1.0.1 为使木结构设计中贯彻执行国家的技术经济政策,做到技术先进、安全适用、经济合理、确保质量和保护环境,制定本标准。
1.0.2 本标准适用于建筑工程中方木原木结构、胶合木结构和轻型木结构的设计。
1.0.3 木结构的设计除应符合本标准外,尚应符合国家现行有关标准的规定。
2 术语和符号
2.1 术 语
2.1.1 木结构 timber structure 采用以木材为主制作的构件承重的结构。
2.1.2 原木 log 伐倒的树干经打枝和造材加工而成的木段。
2.1.3 锯材 sawn timber 原木经制材加工而成的成品材或半成品材,分为板材与方材。
2.1.4 方木 square timber 直角锯切且宽厚比小于3的锯材。又称方材。
2.1.5 板材 plank 直角锯切且宽厚比大于或等于3的锯材。
2.1.6 规格材 dimension lumber 木材截面的宽度和高度按规定尺寸加工的规格化木材。
2.1.7 结构复合木材 structural composite lumber 采用木质的单板、单板条或木片等,沿构件长度方向排列组坯,并采用结构用胶粘剂叠层胶合而成,专门用于承重结构的复合材料。包括旋切板胶合木、平行木片胶合木、层叠木片胶合木和定向木片胶合木,以及其他具有类似特征的复合木产品。
2.1.8 胶合木层板 glued lamina 用于制作层板胶合木的板材,接长时采用胶合指形接头。
2.1.9 木材含水率 moisture content of wood 木材内所含水分的质量占木材绝干质量的百分比。
2.1.10 顺纹 parallel to graln 木构件木纹方向与构件长度方向一致。
2.1.11 横纹 perpendicular to grain 木构件木纹方向与构件长度方向垂直。
2.1.12 斜纹 an angle to grain 木构件木纹方向与构件长度方向形成某一角度。
2.1.13 层板胶合木 glued laminated timber 以厚度不大于45mm的胶合木层板沿顺纹方向叠层胶合而成的木制品。也称胶合木或结构用集成材。
2.1.14 正交层板胶合木 cross laminated timber 以厚度为15mm~45mm的层板相互叠层正交组坯后胶合而成的木制品。也称正交胶合木。
2.1.15 胶合原木 laminated log 以厚度大于30mm、层数不大于4层的锯材沿顺纹方向胶合而成的木制品。常用于井干式木结构或梁柱式木结构。
2.1.16 工字形木搁栅 wood I-joist 采用规格材或结构用复合材作翼缘,木基结构板材作腹板,并采用结构胶粘剂胶结而组成的工字形截面的受弯构件。
2.1.17 墙骨 stud 轻型木结构的墙体中按一定间隔布置的竖向承重骨架构件。
2.1.18 目测分级木材 visually stress-graded lumber 采用肉眼观测方式来确定木材材质等级的木材。
2.1.19 机械应力分级木材 machine stress-rated lumber 采用机械应力测定设备对木材进行非破坏性试验,按测定的木材弯曲强度和弹性模量确定强度等级的木材。
2.1.20 齿板 truss plate 经表面镀锌处理的钢板冲压成多齿的连接件,用于轻型木桁架节点的连接或受拉杆件的接长。
2.1.21 木基结构板 wood-based structural panels 以木质单板或木片为原料,采用结构胶粘剂热压制成的承重板材,包括结构胶合板和定向木片板。
2.1.22 木基结构板剪力墙 shear wall of wood-based structural panels 面层采用木基结构板,墙骨柱或间柱采用规格材、方木或胶合木而构成的,用于承受竖向和水平作用的墙体。
2.1.23 指接节点 finger joint 在连接点处,采用胶粘剂连接的锯齿状的对接节点,简称指接。指接分为胶合木层板的指接和胶合木构件的指接。
2.1.24 速生材 fast-growing wood 生长快、成材早、轮伐期短的木材。
2.1.25 方木原木结构 sawn and log timber structures 承重构件主要采用方木或原木制作的建筑结构。
2.1.26 轻型木结构 light wood frame constructlon 用规格材、木基结构板或石膏板制作的木构架墙体、楼板和屋盖系统构成的建筑结构。
2.1.27 胶合木结构 glued lamlnated timber structures 承重构件主要采用胶合木制作的建筑结构。也称层板胶合木结构。
2.1.28 井干式木结构 log cabins;log house 采用截面经适当加工后的原木、方木和胶合原木作为基本构件,将构件水平向上层层叠加,并在构件相交的端部采用层层交叉咬合连接,以此组成的井字形木墙体作为主要承重体系的木结构。
2.1.29 穿斗式木结构 CHUANDOU-style timber structure 按屋面檩条间距,沿房屋进深方向竖立一排木柱,檩条直接由木柱支承,柱子之间不用梁,仅用穿透柱身的穿枋横向拉结起来,形成一榀木构架。每两榀木构架之间使用斗枋和纤子连接组成承重的空间木构架。
2.1.30 抬梁式木结构 TAILIANG-style timber structure 沿房屋进深方向,在木柱上支承木梁,木梁上再通过短柱支承上层减短的木梁,按此方法叠放数层逐层减短的梁组成一榀木构架。屋面檩条放置于各层梁端。
2.1.31 木框架剪力墙结构 post and beam with shear wall construction 在方木原木结构中,主要由地梁、梁、横架梁与柱构成木框架,并在间柱上铺设木基结构板,以承受水平作用的木结构体系。
2.1.32 正交胶合木结构 cross laminated timber structure 墙体、楼面板和屋面板等承重构件采用正交胶合木制作的建筑结构。其结构形式主要为箱形结构或板式结构。
2.1.33 销连接 dowel-type fasteners 是采用销轴类紧固件将被连接的构件连成一体的连接方式。销连接也称为销轴类连接。销轴类紧固件包括螺栓、销、六角头木螺钉、圆钉和螺纹钉。
2.2 符 号
2.2.1 作用和作用效应 C——设计对变形、裂缝等规定的相应限值; Cr——齿板剪-拉复合承载力设计值; M——弯矩设计值; Mx、My——构件截面x轴和y轴的弯矩设计值; M0——横向荷载作用下跨中最大初始弯矩设计值; Mr——齿板受弯承载力设计值; N——轴向力设计值; Nb——保险螺栓所承受的拉力设计值; Nr——板齿承载力设计值; Ns——板齿抗滑移承载力设计值; Rd——结构或结构构件的抗力设计值; Rf——按耐火极限燃烧后残余木构件的承载力设计值; Sd——作用组合的效应设计值; Sk——火灾发生后验算受损木构件的荷载偶然组合的效应设计值; Tr——齿板受拉承载力设计值; V——剪力设计值; Vd——剪力墙、楼盖和屋盖受剪承载力设计值; Vr——齿板受剪承载力设计值; Wd——六角头木螺钉的抗拔承载力设计值; Zd——销轴类紧固件每个剪面的受剪承载力设计值; Z——受剪承载力参考设计值; ω——构件按荷载效应的标准组合计算的挠度; ωx、ωy——荷载效应的标准组合计算的沿构件截面x轴和y轴方向的挠度。
2.2.2 材料性能或结构的设计指标 Cr1、Cr2——沿l1、l2方向齿板剪-拉复合强度设计值; E——木质材料弹性模量平均值; Ek——木质材料弹性模量标准值; fck、fc——木质材料顺纹抗压及承压强度标准值、设计值; fcα——木质材料斜纹承压强度设计值; fc,90——木材的横纹承压强度设计值; fmk、fm——木质材料抗弯强度标准值、设计值; ftk、ft——木质材料顺纹抗拉强度标准值、设计值; fvk、fv——木质材料顺纹抗剪强度标准值、设计值; fvd——采用木基结构板材作面板的剪力墙、楼盖和屋盖的抗剪强度设计值; fem——主构件销槽承压强度标准值; fes——次构件销槽承压强度标准值; fyb——销轴类紧固件抗弯强度标准值; ft,j,k、fm,j,k——指接节点的抗拉强度标准值、宽度方向的抗弯强度标准值; G——木构件材料的全干相对密度; Kw——剪力墙的抗剪刚度; nr——板齿强度设计值; ns——板齿抗滑移强度设计值; tr——齿板抗拉强度设计值; υr——齿板抗剪强度设计值; βn——木材燃烧1.00h的名义线性炭化速率; [ω]——受弯构件的挠度限值; [λ]——受压构件的长细比限值。
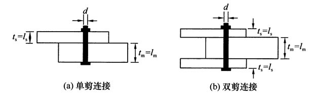
2.2.3 几何参数 A——构件全截面面积,或齿板表面净面积; An——构件净截面面积; A0——受压构件截面的计算面积; Ac——承压面面积; Be——楼盖、屋盖平行于荷载方向的有效宽度; b——构件的截面宽度; bn——变截面受压构件截面的有效边长; bt——垂直于拉力方向的齿板截面计算宽度; bv——剪面宽度,或平行于剪力方向的齿板受剪截面宽度; d——原木或销轴类紧固件的直径; def——有效炭化层厚度; e0——构件的初始偏心距; h——构件的截面高度; hd——六角头木螺钉有螺纹部分打入主构件的有效长度; hn——受弯构件在切口处净截面高度; hw——剪力墙的高度; I——构件的全截面惯性矩; i——构件截面的回转半径; l——构件长度; l0——受压构件的计算长度; le——受弯构件计算长度; lv——剪面计算长度 S——剪切面以上的截面面积对中性轴的面积矩; tm——单剪连接或双剪连接时,较厚构件或中部构件的厚度; ts——单剪连接或双剪连接时,较薄构件或边部构件的厚度; W——构件的全截面抵抗矩; Wn——构件的净截面抵抗矩; Wnx、Wny——构件截面沿x轴和y轴的净截面抵抗矩; α——上弦与下弦的夹角,或作用力方向与构件木纹方向的夹角; λ——受压构件的长细比; λB——受弯构件的长细比。
2.2.4 计算系数及其他 a——支座条件计算系数; Cm——一含水率调整系数; Ct——温度环境调整系数; KB——局部受压长度调整系数; KZcp——局部受压尺寸调整系数; kd——永久荷载效应控制时,木质材料强度设计值调整系数; kh——桁架端节点弯矩影响系数; kg——销轴类紧固件受剪承载力的群栓组合作用系数; kl——长度计算系数; kmin——销槽承压最小有效长度系数; t——而火极限; β一材料剪切变形相关系数; ρ——可变荷载标准值与永久荷载标准值的比率; φ——轴心受压构件的稳定系数; φl——受弯构件的侧向稳定系数; φm——考虑轴向力和初始弯矩共同作用的折减系数; φy——轴心压杆在垂直于弯矩作用平面》/—y方向按长细比入v确定的稳定系数; ψv——考虑沿剪面长度剪应力分布不均匀的强度折减系数; γ0——结构重要性系数; γRE——构件承载力抗震调整系数。
3 材 料
3.1 木 材
3.1.1 承重结构用材可采用原木、方木、板材、规格材、层板胶合木、结构复合木材和木基结构板。
3.1.2 方木、原木和板材可采用目测分级,选材标准应符合本标准附录A第A.1节的规定。在工厂目测分级并加工的方木构件的材质等级应符合表3.1.2的规定,选材标准应符合本标准附录A第A.1.4条的规定。不应采用商品材的等级标准替代本标准规定的材质等级。
表3.1.2 工厂加工方木构件的材质等级

3.1.3 方木原木结构的构件设计时,应根据构件的主要用途选用相应的材质等级。当采用目测分级木材时,不应低于表3.1.3-1的要求;当采用工厂加工的方木用于梁柱构件时,不应低于表3.1.3-2的要求。
表3.1.3-1 方木原木构件的材质等级要求

表3.1.3-2 工厂加工方木构件的材质等级要求

3.1.4 方木和原木应从本标准表4.3.1-1和表4.3.1-2所列的树种中选用。主要的承重构件应采用针叶材;重要的木制连接件应采用细密、直纹、无节和无其他缺陷的耐腐硬质阔叶材。
3.1.5 在木结构工程中使用进口木材应符合下列规定: 1 应选择天然缺陷和干燥缺陷少、耐腐性较好的树种; 2 应有经过认可的认证标识,并应附有相关技术文件; 3 应符合国家对木材进口的动物植物检疫的相关规定; 4 应有中文标识,并应按国别、等级、规格分批堆放,不应混淆;储存期间应防止霉变、腐朽和虫蛀; 5 首次在我国使用的树种应经试验确定物理力学性能后按本标准要求使用。
3.1.6 轻型木结构用规格材可分为目测分级规格材和机械应力分级规格材。目测分级规格材的材质等级分为七级;机械分级规格材按强度等级分为八级,其等级应符合表3.1.6的规定。
表3.1.6 机械应力分级规格材强度等级表

