效应会影响我们对母球大小的判断,从而影响我们瞄准的角度。

所以当我们近距离瞄准时会主观觉得球显得很大,而远一点则显得很小。
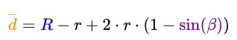
那么还有两个问题需要我们讨论:首先,母球变大对击球薄厚的影响;其次,母球球心与进球点之间、目标球球心之间的距离会使母球看起来变大多少?首先我们母球变大后击球薄厚影响作如下解释,如上图所示,两球最大重合厚度为d[上划线],其中灰色大圆为母球变大后大小,小圆为母球原本大小,红色为目标球大小,灰色小圆和红色圆最大重合半径为,则有:


第二个问题关于母球与各个球心之间距离则有如下解释,如上图所示,D代表母球与进球点之间的距离,母球球心与目标球心之间距离D0,角度α,β,则可得出各变量之间关系为:
走位技术
最后我们来聊聊大家最感兴趣的话题,也是桌球游戏的进阶技能——走位技术。走位技术就是通过击打母球的不同位置来控制母球的运动轨迹。

0:中杆/定杆,理想情况下,母球不加任何旋转,只会滑动。
1:高杆/跟杆/上旋球,母球旋转向前,碰撞后有跟随效果。
2:低杆/缩杆/下旋球,母球旋转向后,碰撞后向后行进。
3&4:边塞,3,4分别代表左右,出杆后母球分别向右向左旋转,可改变母球碰库后的反弹角度。
5:左上塞,效果是高杆和左塞的叠加。
6:右上塞,效果是高杆和右塞的叠加。
7:左下塞,效果是低杆和左塞的叠加。
8:右下塞,效果是低杆和右塞的叠加。
A:斯登跟进,母球击中目标后跟进的距离比高杆跟进的距离要短。
C:斯登后退,母球击中目标后后退的距离比低杆后退的距离要短。
B&D:斯登塞,母球击中目标后改变运动方向。
通过击打母球的上述位置可以达到相应的母球运动效果。学了这么多高端知识和公式,“大力出奇迹”的旧观念就赶快抛弃吧,很多人总是保持相同的力度击球,这样是不可取的,击球的力度应该随着不同情况而随时改变,这个需要长久的练习,才能精确掌握不同角度下应该采用的出杆力度。以上就是本次桌球游戏相关的公式和技术讲解了,各位桌球爱好者们,牢记公式,勤加练习,“一杆清台”不是梦!
END
审核:朱广思,北京科普作协会员。
蝌蚪五线谱原创文章/转载注明来源