3.1.7 轻型木结构用规格材截面尺寸应符合本标准附录B第B.1.1条的规定。对于速生树种的结构用规格材截面尺寸应符合本标准附录B第B.1.2条的规定。
3.1.8 当规格材采用目测分级时,分级的选材标准应符合本标准附录A第A.3节的规定。当采用目测分级规格材设计轻型木结构构件时,应根据构件的用途按表3.1.8的规定选用相应的材质等级。
表3.1.8 目测分级规格材的材质等级

3.1.9 在木结构中使用木基结构板、结构复合木材和工字形木搁栅,应符合下列规定: 1 用作屋面板、楼面板和墙面板的木基结构板应符合国家现行标准《木结构覆板用胶合板》GB/T 22349、《定向刨花板》LY/T 1580的相关规定。进口木基结构板应有认证标识、板材厚度以及板材的使用条件等说明。 2 用作梁或柱的结构复合木材的强度应满足设计要求。进口结构复合木材应有认证标识以及其他相关的说明文件。 3 对于用作楼盖和屋盖的工字形木搁栅应符合现行国家标准《建筑结构用木工字梁》GB/T 28985的相关规定。进口工字形木搁栅应有认证标识以及其他相关的说明文件。
3.1.10 胶合木层板应采用目测分级或机械分级,并宜采用针叶材树种制作。除普通胶合木层板的材质等级标准应符合本标准附录A第A.2节的规定外,其他胶合木层板分级的选材标准应符合现行国家标准《胶合木结构技术规范》GB/T 50708及《结构用集成材》GB/T 26899的相关规定。
3.1.11 正交胶合木采用的层板应符合下列规定: 1 层板应采用针叶材树种制作,并应采用目测分级或机械分级的板材; 2 层板材质的等级标准应符合本标准第3.1.10条的规定,当层板直接采用规格材制作时,材质的等级标准应符合本标准附录A第A.3节的相关规定; 3 横向层板可采用由针叶材树种制作的结构复合材; 4 同一层层板应采用相同的强度等级和相同的树种木材(图3.1.11)。

图3.1.11 正交胶合木截面的层板组合示意图 1-层板长度方向与构件长度方向相同的顺向层板;2-层板长度方向与构件宽度方向相同的横向层板
3.1.12 制作构件时,木材含水率应符合下列规定: 1 板材、规格材和工厂加工的方木不应大于19%。 2 方木、原木受拉构件的连接板不应大于18%。 3 作为连接件,不应大于15%。 4 胶合木层板和正交胶合木层板应为8%~15%,且同一构件各层木板间的含水率差别不应大于5%。 5 井干式木结构构件采用原木制作时不应大于25%;采用方木制作时不应大于20%;采用胶合原木木材制作时不应大于18%。
3.1.13 现场制作的方木或原木构件的木材含水率不应大于25%。当受条件限制,使用含水率大于25%的木材制作原木或方木结构时,应符合下列规定: 1 计算和构造应符合本标准有关湿材的规定; 2 桁架受拉腹杆宜采用可进行长短调整的圆钢; 3 桁架下弦宜选用型钢或圆钢;当采用木下弦时,宜采用原木或破心下料(图3.1.13)的方木; 4 不应使用湿材制作板材结构及受拉构件的连接板; 5 在房屋或构筑物建成后,应加强结构的检查和维护,结构的检查和维护可按本标准附录C的规定进行。

图3.1.13 破心下料的方木
3.2 钢材与金属连接件
3.2.1 承重木结构中使用的钢材宜采用Q235钢、Q345钢、Q390钢和Q420钢,并应分别符合现行国家标准《碳素结构钢》GB/T 700和《低合金高强度结构钢》GB/T 1591的有关规定。
3.2.2 对于承重木结构中的钢材,当采用国外进口金属连接件时,应提供产品质量合格证书,并应符合设计要求且应对其材料进行复验。
3.2.3 下列情况的承重构件或连接材料宜采用D级碳素结构钢或D级、E级低合金高强度结构钢: 1 直接承受动力荷载或振动荷载的焊接构件或连接件; 2 工作温度等于或低于-30℃的构件或连接件。
3.2.4 用于承重木结构中的钢材应具有抗拉强度、伸长率、屈服强度和硫、磷含量的合格保证,对焊接构件或连接件尚应有含碳量的合格保证。钢木桁架的圆钢下弦直径d大于20mm的拉杆,以及焊接承重结构或是重要的非焊接承重结构采用的钢材,还应具有冷弯试验的合格保证。
3.2.5 选用的普通螺栓应符合现行国家标准《六角头螺栓》GB/T 5782和《六角头螺栓 C级》GB/T 5780的规定。
3.2.6 高强度螺栓应符合现行国家标准《钢结构用高强度大六角头螺栓》GB/T 1228、《钢结构用高强度大六角螺母》GB/T 1229、《钢结构用高强度垫圈》GB/T 1230、《钢结构用高强度大六角头螺栓、大六角螺母、垫圈技术条件》GB/T 1231、《钢结构用扭剪型高强度螺栓连接副》GB/T 3632的有关规定。
3.2.7 锚栓可采用现行国家标准《碳素结构钢》GB/T 700中规定的Q235钢或《低合金高强度结构钢》GB/T 1591中规定的Q345钢制成。
3.2.8 钉应符合现行国家标准《钢钉》GB 27704的规定。
3.2.9 钢构件焊接用的焊条,应符合现行国家标准《非合金钢及细晶粒钢焊条》GB/T 5117及《热强钢焊条》GB/T 5118的规定。焊条的型号应与主体金属的力学性能相适应。
3.2.10 金属连接件及螺钉等应进行防腐蚀处理或采用不锈钢产品。与防腐木材直接接触的金属连接件及螺钉等应避免防腐剂引起的腐蚀。
3.2.11 对处于外露环境,且对耐腐蚀有特殊要求的或在腐蚀性气态和固态介质作用下的承重钢构件,宜采用耐候钢,并应符合现行国家标准《耐候结构钢》GB/T 4171的规定。
3.2.12 对于完全外露的金属连接件可采取涂刷防火涂料等防火措施,防火涂料的涂刷工艺应满足设计要求,以及国家现行相关标准的规定。
3.2.13 钢木混合结构中使用的钢材,应符合现行国家标准《钢结构设计标准》GB 50017和《建筑抗震设计规范》GB 50011中对钢材的有关规定。
4 基本规定
4.1 设计原则
4.1.1 本标准应采用以概率理论为基础的极限状态设计法。
4.1.2 本标准所采用的设计基准期应为50年。
4.1.3 木结构设计使用年限应符合表4.1.3的规定。
表4.1.3 设计使用年限

4.1.4 根据建筑结构破坏后果的严重程度,建筑结构划分为三个安全等级。设计时应根据具体情况,按表4.1.4规定选用相应的安全等级。
表4.1.4 建筑结构的安全等级

注:对有特殊要求的建筑物、*物文**建筑和优秀历史建筑,其安全等级可根据具体情况另行确定。
4.1.5 建筑物中各类结构构件的安全等级,宜与整个结构的安全等级相同,对其中部分结构构件的安全等级,可根据其重要程度适当调整,但不应低于三级。
4.1.6 当确定承重结构用材的强度设计值时,应计入荷载持续作用时间对木材强度的影响。
4.1.7 对于承载能力极限状态,结构构件应按荷载效应的基本组合,采用下列极限状态设计表达式:
γ0Sd≤Rd (4.1.7)
式中:γ0——结构重要性系数,应按现行国家标准《建筑结构可靠性设计统一标准》GB 50068的相关规定选用; Sd——承载能力极限状态下作用组合的效应设计值,应按现行国家标准《建筑结构荷载规范》GB 50009进行计算; Rd——结构或结构构件的抗力设计值。
4.1.8 结构构件的截面抗震验算应采用下列设计表达式:
S≤R/γRE (4.1.8)
式中:γRE——承载力抗震调整系数; S——地震作用效应与其他作用效应的基本组合;按现行国家标准《建筑抗震设计规范》GB 50011进行计算; R——结构构件的承载力设计值。
4.1.9 对正常使用极限状态,结构构件应按荷载效应的标准组合,采用下列极限状态设计表达式:
Sd≤C (4.1.9)
式中:Sd——正常使用极限状态下作用组合的效应设计值; C——设计对变形、裂缝等规定的相应限值。
4.1.10 风荷载和多遇地震作用时,木结构建筑的水平层间位移不宜超过结构层高的1/2500
4.1.11 木结构建筑的楼层水平作用力宜按抗侧力构件的从属面积或从属面积上重力荷载代表值的比例进行分配。此时水平作用力的分配可不考虑扭转影响,但是对较长的墙体宜乘以1.05~1.10的放大系数。
4.1.12 风荷载作用下,轻型木结构的边缘墙体所分配到的水平剪力宜乘以1.2的调整系数。
4.1.13 木结构应采取可靠措施,防止木构件腐朽或被虫蛀,应确保达到设计使用年限。
4.1.14 承重结构用胶必须满足结合部位的强度和耐久性的要求,应保证其胶合强度不低于木材顺纹抗剪和横纹抗拉的强度,并应符合环境保护的要求。
4.1.15 木结构中的钢构件设计,应符合现行国家标准《钢结构设计标准》GB 50017的规定。
4.2 抗震设计规定
4.2.1 木结构建筑抗震设计应符合现行国家标准《建筑抗震设计规范》GB 50011的相关规定。
4.2.2 木结构建筑应按现行国家标准《建筑抗震设防分类标准》GB 50223的规定确定其抗震设防类别和相应的抗震设防标准。
4.2.3 木结构建筑的结构体系应符合下列规定: 1 平面布置宜简单、规则,减少偏心。楼层平面宜连续,不宜有较大凹凸或开洞。 2 竖向布置宜规则、均匀,不宜有过大的外挑和内收。结构的侧向刚度沿竖向自下而上宜均匀变化,竖向抗侧力构件宜上下对齐,并应可靠连接。 3 结构薄弱部位应采取措施提高抗震能力。当建筑物平面形状复杂、各部分高度差异大或楼层荷载相差较大时,可设置防震缝;防震缝两侧的上部结构应完全分离,防震缝的最小宽度不应小于100mm。 4 当有挑檐时,挑檐与主体结构应具有良好的连接。
4.2.4 除木结构混合建筑外,木结构建筑中不宜出现表4.2.4中规定的一种或多种不规则类型。
表4.2.4 木结构不规则结构类型表

4.2.5 当木结构建筑的结构不规则时,应进行地震作用计算和内力调整,并应对薄弱部位采取有效的抗震构造措施。
4.2.6 当轻型木结构建筑进行抗震验算时,水平地震作用可采用底部剪力法计算。相应于结构基本自振周期的水平地震影响系数α1可取水平地震影响系数最大值。
4.2.7 以剪切变形为主,且质量和刚度沿高度分布比较均匀的胶合木结构或其他方木原木结构的抗震验算可采用底部剪力法。其结构基本自振周期特性应按空间结构模型计算。
4.2.8 对于扭转不规则或楼层抗侧力突变的轻型木结构,以及质量和刚度沿高度分布不均匀的胶合木结构或方木原木结构的抗震验算,应采用振型分解反应谱法。
4.2.9 木结构建筑的地震影响系数应根据烈度、场地类别、设计地震分组和结构自振周期以及阻尼比按现行国家标准《建筑抗震设计规范》GB 50011的相关规定确定。木结构建筑地震作用计算阻尼比可取0.05。
4.2.10 木结构建筑进行构件抗震验算时,承载力抗震调整系数γRE应符合表4.2.10的规定。当仅计算竖向地震作用时,各类构件的承载力抗震调整系数γRE均应取为1.0。
表4.2.10 承载力抗震调整系数

4.2.11 当木结构建筑为本标准表4.2.4中规定的结构不规则建筑时,楼层水平力应按抗侧力构件层间等效抗侧刚度的比例分配,并应同时计入扭转效应对各抗侧力构件的附加作用。
4.2.12 对于抗震设防烈度为8度、9度时的大跨度及长悬臂胶合木结构,应按现行国家标准《建筑抗震设计规范》GB 50011的规定进行竖向地震作用下的验算。
4.2.13 木结构建筑进行构件抗震验算时,应符合下列规定: 1 对于支撑上下楼层不连续抗侧力单元的梁、柱或楼盖,其地震组合作用效应应乘以不小于1.15的增大系数; 2 对于具有薄弱层的木结构,薄弱层剪力应乘以不小于1.15的增大系数; 3 轻型木结构在验算屋盖与下部结构连接部位的连接强度及局部承压时,应对地震作用引起的侧向力乘以1.2倍的放大系数。
4.2.14 对于楼、屋面结构上设置的围护墙、隔墙、幕墙、装饰贴面和附属机电设备系统等非结构构件,及其与结构主体的连接,应进行抗震设计。非结构构件抗震验算时,连接件的承载力抗震调整系数γRE可取1.0。
4.2.15 抗震设防烈度为8度和9度地区设计木结构建筑,可采用隔震、消能设计。
4.3 强度设计指标和变形值
4.3.1 方木、原木、普通层板胶合木和胶合原木等木材的设计指标应按下列规定确定: 1 木材的强度等级应根据选用的树种按表4.3.1-1和表4.3.1-2 的规定采用;
表4.3.1-1 针叶树种木材适用的强度等级

表4.3.1-2 阔叶树种木材适用的强度等级

2 木材的强度设计值及弹性模量应按表4.3.1-3 的规定采用。
表4.3.1-3 方木、原木等木材的强度设计值和弹性模量(N/mm2)

注:计算木构件端部的拉力螺栓垫板时,木材横纹承压强度设计值应按“局部表面和齿面”一栏的数值采用。
4.3.2 对于下列情况,本标准表4.3.1-3中的设计指标,尚应按下列规定进行调整: 1 当采用原木,验算部位未经切削时,其顺纹抗压、抗弯强度设计值和弹性模量可提高15%; 2 当构件矩形截面的短边尺寸不小于150mm时,其强度设计值可提高10%; 3 当采用含水率大于25%的湿材时,各种木材的横纹承压强度设计值和弹性模量以及落叶松木材的抗弯强度设计值宜降低10% 。
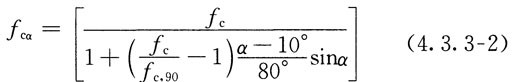
4.3.3 木材斜纹承压的强度设计值,可按下列公式确定: 当α<10°时

当10°<α<90°时

式中:fcα——木材斜纹承压的强度设计值(N/mm2); α——作用力方向与木纹方向的夹角(°) ; fc——木材的顺纹抗压强度设计值(N/mm2); fc,90——木材的横纹承压强度设计值(N/mm2) 。
4.3.4 已经确定的国产树种目测分级规格材的强度设计值和弹性模量应按表4.3.4 的规定取值。
表4.3.4 国产树种目测分级规格材强度设计值和弹性模量

4.3.5 制作胶合木采用的木材树种级别、适用树种及树种组合应符合表4.3.5的规定。
表4.3.5 胶合木适用树种分级表


注:表中花旗松-落叶松、铁-冷杉产地为北美地区。南方松产地为美国。
4.3.6 采用目测分级和机械弹性模量分级层板制作的胶合木的强度设计指标值应按下列规定采用: 1 胶合木应分为异等组合与同等组合二类,异等组合应分为对称异等组合与非对称异等组合。 2 胶合木强度设计值及弹性模量应按表4.3.6-1、表4.3.6-2和表4.3.6-3的规定取值。
表4.3.6-1对称异等组合胶合木的强度设计值和弹性模量(N/mm2)

注:当荷载的作用方向与层板窄边垂直时,抗弯强度设计值fm应乘以0.7的系数,弹性模量E应乘以0.9的系数。
表4.3.6-2 非对称异等组合胶合木的强度设计值和弹性模量(N/mm2)


注:当荷载的作用方向与层板窄边垂直时,抗弯强度设计值fm应采用正向弯曲强度设计值,并乘以0.7 的系数,弹性模量E应乘以0.9的系数。
表4.3.6-3 同等组合胶合木的强度设计值和弹性模量{N/mm2)

3 胶合木构件顺纹抗剪强度设计值应按表4.3.6-4的规定取值。
表4.3.6-4 胶合木构件顺纹抗剪强度设计值(N/mm2)

4 胶合木构件横纹承压强度设计值应按表4.3.6-5的规定取值。
表4.3.6-5 胶合木构件横纹承压强度设计值(N/mm2)

4.3.7 进口北美地区目测分级方木、规格材和结构材的强度设计值及弹性模量,应按本标准附录D的规定采用。
4.3.8 承重结构用材强度标准值及弹性模量标准值,均应按本标准附录E的规定采用。
4.3.9 进行承重结构用材的强度设计值和弹性模量调整应符合下列规定: 1 在不同的使用条件下,强度设计值和弹性模量应乘以表4.3.9-1规定的调整系数。
表4.3.9-1 不同使用条件下木材强度设计值和弹性模量的调整系数


注: 1 当仅有恒荷载或恒荷载产生的内力超过全部荷载所产生的内力的80%时,应单独以恒荷载进行验算; 2 当若干条件同时出现时,表列各系数应连乘。 2 对于不同的设计使用年限,强度设计值和弹性模量应乘以表4.3.9-2规定的调整系数。
表4.3.9-2 不同设计使用年限时木材强度设计值和弹性模量的调整系数

3 对于目测分级规格材,强度设计值和弹性模量应乘以表4.3.9-3规定的尺寸调整系数。
表4.3.9-3 目测分级规格材尺寸调整系数

4 当荷载作用方向与规格材宽度方向垂直时,规格材的抗弯强度设计值fm应乘以表4.3.9-4规定的平放调整系数。
表4.3.9-4 平放调整系数

注:当截面宽度与表中尺寸不同时,可按插值法确定平放调整系数。 5 当规格材作为搁栅,且数量大于3根,并与楼面板、屋面板或其他构件有可靠连接时,其抗弯强度设计值fm应乘以1.15 的共同作用系数。
4.3.10 对于规格材、胶合木和进口结构材的强度设计值和弹性模量,除应符合本标准第4.3.9的规定外,尚应按下列规定进行调整: 1 当楼屋面可变荷载标准值与永久荷载标准值的比率(Qk/Gk)ρ<1.0时,强度设计值应乘以调整系数kd, 调整系数如应按下式进行计算,且如不应大于1.0:
kd=0.83+0.17ρ (4.3.10)
2 当有雪荷载、风荷载作用时,应乘以表4.3.10中规定的调整系数。
表4.3.10 雪荷载、风荷载作用下强度设计值和弹性模量的调整系数

4.3.11 对本标准尚未列入,并由工厂生产的结构复合木材、国产树种规格材、工字形搁栅的强度标准值和设计指标,应按本标准附录F的规定进行确定。
4.3.12 正交胶合木的强度设计值和弹性模量应按本标准附录G的相关规定采用。
4.3.13 对于承重结构用材的横纹抗拉强度设计值可取其顺纹抗剪强度设计值的1/3 。
4.3.14 当使用本标准尚未列入的进口木材时,应由出口国提供该木材的物理力学指标及主要材性,按木结构专门的可靠度分析方法确定其强度设计指标和弹性模量。
4.3.15 受弯构件的挠度限值应按表4.3.15的规定采用。
表4.3.15 受弯构件挠度限值

注:表中l为受弯构件的计算跨度。
4.3.16 对于轻型木桁架的变形限值应符合现行行业标准《轻型木桁架技术规范》JGJ/T 265 的规定。
4.3.17 受压构件的长细比限值应按表4.3.17的规定采用。
表4.3.17 受压构件长细比限值


4.3.18 标注原木直径时,应以小头为准。原木构件沿其长度的直径变化率,可按每米9mm或当地经验数值采用。验算挠度和稳定时,可取构件的中央截面;验算抗弯强度时,可取弯矩最大处截面。
4.3.19 本标准采用的木材名称及常用树种木材主要特性应按本标准附录H的规定执行;主要进口木材现场识别要点及其主要材性应按本标准附录J的规定执行。
4.3.20 当锯材或规格材采用刻痕加压防腐处理时,其弹性模量应乘以不大于0.9的折减系数,其他强度设计值应乘以不大于0.8的折减系数。
5 构件计算
5.1 轴心受拉和轴心受压构件
5.1.1 轴心受拉构件的承载能力应按下式验算:

(5.1.1)
式中:ft——构件材料的顺纹抗拉强度设计值(N/mm2); N——轴心受拉构件拉力设计值(N); An——受拉构件的净截面面积(mm2),计算An时应扣除分布在150mm长度上的缺孔投影面积。
5.1.2 轴心受压构件的承载能力应按下列规定进行验算: 1 按强度验算时,应按下式验算:

(5.1.2-1)
2 按稳定验算时,应按下式验算:

(5.1.2-2)
式中:fc——构件材料的顺纹抗压强度设计值(N/mm2); N——轴心受压构件压力设计值(N); An一一受压构件的净截面面积(mm2); A0——受压构件截面的计算面积(mm2),应按本标准第5.1.3 条的规定确定; φ——轴心受压构件稳定系数,应按本标准第5.1.4条的规定确定。
5.1.3 按稳定验算时受压构件截面的计算面积,应按下列规定采用: 1 无缺口时,取A0=A,A为受压构件的全截面面积; 2 缺口不在边缘时(图5.1.3a),取A0=0.9A; 3 缺口在边缘且为对称时(图5.1.3b),取A0=An; 4 缺口在边缘但不对称时(图5.1.3c),取A0=An,且应按偏心受压构件计算; 5 验算稳定时,螺栓孔可不作为缺口考虑; 6 对于原木应取平均直径计算面积。

图5.1.3 受压构件缺口
5.1.4 轴心受压构件稳定系数φ的取值应按下列公式确定:

(5.1.4-1)

(5.1.4-2)
当λ>λc时

(5.1.4-3)
当λ≤λc时

(5.1.4-4)
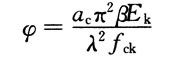
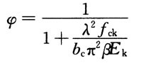
式中: λ——受压构件长细比; i——构件截面的回转半径(mm); l0——受压构件的计算长度(mm),应按本标准第5.1.5 条的规定确定; fck——受压构件材料的抗压强度标准值(N/mm2); Ek——构件材料的弹性模量标准值(N/mm2); ac、bc、Cc——材料相关系数,应按表5.1.4的规定取值; β——材料剪切变形相关系数,应按表5.1.4的规定取值。
表5.1.4 相关系数的取值

5.1.5 受压构件的计算长度应按下式确定:
l0=kll (5.1.5)
式中:l0=计算长度; l——构件实际长度; kl——长度计算系数,应按表5.1.5的规定取值。
表5.1.5 长度计算系数kl的取值

5.1.6 变截面受压构件中,回转半径应取构件截面每边的有效边长bn进行计算。有效边长bn应按下列规定确定: 1 变截面矩形构件的有效边长bn应按下式计算:

(5.1.6-1)
式中:bmin——受压构件计算边的最小边长; bmax—一受压构件计算边的最大边长; a——支座条件计算系数,应按表5.1.6的规定取值。 2 当构件支座条件不符合表5.1.6中的规定时,截面有效边长bn可按下式计算:

(5.1.6-2)
表5.1.6 计算系数a的取值

5.2 受弯构件
5.2.1 受弯构件的受弯承载能力应按下列规定进行验算: 1 按强度验算时,应按下式验算:

(5.2.1-1)
2 按稳定验算时,应按下式验算:

(5.2.1-2)
式中:fm——构件材料的抗弯强度设计值( N/mm2); M——受弯构件弯矩设计值(N·mm); Wn——受弯构件的净截面抵抗矩(mm3); φl——受弯构件的侧向稳定系数,应按本标准第5.2.2条和第5.2.3条确定。
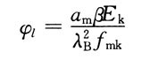
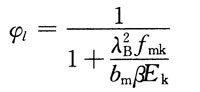
5.2.2 受弯构件的侧向稳定系数φl应按下列公式计算:

(5.2.2-1)

(5.2.2-2)
当λB>λm时

(5.2.2-3)
当λB≤λm时

(5.2.2-4)
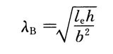
式中:Ek——构件材料的弹性模量标准值(N/mm2); fmk——受弯构件材料的抗弯强度标准值(N/mm2); λB——受弯构件的长细比,不应大于50; b——受弯构件的截面宽度(mm); h——受弯构件的截面高度(mm); am、bm、cm——材料相关系数,应按表5.2.2-1的规定取值, le——受弯构件计算长度,应按表5.2. 2-2的规定采用; β一材料剪切变形相关系数,应按表5.2.2-1的规定取值。
表5.2.2-1 相关系数的取值

表5.2.2-2 受弯构件的计算长度

续表5.2.2-2

注:表中lu为受弯构件两个支撑点之间的实际距离。当支座处有侧向支撑而沿构件长度方向无附加支撑时,lu为支座之间的距离;当受弯构件在构件中间点以及支座处有侧向支撑时,lu为中间支撑与端支座之间的距离。
5.2.3 当受弯构件的两个支座处设有防止其侧向位移和侧倾的侧向支承,并且截面的最大高度对其截面宽度之比以及侧向支承满足下列规定时,侧向稳定系数φl应取为1: 1 h/b≤4时,中间未设侧向支承; 2 4<h/b≤5时,在受弯构件长度上有类似檩条等构件作为侧向支承; 3 5<h/b≤6.5时,受压边缘直接固定在密铺板上或直接固定在间距不大于610mm的搁栅上; 4 6.5<h/b≤7.5时,受压边缘直接固定在密铺板上或直接固定在间距不大于610mm的搁栅上,并且受弯构件之间安装有横隔板,其间隔不超过受弯构件截面高度的8倍; 5 7.5<h/b≤9时,受弯构件的上下边缘在长度方向上均有限制侧向位移的连续构件。
5.2.4 受弯构件的受剪承载能力应按下式验算:

(5.2.4)
式中:fv——构件材料的顺纹抗剪强度设计值(N/mm2); V——受弯构件剪力设计值(N),应符合本标准第5.2.5条规定; I——构件的全截面惯性矩(mm4); b——构件的截面宽度(mm); S——剪切面以上的截面面积对中性轴的面积矩(mm3)。
5.2.5 当荷载作用在梁的顶面,计算受弯构件的剪力设计值V时,可不考虑梁端处距离支座长度为梁截面高度范围内,梁上所有荷载的作用。
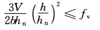
5.2.6 受弯构件上的切口设计应符合下列规定: 1 应尽量减小切口引起的应力集中,宜采用逐渐变化的锥形切口,不宜采用直角形切口; 2 简支梁支座处受拉边的切口深度,锯材不应超过梁截面高度的1/4;层板胶合材不应超过梁截面高度的1/10; 3 可能出现负弯矩的支座处及其附近区域不应设置切口。
5.2.7 矩形截面受弯构件支座处受拉面有切口时,实际的受剪承载能力,应按下式验算:

(5.2.7)
式中:fv——构件材料的顺纹抗剪强度设计值(N/mm2); b——构件的截面宽度(mm); h——构件的截面高度(mm); hn——受弯构件在切口处净截面高度(mm); V——剪力设计值(N),可按工程力学原理确定,并且不考虑本标准第5.2.5条的规定。
5.2.8 受弯构件局部承压的承载能力应按下式进行验算:

(5.2.8)
式中:Nc——局部压力设计值(N); b一局部承压面宽度(mm); lb——局部承压面长度(mm); fc,90——构件材料的横纹承压强度设计值(N/mm2),当承压面长度lb≤150mm,且承压面外缘距构件端部不小于75mm时,fc,90取局部表面横纹承压强度设计值,否则应取全表面横纹承压强度设计值; KB——局部受压长度调整系数,应按表5.2.8-1的规定取值,当局部受压区域内有较高弯曲应力时,KB=1; KZcp——局部受压尺寸调整系数,应按表5.2.8-2的规定取值。
表5.2.8-1 局部受压长度调整系数KB

注:1 当承压长度为中间值时,可采用插入法求出KB值; 2 局部受压的区域离构件端部不应小于75mm。
表5.2.8-2 局部受压尺寸调整系数KZcp

注:比值在1.0~2.0之间时,可采用插入法求出KZcp值。
5.2.9 受弯构件的挠度应按下式验算:
ω≤[ω] (5.2.9)
式中: [ω]——受弯构件的挠度限值(mm),应按本标准表4.3.15的规定采用; ω——构件按荷载效应的标准组合计算的挠度(mm)。
5.2.10 双向受弯构件应按下列规定进行验算: 1 按承载能力验算时,应按下式验算:

(5.2.10-1)
2 按挠度验算时,挠度应按下式计算:

(5.2.10-2)
式中:Mx、My——相对于构件截面x轴和y轴产生的弯矩设计值(N·mm); fmx、fmy——构件正向弯曲或侧向弯曲的抗弯强度设计值(N/mm2); Wnx、Wny——构件截面沿x轴、y轴的净截面抵抗矩(mm3); ωx、ωy——荷载效应的标准组合计算的对构件截面x轴、y轴方向的挠度(mm)。
5.3 拉弯和压弯构件
5.3.1 拉弯构件的承载能力应按下式验算:

(5.3.1)
式中:N、M一轴向拉力设计值(N)、弯矩设计值(N·mm); An、Wn——按本标准第5.1.1条规定计算的构件净截面面积(mm2)、净截面抵抗矩(mm3); ft、fm——构件材料的顺纹抗拉强度设计值、抗弯强度设计值( N/mm2)。
5.3.2 压弯构件及偏心受压构件的承载能力应按下列规定进行验算: 1 按强度验算时,应按下式验算:

2 按稳定验算时,应按下式验算:

(5.3.2-2)
φm == (1-k)2(1-K0) (5.3.2-3)

(5.3.2-4)

(5.3.2-5)
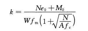
式中:φ——轴心受压构件的稳定系数; A0——计算面积,按本标准第5.1.3条确定; φm——考虑轴向力和初始弯矩共同作用的折减系数; N——轴向压力设计值(N); M0——横向荷载作用下跨中最大初始弯矩设计值(N·mm); e0——构件轴向压力的初始偏心距(mm),当不能确定时,可按0.05倍构件截面高度采用; fc、fm——考虑调整系数后的构件材料的顺纹抗压强度设计值、抗弯强度设计值(N/mm2); W——构件全截面抵抗矩(mm3)。
5.3.3 压弯构件或偏心受压构件弯矩作用平面外的侧向稳定性时,应按下式验算:

(5.3.3)
式中:φy——轴心压杆在垂直于弯矩作用平面y-y方向按长细比λy确定的轴心压杆稳定系数,按本标准第5.1.4条确定; φl——受弯构件的侧向稳定系数,按本标准第5.2.2条和第5.2.3条确定; N、M——轴向压力设计值(N)、弯曲平面内的弯矩设计值(N·mm); W——构件全截面抵抗矩(mm3)。
6 连接设计
6.1 齿连接
6.1.1 齿连接可采用单齿或双齿的形式(图6.1.1),并应符合下列规定:

图6.1.1 齿连接示意1-附木
1 齿连接的承压面应与所连接的压杆轴线垂直。 2 单齿连接应使压杆轴线通过承压面中心。 3 木桁架支座节点的上弦轴线和支座反力的作用线,当采用方木或板材时,宜与下弦净截面的中心线交汇于一点;当采用原木时,可与下弦毛截面的中心线交汇于一点,此时,刻齿处的截面可按轴心受拉验算。 4 齿连接的齿深,对于方木不应小于20mm;对于原木不应小于30mm。 5 桁架支座节点齿深不应大于h/3,中间节点的齿深不应大于h/4,h为沿齿深方向的构件截面高度。 6 双齿连接中,第二齿的齿深hc应比第一齿的齿深hc1至少大20mm。单齿和双齿第一齿的剪面长度不应小于4.5倍齿深。 7 当受条件限制只能采用湿材制作时,木桁架支座节点齿连接的剪面长度应比计算值加长50mm。
6.1.2 单齿连接应按下列规定进行验算: 1 按木材承压时,应按下式验算:

(6.1.2-1)
式中:fcα——木材斜纹承压强度设计值(N/mm2),应按本标准第4.3.3条的规定确定; N——作用于齿面上的轴向压力设计值(N); Ac——齿的承压面面积(mm2)。 2 按木材受剪时,应按下式验算:

(6.1.2-2)
式中:fv——木材顺纹抗剪强度设计值(N/mm2); V——作用于剪面上的剪力设计值(N); lv——前面计算长度(mm),其取值不应大于齿深hc的8倍; bv——剪面宽度(mm); φv——沿剪面长度剪应力分布不匀的强度降低系数,应按表6.1.2的规定采用。
表6.1.2 单齿连接抗剪强度降低系数

6.1.3 双齿连接的承压应按本标准公式(6.1.2-1)验算,但其承压面面积应取两个齿承压面面积之和。 双齿连接的受剪,仅考虑第二齿剪面的工作,应按本标准公式(6.1.2-2)计算,并应符合下列规定: 1 计算受剪应力时,全部剪力V应由第二齿的剪面承受; 2 第二齿剪面的计算长度lv的取值,不应大于齿深hc的10倍; 3 双齿连接沿剪面长度剪应力分布不匀的强度降低系数φv值应按表6.1.3的规定采用。
表6.1.3 双齿连接抗剪强度降低系数

6.1.4 桁架支座节点采用齿连接时,应设置保险螺栓,但不考虑保险螺栓与齿的共同工作。木桁架下弦支座应设置附木,并与下弦用钉钉牢。钉子数量可按构造布置确定。附木截面宽度与下弦相同,其截面高度不应小于h/3,h为下弦截面高度。
6.1.5 保险螺栓的设置和验算应符合下列规定: 1 保险螺栓应与上弦轴线垂直。 2 保险螺栓应按本标准第4.1.15条的规定进行净截面抗拉验算,所承受的轴向拉力应按下式确定:
Nb=Ntan(60°-α) (6.1.5)
式中:Nb——保险螺栓所承受的轴向拉力(N); N——上弦轴向压力的设计值(N); α——上弦与下弦的夹角(°)。 3 保险螺栓的强度设计值应乘以1.25的调整系数。 4 双齿连接宜选用两个直径相同的保险螺栓,但不考虑本标准第7.1.12条规定的调整系数。
6.2 销连接
6.2.1 销轴类紧固件的端距、边距、间距和行距最小尺寸应符合表6.2.1的规定。当采用螺栓、销或六角头木螺钉作为紧固件时,其直径不应小于6mm。
表6.2.1 销轴类紧固件的端距、边距、间距和行距的最小值尺寸

注:1 受力端为销槽受力指向端部;非受力端为销槽受力背离端部;受力边为销槽受力指向边部;非受力边为销槽受力背离端部。 2 表中l为紧固件长度,d为紧固件的直径;并且l/d值应取下列两者中的较小值; 1)紧固件在主构件中的贯人深度lm与直径d的比值lm/d; 2)紧固件在侧面构件中的总贯人深度ls与直径d的比值ls/d。 3 当钉连接不预钻孔时,其端距、边距、间距和行距应为表中数值的2倍。
6.2.2 交错布置的销轴类紧固件(图6.2.2),其端距、边距、间距和行距的布置应符合下列规定: 1 对于顺纹荷载作用下交错布置的紧固件,当相邻行上的紧固件在顺纹方向的间距不大于4倍紧固件的直径(d)时,则可将相邻行的紧固件确认是位于同一截面上。 2 对于横纹荷载作用下交错布置的紧固件,当相邻行上的紧固件在横纹方向的间距不小于4d时,则紧固件在顺纹方向的间距不受限制;当相邻行上的紧固件在横纹方向的间距小于4d时,则紧固件在顺纹方向的间距应符合本标准表6.2.1的规定。

图6.2.2 紧固件交错布置几何位置示意
6.2.3 当六角头木螺钉承受轴向上拔荷载时,端距e1、边距e2、间距s以及行距r应满足表6.2.3的规定。
表6.2.3 六角头木螺钉承受轴向上拔荷载时的端距、边距、间距和行距的最小值

注:表中d为六角头木螺钉的直径。
6.2.4 对于采用单剪或对称双剪的销轴类紧固件的连接(图6.2.4),当剪面承载力设计值按本标准第6.2.5条的规定进行计算时,应符合下列规定: 1 构件连接面应紧密接触; 2 荷载作用方向应与销轴类紧固件轴线方向垂直; 3 紧固件在构件上的边距、端距以及间距应符合本标准表6.2.1或表6.2.3中的规定; 4 六角头木螺钉在单剪连接中的主构件上或双剪连接中侧构件上的最小贯人深度不应包括端尖部分的长度,并且,最小贯入深度不应小于六角头木螺钉直径的4倍。

图6.2.4 销轴类紧固件的连接方式
6.2.5 对于采用单剪或对称双剪连接的销轴类紧固件,每个剪面的承载力设计值Zd应按下式进行计算:
Zd=CmCnCtkgZ (6.2.5)
式中:Cm——含水率调整系数,应按表6.2.5中规定采用; Cn——设计使用年限调整系数,应按本标准表4.3.9-2的规定采用; Ct——温度调整系数,应按表6.2.5中规定采用; kg——群栓组合系数,应按本标准附录K的规定确定; Z——承载力参考设计值,应按本标准第6.2.6条的规定确定。
表6.2.5 使用条件调整系数


6.2.6 对于单剪连接或对称双剪连接,单个销的每个剪面的承载力参考设计值Z应按下式进行计算:
Z=kmintsdfes (6.2.6)
式中:kmin——为单剪连接时较薄构件或双剪连接时边部构件的销槽承压最小有效长度系数,应按本标准第6.2.7条的规定确定; ts——较薄构件或边部构件的厚度(mm); d——销轴类紧固件的直径(mm); fes——构件销槽承压强度标准值(N/mm2),应按本标准第6.2.8条的规定确定。
6.2.7 销槽承压最小有效长度系数kmin应按下列4种破坏模式进行计算,并应按下式进行确定:
kmin=min[kⅠ,kⅡ,kⅢ,kⅣ] (6.2.7-1)
1 屈服模式工时,应按下列规定计算销槽承压有效长度系数kⅠ: 1)销槽承压有效长度系数kⅠ应按下式计算:

(6.2.7-2)
式中:Re——为fem/fes; Rt——为tm/ts; tm——厚构件或中部构件的厚度(mm); fem——较厚构件或中部构件的销槽承压强度标准值(N/mm2),应按本标准第6.2.8条的规定确定; γⅠ——屈服模式Ⅰ的抗力分项系数,应按表6.2.7的规定取值; 2)对于单剪连接时,应满足ReRt≤1.0。 3)对于双剪连接时,应满足ReRt≤2.0,且销槽承压有效长度系数kⅠ应按下式计算:

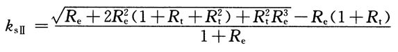
2 屈服模式Ⅱ时,应按下列公式计算单剪连接的销槽承压有效长度系数kⅡ:


(6.2.7-5)
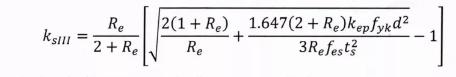
式中:γⅡ——屈服模式Ⅱ的抗力分项系数,应按表6.2.7的规定取值。 3 屈服模式Ⅲ时,应按下列规定计算销槽承压有效长度系数kⅢ: 1)销槽承压有效长度系数kⅢ按下式计算:

(6.2.7-6)
式中:γⅢ——屈服模式Ⅲ的抗力分项系数,应按表6.2.7的规定取值。 2)当单剪连接的屈服模式为Ⅲm时:

(6.2.7-7)
式中:fyk——销轴类紧固件屈服强度标准值(N/mm2); kep——弹塑性强化系数。 3)当屈服模式为Ⅲs时:

(6.2.7-8)
4)当采用Q235钢等具有明显屈服性能的钢材时,取kep=1.0;当采用其他钢材时,应按具体的弹塑性强化性能确定,其强化性能无法确定时,仍应取kep=1.0; 4 屈服模式Ⅳ时,应按下列公式计算销槽承压有效长度系数kⅣ:

(6.2.7-9)

(6.2.7-10)
式中:γⅣ——屈服模式Ⅳ的抗力分项系数,应按表6.2.7的规定取值。
表6.2.7 构件连接时剪面承载力的抗力分项系数γ取值表

6.2.8 销槽承压强度标准值应按下列规定取值: 1 当6mm≤d≤25mm时,销轴类紧固件销槽顺纹承压强度fe,0应按下式确定:
fe,0=77G (6.2.8-1)
式中:G——主构件材料的全干相对密度;常用树种木材的全干相对密度按本标准附录L的规定确定。 2 当6mm≤d≤25mm时,销轴类紧固件销槽横纹承压强度fe,90应按下式确定:

(6.2.8-2)
式中:d——销轴类紧固件直径(mm)。 3 当作用在构件上的荷载与木纹呈夹角α时,销槽承压强度fe,α应按下式确定:

(6.2.8-3)
式中:α——荷载与木纹方向的夹角。 4 当d<6mm时,销槽承压强度fe应按下式确定:
fe=115G1.84 (6.2.8-4)
5 当销轴类紧固件插入主构件端部并且与主构件木纹方向平行时,主构件上的销槽承压强度取fe,90。 6 紧固件在钢材上的销槽承压强度fes应按现行国家标准《钢结构设计标准》GB 50017规定的螺栓连接的构件销槽承压强度设计值的1.1倍计算。 7 紧固件在混凝土构件上的销槽承压强度按混凝土立方体抗压强度标准值的1.57倍计算。
6.2.9 当销轴类紧固件的贯入深度小于10倍销轴直径时,承压面的长度不应包括销轴尖端部分的长度。
6.2.10 互相不对称的三个构件连接时,剪面承载力设计值Zd应按两个侧构件中销槽承压长度最小的侧构件作为计算标准,按对称连接计算得到的最小剪面承载力设计值作为连接的剪面承载力设计值。
6.2.11 当四个或四个以上构件连接时,每一剪面应按单剪连接计算。连接的承载力设计值应取最小的剪面承载力设计值乘以剪面个数和销的个数。
6.2.12 当单剪连接中的荷载与紧固件轴线呈除90°外的一定角度时,垂直于紧固件轴线方向作用的荷载分量不应超过紧固件剪面承载力设计值。平行于紧固件轴线方向的荷载分量,应采取可靠的措施,满足局部承压要求。
6.2.13 当六角头木螺钉承受侧向荷载和外拔荷载共同作用时(图6.2.13),其承载力设计值应按下式确定:

(6.2.1 3)
式中:α——木构件表面与荷载作用方向的夹角; hd——六角头木螺钉有螺纹部分打入主构件的有效长度(mm); Wd——六角头木螺钉的抗拔承载力设计值(N/mm),应按本标准第6.2.14条的规定确定; Zd——六角头木螺钉的剪面受剪承载力设计值(kN)。

图6.2.13 六角头木螺钉受侧向、外拔荷载
6.2. 14 六角头木螺钉的抗拔承载力设计值Wd应按下式计算:
Wd=CmCtkgCegW (6.2.14)
式中:Cm——含水率调整系数,应按本标准表6.2.5中规定采用; Ct——温度环境调整系数,应按本标准表6.2.5中规定采用; kg——组合系数,应按本标准附录K的规定确定; Ceg——端部木纹调整系数,应按表6.2.14的规定采用; W——抗拔承载力参考设计值(N/mm);按本标准第6.2.15条确定。
表6.2.14 端面调整系数

6.2.15 当六角头木螺钉的轴线与木纹垂直时,六角头木螺钉的抗拔承载力参考设计值应按下式确定:
W=43.2G3/2/d3/4 (6.2.15)
式中:W——抗拔承载力参考设计值(N/mm); G——主构件材料的全干相对密度,按本标准附录L的规定确定; d——木螺钉直径(mm)。
6.3 齿板连接
6.3.1 齿板连接适用于轻型木结构建筑中规格材桁架的节点连接及受拉杆件的接长。齿板不应用于传递压力。下列条件,不宜采用齿板连接: 1 处于腐蚀环境; 2 在潮湿的使用环境或易产生冷凝水的部位,使用经阻燃剂处理过的规格材。
6.3.2 齿板应由镀锌薄钢板制作。镀锌应在齿板制造前进行,镀锌层重量不应低于275g/m2。钢板可采用Q235碳素结构钢和Q345低合金高强度结构钢。齿板采用的钢材性能应满足表 6.3.2的要求。对于进口齿板,当有可靠依据时,也可采用其他型号的钢材。
表6.3.2 齿板采用钢材的性能要求

6.3.3 齿板连接应按下列规定进行验算: 1 应按承载能力极限状态荷载效应的基本组合,验算齿板连接的板齿承载力、齿板受拉承载力、齿板受剪承载力和剪一拉复合承载力; 2 应按正常使用极限状态标准组合,验算板齿的抗滑移承载力。
6.3.4 在节点处,应按轴心受压或轴心受拉构件进行构件净截面强度验算,构件净截面高度hn应按下列规定取值: 1 在支座端节点处,下弦杆件的净截面高度hn应为杆件截面底边到齿板上边缘的尺寸,上弦杆件的hn应为齿板在杆件截面高度方向的垂直距离(图6.3.4a); 2 在腹杆节点和屋脊节点处,杆件的净截面高度hn应为齿板在杆件截面高度方向的垂直距离(图6.3.4b、c)。

图6.3.4 杆件净截面尺寸示意
6.3.5 齿板的板齿承载力设计值Nr应按下列公式计算:
Nr—=nr—kh—A (6.3.5-1)kh—=0.85-0.05(12tanα-2.0) (6.3.5-2)
式中:Nr———板齿承载力设计值(N); nr——板齿强度设计值(N/mm2),按本标准附录M的规定取值; A——齿板表面净面积(mm2),是指用齿板覆盖的构件面积减去相应端距a及边距e内的面积(图6.3.5),端距α应平行于木纹量测,并不大于12mm或1/2齿长的较大者,边距e应垂直于木纹量测,并取6mm或1/4齿长的较大者; kh——桁架端节点弯矩影响系数,应符合0.65≤kh≤0.85的规定; α——桁架端节点处上、下弦间的夹角(°)。

图6.3.5 齿板的端距和边距示意
6.3.6 齿板受拉承载力设计值应按下式计算:
Tr=ktrbt (6.3.6)
式中:Tr——齿板受拉承载力设计值(N); bt——垂直于拉力方向的齿板截面计算宽度(mm),应按本标准第6.3.7条的规定取值; tr一一齿板抗拉强度设计值(N/mm),按本标准附录M的规定取值; k——受拉弦杆对接时齿板抗拉强度调整系数,应按本标准第6.3.7条的规定取值。
6.3.7 受拉弦杆对接时,齿板计算宽度bt和抗拉强度调整系数k应按下列规定取值: 1 当齿板宽度小于或等于弦杆截面高度h时,齿板的计算宽度bt可取齿板宽度,齿板抗拉强度调整系数应取k=1.0。 2 当齿板宽度大于弦杆截面高度h时,齿板的计算宽度bt可取bt=h+x,x取值应符合下列规定: 1)对接处无填块时,x应取齿板凸出弦杆部分的宽度,但不应大于13mm; 2)对接处有填块时,x应取齿板凸出弦杆部分的宽度,但不应大于89mm。 3 当齿板宽度大于弦杆截面高度h时,抗拉强度调整系数k应按下列规定取值: 1)对接处齿板凸出弦杆部分无填块时,应取k=1.0; 2)对接处齿板凸出弦杆部分有填块且齿板凸出部分的宽度小于等于25mm时,应取k=1.0; 3)对接处齿板凸出弦杆部分有填块且齿板凸出部分的宽度大于25mm时,k应按下式计算:
k=k1+βk2 (6.3.7)
式中:β=x/h;k1、k2为计算系数,应按表6.3.7的规定取值。 4 对接处采用的填块截面宽度应与弦杆相同。在桁架节点处进行弦杆对接时,该节点处的腹杆可视为填块。
表6.3.7 计算系数k1、k2

注:当h值为表中数值之间时,可采用插入法求出k1、k2值。
6.3.8 齿板受剪承载力设计值应按下式计算:
Vr=νrbv (6.3.8)
式中:Vr——齿板受剪承载力设计值(N); bv——行于剪力方向的齿板受剪截面宽度(mm); νr——齿板抗剪强度设计值(N/mm),应按本标准附录M的规定取值。
6.3.9 当齿板承受剪一拉复合力时(图6.3.9),齿板剪-拉复合承载力设计值应按下列公式计算:

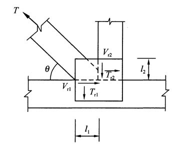
图6.3.9 齿板剪-拉复合受力
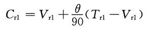
Cr=Cr1l1+Cr2l2 (6.3.9-1)

(6.3.9-2)

(6.3.9-3)
式中:Cr——齿板剪-拉复合承载力设计值(N); Cr1——沿l1方向齿板剪-拉复合强度设计值(N/mm); Cr2——沿l2方向齿板剪-拉复合强度设计值(N/mm); l1——所考虑的杆件沿l1方向的被齿板覆盖的长度(mm); l2——所考虑的杆件沿l2方向的被齿板覆盖的长度(mm); Vr1——沿l1方向齿板抗剪强度设计值(N/mm); Vr2——沿l2方向齿板抗剪强度设计值(N/mm); Tr1——沿l1方向齿板抗拉强度设计值(N/mm); Tr2——沿l2方向齿板抗拉强度设计值(N/mm); θ——杆件轴线间夹角(°)。
6.3.10 板齿抗滑移承载力应按下式计算:
Ns=nsA (6.3.10)
式中:Ns——板齿抗滑移承载力(N); ns——板齿抗滑移强度设计值(N/mm2),应按本标准附录M的规定取值; A——齿板表面净截面(mm2)。
6.3.11 弦杆对接处,当需考虑齿板的受弯承载力时,齿板受弯承载力设计值Mr应按下列公式计算:

式中:Mr——齿板受弯承载力设计值(N·mm); tr——齿板抗拉强度设计值(N/mm); ωb——齿板截面计算的有效宽度(mm); bt——齿板计算宽度(mm),应按本标准第6.3.7条的规定确定; k——齿板抗拉强度调整系数,应按本标准第6.3.7条的规定确定; y——弦杆中心线与木/钢组合中心轴线的距离(mm),可为正数或负数;当y在齿板之外时,弯矩公式(6.3.11-1)失效,不能采用; b、h——分别为弦杆截面宽度、高度(mm); Tf——对接节点处的拉力设计值(N),对接节点处受压时取0; Mf——对接节点处的弯矩设计值(N·mm); fc——规格材顺纹抗压强度设计值(N/mm2)。
6.3.12 齿板连接的构造应符合下列规定: 1 齿板应成对的对称设置于构件连接节点的两侧; 2 采用齿板连接的构件厚度不应小于齿嵌入构件深度的两倍; 3 在与桁架弦杆平行及垂直方向,齿板与弦杆的最小连接尺寸,在腹杆轴线方向齿板与腹杆的最小连接尺寸均应符合表6.3.12的规定; 4 弦杆对接所用齿板宽度不应小于弦杆相应宽度的65%。
表6.3.12 齿板与桁架弦杆、腹杆最小连接尺寸(mm)

6.3.13 受压弦杆对接时,应符合下列规定: 1 对接各杆件的齿板板齿承载力设计值不应小于该杆轴向压力设计值的65%; 2 对竖切受压节点(图6.3.13),对接各杆的齿板板齿承载力设计值不应小于垂直于受压弦杆对接面的荷载分量设计值的65%与平行于受压弦杆对接面的荷载分量设计值之矢量和。

图6.3.13 弦杆对接时竖切受压节点示意
7 方木原木结构
7.1 一般规定
7.1.1 方木原木结构可采用下列结构类型: 1 穿斗式木结构; 2 抬梁式木结构; 3 井干式木结构; 4 木框架剪力墙结构; 5 梁柱式木结构; 6 作为楼盖或屋盖在混凝土结构、砌体结构、钢结构中组合使用的混合木结构。
7.1.2 方木原木结构构件应采用经施工现场分级或工厂分等分级的方木、原木制作,亦可采用结构复合木材和胶合原木制作。
7.1.3 由地震作用或风荷载产生的水平力应由柱、剪力墙、楼盖和屋盖共同承受。木框架剪力墙结构的基本构造要求可按本标准第9.1节的相关规定执行。
7.1.4 方木原木结构设计应符合下列要求: 1 木材宜用于结构的受压或受弯构件; 2 在受弯构件的受拉边,不应打孔或开设缺口; 3 对于在干燥过程中容易翘裂的树种木材,用于制作桁架时,宜采用钢下弦;当采用木下弦,对于原木其跨度不宜大于15m,对于方木其跨度不应大于12m,且应采取防止裂缝的有效措施; 4 木屋盖宜采用外排水,采用内排水时,不应采用木制天沟; 5 应保证木构件,特别是钢木桁架,在运输和安装过程中的强度、刚度和稳定性,宜在施工图中提出注意事项; 6 木结构的钢材部分应有防锈措施。
7.1.5 在可能造成灾害的台风地区和山区风口地段,方木原木结构的设计应采取提高建筑物抗风能力的有效措施,并应符合下列规定: 1 应尽量减小天窗的高度和跨度; 2 应采用短出檐或封闭出檐,除檐口的瓦面应加压砖或座灰外,其余部位的瓦面也宜加压砖或座灰; 3 山墙宜采用硬山墙; 4 檩条与桁架或山墙、桁架与墙或柱、门窗框与墙体等的连接均应采取可靠锚固措施。
7.1.6 在结构的同一节点或接头中有两种或多种不同的连接方式时,计算时应只考虑一种连接传递内力,不应考虑几种连接的共同工作。
7.1.7 杆系结构中的木构件,当有对称削弱时,其净截面面积不应小于构件毛截面面积的50%;当有不对称削弱时,其净截面面积不应小于构件毛截面面积的60%。
7.1.8 圆钢拉杆和拉力螺栓的直径,应按计算确定,但不宜小于12mm。圆钢拉杆和拉力螺栓的方形钢垫板尺寸,可按下列公式计算: 1 垫板面积(mm2)

2 垫板厚度(mm)

式中:N——轴心拉力设计值(N); fcα——木材斜纹承压强度设计值(N/mm2),应根据轴心拉力N与垫板下木构件木纹方向的夹角,按本标准第4.3.3条的规定确定; f——钢材抗弯强度设计值(N/mm2)。
7.1.9 系紧螺栓的钢垫板尺寸可按构造要求确定,其厚度不宜小于0.3倍螺栓直径,其边长不应小于3.5倍螺栓直径。当为圆形垫板时,其直径不应小于4倍螺栓直径。
7.1.10 桁架的圆钢下弦、三角形桁架跨中竖向钢拉杆、受振动荷载影响的钢拉杆以及直径等于或大于20mm的钢拉杆和拉力螺栓,应采用双螺帽。
7.1.11 在房屋或构筑物建成后,应按本标准附录C对木结构进行检查和维护。对于用湿材制作的木结构,应加强使用前和使用后的第1~2年内的检查和维护工作。
7.1.12 当采用两根圆钢共同受拉时,钢材的强度设计值宜乘以0.85的调整系数。对圆钢拉杆验算螺纹部分的净截面受拉,其强度设计值应按现行国家标准《钢结构设计标准》GB 50017采用。
7.1.13 当剪力墙或木屋盖与砌体结构、钢筋混凝土结构或钢结构等下部结构连接时,应将作用在连接点的水平力和上拔力乘以1.2倍的放大系数。
7.2 梁和柱
7.2.1 当木梁的两端由墙或梁支承时,应按两端简支的受弯构件计算,柱应按两端铰接计算。
7.2.2 矩形木柱截面尺寸不宜小于100mm×100mm,且不应小于柱支承的构件截面宽度。
7.2.3 柱底与基础或与固定在基础上的地梁应有可靠锚固。木柱与混凝土基础接触面应采取防腐防潮措施。位于底层的木柱底面应高于室外地平面300mm。柱与基础的锚固可采用U形扁钢、角钢和柱靴。
7.2.4 梁在支座上的最小支承长度不应小于90mm,梁与支座应紧密接触。
7.2.5 木梁在支座处应设置防止其侧倾的侧向支承和防止其侧向位移的可靠锚固。当梁采用方木制作时,其截面高宽比不宜大于4。对于高宽比大于4的木梁应根据稳定承载力的验算结果,采取必要的保证侧向稳定的措施。
7.2.6 木梁与木柱或钢柱在支座处,可采用U形连接件或连接钢板连接。木梁与砌体或混凝土连接时,木梁不应与砌体或混凝土构件直接接触,并应设置防潮层。
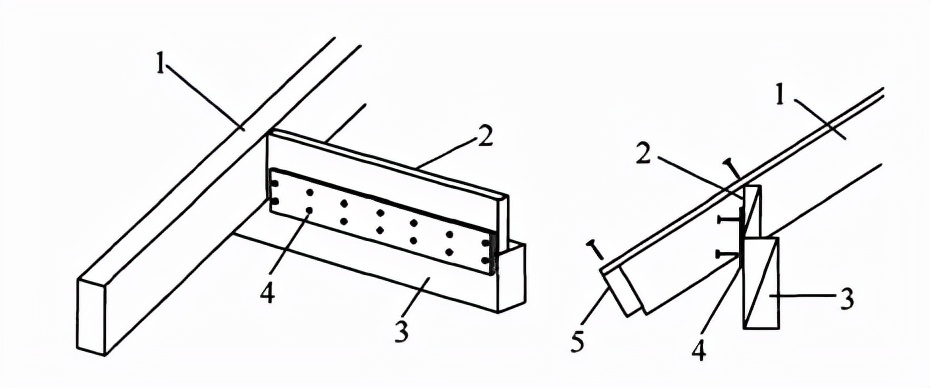
7.3 墙 体
7.3.1 方木原木结构的墙体应按下列构造类型选用: 1 墙体应采用轻质材料墙板作为填充墙,并应直接与木框架进行连接; 2 木骨架组合墙体应采用墙面板、规格材作为墙体材料,并应直接与木框架进行连接; 3 木框架剪力墙应采用墙面板、间柱和方木构件作为墙体材料,并与木框架的梁柱进行连接,木框架剪力墙应分为隐柱墙和明柱墙两种(图7.3.1);

图7.3.1 木框架剪力墙构造示意
1-与框架柱截面高度相同的间柱;2-截面高度小于框架柱的间柱;3-墙面板 4 井干式木结构墙体应采用截面经过适当加工后的方木、原木和胶合原木作为墙体基本构件,水平向上层层咬合叠加组成。
7.3.2 轻质材料墙体按构造要求设计,可不进行结构计算。
7.3.3 木骨架组合墙体应分为承重墙体或非承重墙体。墙体的墙骨柱宽度不应小于40mm,最大间距应为610mm。当承重墙的墙面板采用木基结构板时,其厚度不应小于11mm;当非承重墙的墙面板采用木基结构板时,其厚度不应小于9mm;墙体构造应符合现行国家标准《木骨架组合墙体技术规范》GB/T 50361中规定的相关构造要求。
7.3.4 当木骨架组合墙体作为承重墙体时,墙骨柱应按两端铰接的轴心受压构件计算,构件在平面外的计算长度应为墙骨柱长度。当墙骨柱两侧布置墙面板时,平面内应进行强度验算;外墙墙骨柱应考虑风荷载影响,按两端铰接的压弯构件计算。
7.3.5 木框架剪力墙结构的墙体作为剪力墙时,剪力墙受剪承载力设计值Vd应按下式进行计算:

式中:fvd——单面采用木基结构板作面板的剪力墙的抗剪强度设计值(kN/m),应按本标准附录N的规定取值; l——平行于荷载方向的剪力墙墙肢长度(m)。
7.3.6 木框架剪力墙结构的剪力墙应符合下列规定: 1 墙体两端连接部应设置截面不小于105mm×105mm的端柱; 2 当墙体采用的木基结构板厚度不小于24mm、墙体长度不小于1000mm时,应在墙体中间设置柱子或间柱; 3 当采用的木基结构板厚度小于24mm、墙体长度不小于600mm时,应在墙体中间设置间柱; 4 墙体面板宜采用竖向铺设,当采用横向铺设时,面板拼接缝部位应设置横撑;墙体面板应采用钉子将面板与横撑、间柱或柱子连接; 5 间柱截面尺寸应大于30mm×60mm,墙体端部用于连接的间柱截面尺寸应大于45mm×60mm。
7.3.7 当木框架剪力墙结构采用明柱剪力墙时,剪力墙的间柱和端部连接柱截面尺寸应大于30mm×60mm。端部连接柱应采用直径大于3.40mm、长度大于75mm和间距应小于200mm的钉子与柱和梁连接。当面板厚度不小于24mm时,固定端部连接柱的钉子直径应大于3.8mm,长度应大于90mm,间距应小于100mm。
7.3.8 钉连接的单面覆板剪力墙顶部的水平位移应按下式计算:

式中:△——剪力墙顶部水平位移(mm); Vk——每米长度上剪力墙顶部承受的水平剪力标准值(kN/m); hw——剪力墙的高度(mm); Kw——剪力墙的抗剪刚度,应按本标准附录表N.0.1的规定取值。
7.3.9 井干式木结构墙体构件的截面形式可按表7.3.9的规定选用,并且,矩形构件的截面宽度尺寸不宜小于70mm,高度尺寸不宜小于95mm;圆形构件的截面直径不宜小于130mm。
表7.3.9 井干式木结构常用截面形式

注:表中b为截面宽度,φ为圆截面直径。
7.3.10 井干式木结构的墙体除山墙外,每层的高度不宜大于3.6m。墙体水平构件上下层之间应采用木销或其他连接方式进行连接,边部连接点距离墙体端部不应大于700mm,同一层的连接点间距不应大于2.0m,且上下相邻两层的连接点应错位布置。
7.3.11 当采用木销进行水平构件的上下连接时,应采用截面尺寸不小于25mm×25mm的方形木销。连接点处应在构件上预留圆孔,圆孔直径应小于木销截面对角线尺寸3mm~5mm。
7.3.12 井干式木结构在墙体转角和交叉处,相交的水平构件应采用凹凸榫相互搭接,凹凸榫搭接位置距构件端部的尺寸不应小于木墙体的厚度,并不应小于150mm。外墙上凹凸榫搭接处的端部,应采用墙体通高并可调节松紧的锚固螺栓进行加固(图7.3.12)。在抗震设防烈度等于6度的地区,锚固螺栓的直径不应小于12mm;在抗震设防烈度大于6度的地区,锚固螺栓的直径不应小于20mm。

图7.3.12 转角结构示意
1-墙体水平构件;2-凹凸榫;3-通高锚固螺栓
7.3.13 井干式木结构每一块墙体宜在墙体长度方向上设置通高的并可调节松紧的拉结螺栓,拉结螺栓与墙体转角的距离不应大于800mm,拉结螺栓之间的间距不应大于2.0m,直径不应小于12mm。
7.3.14 井干式木结构的山墙或长度大于6.0m的墙体,宜在中间位置设置方木加强件(图7.3.14)或采取其他加强措施进行加强。方木加强件应在墙体的两边对称布置,其截面尺寸不应小于120mm×120mm。加强件之间应采用螺栓连接,并应采用允许上下变形的螺栓孔。

图7.3.14 墙体方木加强件示意
1-墙体构件;2-方木加强件;3-连接螺栓;4-安装间隙(椭圆形孔)
7.3.15 井干式木结构应在长度大于800mm的悬臂墙末端和大开口洞的周边墙端设置墙体加强措施。
7.3.16 井干式木结构墙体构件与构件之间应采取防水和保温隔热措施。构件与混凝土基础接触面之间应设置防潮层,并应在防潮层上设置经防腐防虫处理的垫木。与混凝土基础直接接触的其他木构件应采用经防腐防虫处理的木材。
7.3.17 井干式木结构墙体垫木的设置应符合下列规定: 1 垫木的宽度不应小于墙体厚度。 2 垫木应采用直径不小于12mm、间距不大于2.0m的锚栓与基础锚固。在抗震设防和需要考虑抗风能力的地区,锚栓的直径和间距应满足承受水平作用的要求。 3 锚栓埋人基础深度不应小于300mm,每根垫木两端应各有一根锚栓,端距应为100mm~300mm。
7.3.18 井干式木结构墙体在门窗洞口切断处,宜采用防止墙体沉降造成门窗变形或损坏的有效措施。对于墙体在无门窗的洞口切断处,在墙体端部应采用防止墙体变形的加固措施。
7.3.19 井干式木结构中承重的立柱应设置能调节高度的设施。屋顶构件与墙体结构之间应有可靠的连接,并且连接处应具有调节滑动的功能。
7.3.20 在抗震设防烈度为8度、9度或强风暴地区,井干式木结构墙体通高的拉结螺栓和锚固螺栓应与混凝土基础牢固锚接。
7.4 楼盖及屋盖
7.4.1 木屋面木基层宜由挂瓦条、屋面板、椽条、檩条等构件组成。设计时应根据所用屋面防水材料、房屋使用要求和当地气象条件,选用不同的木基层的组成形式。
7.4.2 屋面木基层中的受弯构件的验算应符合下列规定: 1 强度应按恒荷载和活荷载,或恒荷载和雪荷载组合,以及恒荷载和施工集中荷载组合进行验算; 2 挠度应按恒荷载和活荷载,或恒荷载和雪荷载组合进行验算; 3 在恒荷载和施工集中荷载作用下,进行施工或维修阶段承载能力验算时,构件材料强度设计值应乘以本标准表4.3.9-1中规定的调整系数。
7.4.3 对设有锻锤或其他较大振动设备的木结构房屋,屋面宜设置由木基结构板材构成的屋面结构层。
7.4.4 木框架剪力墙结构的楼盖、屋盖受剪承载力设计值应按下式进行计算:

式中:fvd——采用木基结构板的楼盖、屋盖抗剪强度设计值(kN/m),应按本标准附录P的规定取值; Be——楼盖、屋盖平行于荷载方向的有效宽度(m),应按本标准第9.2.5条的规定取值。
7.4.5 在木框架剪力墙结构中,当屋盖位于空旷的房间上时,应在屋盖的椽条之间或斜撑梁之间设置加固挡块。加固挡块应设置在檩条处,并应采用结构胶合板及圆钉将加固挡块与檩条连接(图7.4.5)。

图7.4.5 加固挡块连接示意
1-椽条或斜撑梁;2-加固挡块;3-檩条;4-结构胶合板连接板;5-封檐板
7.4.6 木框架剪力墙结构采用的剪力墙直接与屋盖构件连接时,应采取保证屋盖构件与剪力墙之间牢固连接的有效措施。
7.4.7 与椽条或檩条垂直的挂瓦条、屋面板的长度至少应跨越三根椽条或檩条,挂瓦条、椽条和屋面板等构件接长时,接头应设置在下层支承构件上,且接头应错开布置。
7.4.8 方木檩条宜正放,其截面高宽比不宜大于2.5。当方木檩条斜放时,其截面高宽比不宜大于2,并应按双向受弯构件进行计算。若有可靠措施以消除或减少檩条沿屋面方向的弯矩和挠度时,可根据采取措施后的情况进行计算。
7.4.9 当采用钢木檩条时,应采取措施保证受拉钢筋下弦折点处的侧向稳定。
7.4.10 双坡屋面的椽条在屋脊处应相互连接牢固。
7.4.11 抗震设防烈度为8度和9度地区屋面木基层抗震设计,应符合下列规定: 1 采用斜放檩条应设置木基结构板或密铺屋面板,檐口瓦应固定在挂瓦条上; 2 檩条应与屋架连接牢固,双脊檩应相互拉结,上弦节点处的檩条应与屋架上弦用螺栓连接; 3 支承在砌体山墙上的檩条,其搁置长度不应小于120mm,节点处檩条应与山墙卧梁用螺栓锚固。
7.4.12 井干式木结构屋面构件应采用螺栓、钉或连接件与木墙体构件固定。
7.4.13 下列部位的檩条应与桁架上弦锚固,当有山墙时尚应与山墙卧梁锚固: 1 支撑的节点处,包括参加工作的檩条见本标准图7.7.2; 2 为保证桁架上弦侧向稳定所需的支承点; 3 屋架的脊节点处。
7.4.14 檩条的锚固可根据房屋跨度、支撑方式及使用条件选用螺栓、卡板(图7.4.14)、暗销或其他可靠方法。上弦横向支撑的斜杆应采用螺栓与桁架上弦锚固。

图7.4.14 卡板锚固示意
1-檩条;2-卡板
7.5 桁 架
7.5.1 采用方木原木制作木桁架时,选型可根据具体条件确定,并宜采用静定的结构体系。当桁架跨度较大或使用湿材时,应采用钢木桁架;对跨度较大的三角形原木桁架,宜采用不等节间的桁架形式。
7.5.2 当木桁架采用木檩条时,桁架间距不宜大于4m;当采用钢木檩条或胶合木檩条时,桁架间距不宜大于6m。
7.5.3 桁架中央高度与跨度之比不应小于表7.5.3规定的最小高跨比。
表7.5.3 桁架最小高跨比

注:h为桁架中央高度;l为桁架跨度。
7.5.4 桁架制作应按其跨度的1/200起拱。
7.5.5 桁架的内力计算时,应符合下列规定: 1 桁架节点可假定为铰接,并将荷载集中于各个节点上,按节点荷载计算各杆轴向力; 2 当上弦因节间荷载而承受弯矩时,应按压弯构件进行计算。跨间弯矩按简支梁计算,节点处支座弯矩可按下式计算。

式中:g、q——七弦的均布恒载、活载或雪载设计值; l——杆件的计算长度。
7.5.6 桁架压杆的计算长度取值应符合下列规定: 1 在结构平面内,桁架弦杆及腹杆应取节点中心间的距离。 2 在结构平面外,桁架上弦应取锚固檩条间距离;桁架腹杆应取节点中心间距离。在杆系拱、框架及类似结构中的受压下弦,应取侧向支撑点间的距离。
7.5.7 设计木桁架时,其构造应符合下列要求: 1 受拉下弦接头应保证轴心传递拉力;下弦接头不宜多于两个;接头应锯平对正,宜采用螺栓和木夹板连接。 2 当受拉下弦接头采用螺栓木夹板或钢夹板连接时,接头每端的螺栓数由计算确定,但不宜少于6个,且不应排成单行;当采用木夹板时,应选用优质的气干木材制作,其厚度不应小于下弦宽度的1/2;若桁架跨度较大,木夹板的厚度不宜小于100mm;采用钢夹板时,其厚度不应小于6mm。 3 桁架上弦的受压接头应设在节点附近,并不宜设在支座节间和脊节间内;受压接头应锯平,可用木夹板连接,但接缝每侧至少应有两个螺栓系紧;木夹板的厚度宜取上弦宽度的1/2,长度宜取上弦宽度的5倍。 4 当支座节点采用齿连接时,应使下弦的受剪面避开髓心(图7.5.7),并应在施工图中注明此要求。

图7.5.7 受剪面避开髓心示意
1-受剪面;2-髓心
7.5.8 钢木桁架的下弦可采用圆钢或型钢,并应符合下列规定:1 当跨度较大或有振动影响时,宜采用型钢;2 圆钢下弦应设有调整松紧的装置;3 当下弦节点间距大于250倍圆钢直径时,应对圆钢下弦拉杆设置吊杆;4 杆端有螺纹的圆钢拉杆,当直径大于22mm时,宜将杆端加粗,其螺纹应由车床加工;5 圆钢应经调直,需接长时宜采用机械连接或对接焊、双帮条焊,不应采用搭接焊。焊接接头的质量应符合现行国家标准《钢结构工程施工质量验收规范》GB 50205的规定。
7.5.9 当桁架上设有悬挂吊车时,吊点应设在桁架节点处;腹杆与弦杆应采用螺栓或其他连接件扣紧;支撑杆件与桁架弦杆应采用螺栓连接;当为钢木桁架时,应采用型钢下弦。
7.5.10 当有吊顶时,桁架下弦与吊顶构件间应保持不小于100mm的净距。
7.5.11 抗震设防烈度为8度和9度地区的屋架抗震设计,应符合下列规定: 1 钢木屋架宜采用型钢下弦,屋架的弦杆与腹杆宜用螺栓系紧,屋架中所有的圆钢拉杆和拉力螺栓,均应采用双螺帽; 2 屋架端部应采用不小于φ20的锚栓与墙、柱锚固。
7.5.12 当桁架跨度不小于9m时,桁架支座应采用螺栓与墙、柱锚固。当桁架与木柱连接时,木柱柱脚与基础应采用螺栓锚固。
7.5.13 设计轻屋面或开敞式建筑的木屋盖时,不论桁架跨度大小,均应将上弦节点处的檩条与桁架、桁架与柱、木柱与基础等予以锚固。
7.6 天 窗
7.6.1 设置天窗应符合下列规定: 1 当设置双面天窗时,天窗架的跨度不应大于屋架跨度的1/3; 2 单面天窗的立柱应设置在屋架的节点部位; 3 双面天窗的荷载宜由屋脊节点及其相邻的上弦节点共同承担,并应设置斜杆与屋架上弦连接,以保证天窗架的稳定。 4 在房屋的两端开间内不宜设置天窗。 5 天窗的立柱,应与桁架上弦牢固连接,当采用通长木夹板时,夹板不宜与桁架下弦直接连接(图7.6.1)。
7.6.2 为防止天窗边柱受潮腐朽,边柱处屋架的檩条宜放在边柱内侧(图7.6.2)。其窗樘和窗扇宜放在边柱外侧,并加设有效的挡雨设施。开敞式天窗应加设有效的挡雨板,并应做好泛水处理。

图7.6.1 立柱的木夹板示意
1-天窗架;2-圆钉;3-下弦;4-立柱;5-木夹板

图7.6.2 边柱柱脚构造示意
7.6.3 抗震设防烈度为8度和9度地区,不宜设置天窗。
7.7 支 撑
7.7.1 在施工和使用期间,应设置保证结构空间稳定的支撑,并应设置防止桁架侧倾、保证受压弦杆侧向稳定和能够传递纵向水平力的支撑构件,以及应采取保证支撑系统正常工作的锚固措施。
7.7.2 上弦横向支撑的设置应符合下列规定: 1 当采用上弦横向支撑,房屋端部为山墙时,应在端部第二开间内设置上弦横向支撑(图7.7.2); 2 当房屋端部为轻型挡风板时,应在端开间内设置上弦横向支撑; 3 当房屋纵向很长时,对于冷摊瓦屋面或跨度大的房屋,上弦横向支撑应沿纵向每20m~30m设置一道; 4 上弦横向支撑的斜杆当采用圆钢,应设有调整松紧的装置。

图7.7.2 上弦横向支撑
1-上弦横向支撑;2-参加支撑工作的檩条;3-屋架
7.7.3 下列部位均应设置垂直支撑: 1 梯形屋架的支座竖杆处; 2 下弦低于支座的下沉式屋架的折点处; 3 设有悬挂吊车的吊轨处; 4 杆系拱、框架结构的受压部位处; 5 大跨度梁的支座处。
7.7.4 垂直支撑的设置应符合下列规定: 1 应根据屋架跨度尺寸的大小,沿跨度方向设置一道或两道; 2 除设有吊车的结构外,可仅在无山墙的房屋两端第一开间,或有山墙的房屋两端第二开间内设置,但均应在其他开间设置通长的水平系杆; 3 设有吊车的结构应沿房屋纵向间隔设置,并在垂直支撑的下端设置通长的屋架下弦纵向水平系杆; 4 对上弦设置横向支撑的屋盖,当加设垂直支撑时,可仅在有上弦横向支撑的开间中设置,但应在其他开间设置通长的下弦纵向水平系杆。
7.7.5 屋盖应根据结构的形式和跨度、屋面构造及荷载等情况选用上弦横向支撑或垂直支撑。但当房屋跨度较大或有锻锤、吊车等振动影响时,除应设置上弦横向支撑外,尚应设置垂直支撑。支撑构件的截面尺寸,可按构造要求确定。
7.7.6 木柱承重房屋中,若柱间无刚性墙或木基结构板剪力墙,除应在柱顶设置通长的水平系杆外,尚应在房屋两端及沿房屋纵向每隔20m~30m设置柱间支撑。木柱和桁架之间应设抗风斜撑,斜撑上端应连在桁架上弦节点处,斜撑与木柱的夹角不应小于30°。
7.7.7 对于下列情况的非开敞式房屋,可不设置支撑: 1 有密铺屋面板和山墙,且跨度不大于9m时; 2 房屋为四坡顶,且半屋架与主屋架有可靠连接时; 3 屋盖两端与其他刚度较大的建筑物相连时;但对于房屋纵向很长的情况,此时应沿纵向每隔20m~30m设置一道支撑。
7.7.8 当屋架设有双面天窗时,应按本标准第7.7.3条和第7.7.5 条的规定设置天窗支撑。天窗架两边立柱处,应按本标准第7.7.6条的规定设置柱间支撑,且在天窗范围内沿主屋架的脊节点和支撑节点,应设置通长的纵向水平系杆。
7.7.9 在抗震地区,支撑的设置应符合下列规定: 1 抗震设防烈度为6度和7度地区,支撑布置应按本节的规定设置; 2 抗震设防烈度为8度地区,对屋面采用冷摊瓦或稀铺屋面板的木结构,不论是否设置垂直支撑,都应在房屋单元两端第二开间及每隔20m设置一道上弦横向支撑; 3 抗震设防烈度为9度地区,对密铺屋面板的木结构,不论是否设置垂直支撑,都应在房屋单元两端第二开间设置一道上弦横向支撑; 4 抗震设防烈度为9度地区,对于冷摊瓦或稀铺屋面板的木结构,除应在房屋单元两端第二开间及每隔20m同时设置一道上弦横向支撑和下弦横向支撑外,尚应隔间设置垂直支撑并加设下弦通长水平系杆。
7.7.10 地震区的木结构房屋的屋架与柱连接处应设置斜撑,当斜撑采用木夹板时,与木柱及屋架上、下弦连接处应采用螺栓连接;木柱柱顶应设暗榫插入屋架下弦并用U形扁钢连接(图7.7.10)。

图7.7.10 木构架端部斜撑连接
1-连接螺栓;2-椭圆孔连接螺栓;3-U形扁钢;4-水平系杆;5-木柱;6-斜撑
8 胶合木结构
8.0.1 胶合木结构应分为层板胶合木结构和正交胶合木结构。层板胶合木结构适用于大跨度、大空间的单层或多层木结构建筑。正交胶合木结构适用于楼盖和屋盖结构,或由正交胶合木组成的单层或多层箱形板式木结构建筑。
8.0.2 层板胶合木构件各层木板的纤维方向应与构件长度方向一致。层板胶合木构件截面的层板层数不应低于4层。
8.0.3 正交胶合木构件各层木板之间纤维的方向应相互叠层正交,截面的层板层数不应低于3层,并且不宜大于9层,其总厚度不应大于500mm。
8.0.4 层板胶合木构件和正交胶合木构件设计时,应根据使用环境注明对结构用胶的要求,构件生产厂家应严格遵循设计的要求生产制作。
8.0.5 层板胶合木结构的设计与构造要求应符合现行国家标准《胶合木结构技术规范》GB/T 50708的相关规定。
8.0.6 层板胶合木构件的制作要求应符合现行国家标准《胶合木结构技术规范》GB/T 50708和《结构用集成材》GB/T 26899的相关规定。
8.0.7 制作正交胶合木所用木板的尺寸应符合下列规定: 1 层板厚度t为:15mm≤t≤45mm; 2 层板宽度b为:80mm≤b≤250mm。
8.0.8 正交胶合木应由长度相同和厚度相同的木板组成同一层层板。木板可采用指接节点进行接长,指接节点的强度应符合下列公式之一:

式中:ft,j,k——指接节点的抗拉强度标准值(N/mm2); fm,j,k——指接节点宽度方向抗弯强度标准值(N/mm2); ftk——木板的抗拉强度标准值(N/mm2)。
8.0.9 正交胶合木构件可用于楼面板、屋面板和墙板,构件的设计应符合本标准附录G的相关规定。
8.0.10 正交胶合木外层层板的长度方向应为顺纹配置,并可采用两层木板顺纹配置作为外层层板(图8.0.10a)。当设计需要时,横纹层板也可采用两层木板配置(图8.0.10b)。

图8.0.10 正交胶合木层板配置截面示意
8.0.11 正交胶合木构件可采用指接进行构件的接长,并应符合下列规定: 1 构件指接处,构件两端的截面的层板应排列相同,构件纹理方向应保持一致; 2 构件指接节点的指榫长度应不小于45mm。
8.0.12 当正交胶合木构件采用指接进行构件的接长时,指接节点处的强度应按下列规定确定: 1 当按国家相关试验标准进行构件指接节点处的强度验证试验时,节点的抗弯强度标准值不应低于设计要求的指接构件抗弯强度标准值; 2 当不进行构件指接节点处的强度验证试验时,构件指接节点处的抗弯强度和抗拉强度设计值可按无指接构件的67%取值,抗压强度设计值可与无指接构件相同。
8.0.13 正交胶合木在胶合时,木板表面应光滑,无灰尘,无杂质,无污染物和其他影响粘结的渗出物质。层板涂胶后应在所用胶粘剂规定的时间要求内进行加压胶合,胶合前不应污染胶合面。
8.0.14 正交胶合木同一层的外侧顺纹木板之间的拼接面宜采用胶粘剂进行胶合。同一层的内侧顺纹木板和同一层的横纹木板之间的拼接面可采用拼接,但拼接缝不应大于6mm。
8.0.15 正交胶合木采用的胶粘剂应满足强度和耐久性的要求,胶粘剂的类型和性能要求应符合现行国家标准《胶合木结构技术规范》GB/T 50708和《结构用集成材》GB/T 26899的相关规定。
9 轻型木结构
9.1 一般规定
9.1.1 轻型木结构的层数不宜超过3层。对于上部结构采用轻型木结构的组合建筑,木结构的层数不应超过3层,且该建筑总层数不应超过7层。
9.1.2 轻型木结构的平面布置宜规则,质量和刚度变化宜均匀。所有构件之间应有可靠的连接,必要的锚固、支撑,足够的承载力,保证结构正常使用的刚度,良好的整体性。
9.1.3 构件及连接应根据选用树种、材质等级、作用荷载、连接形式及相关尺寸,按本标准相关章节的规定进行设计。
9.1.4 在验算屋盖与下部结构连接部位的连接强度及局部承压时,应对风荷载引起的上拔力乘以1.2倍的放大系数。
9.1.5 轻型木结构的剪力墙应承受由地震作用或风荷载产生的全部剪力。各剪力墙承担的水平剪力可按面积分配法和刚度分配法进行分配。当按刚度分配法进行分配时,各墙体的水平剪力可按下式计算:

式中:Vj——第j面剪力墙承担的水平剪力; V——楼层由地震作用或风荷载产生的X方向或Y方向的总水平剪力; Kwi、Kwj——第i、j面剪力墙单位长度的抗剪刚度,按本标准附录N的规定采用; Li、Lj——第i、j面剪力墙的长度;当墙上开孔尺寸小于900mm×900mm时,墙体可按一面墙计算; n——X方向或y方向的剪力墙数。
9.1.6 对于3层及3层以下的轻型木结构建筑,当符合下列条件时,可按构造要求进行抗侧力设计: 1 建筑物每层面积不应超过600m2,层高不应大于3.6m。 2 楼面活荷载标准值不应大于2.5kN/m2;屋面活荷载标准值不应大于0.5kN/m2。 3 建筑物屋面坡度不应小于1:12,也不应大于1:1;纵墙上檐口悬挑长度不应大于1.2m;山墙上檐口悬挑长度不应大于0.4m。 4 承重构件的净跨距不应大于12.Om。
9.1.7 当抗侧力设计按构造要求进行设计时,在不同抗震设防烈度的条件下,剪力墙最小长度应符合表9.1.7-1的规定;在不同风荷载作用时,剪力墙最小长度应符合表9.1.7-2的规定。
表9.1.7-1 按抗震构造要求设计时剪力墙的最小长度(m)

1 表中A指建筑物的最大楼层面积(m2)。 2 表中剪力墙的最小长度以墙体一侧采用9.5mm厚木基结构板材作面板、150mm钉距的剪力墙为基础。当墙体两侧均采用木基结构板材作面板时,剪力墙的最小长度为表中规定长度的50%。当墙体两侧均采用石膏板作面板时,剪力墙的最小长度为表中规定长度的200%。 3 对于其他形式的剪力墙,其最小长度可按表中数值乘以3.5/fvt确定,fvt为其他形式剪力墙抗剪强度设计值。 4 位于基础顶面和底层之间的架空层剪力墙的最小长度应与底层规定相同。 5 当楼面有混凝土面层时,表中剪力墙的最小长度应增加20%。
表9.1.7-2按抗风构造要求设计时剪力墙的最小长度(m)

注:1 表中L指垂直于该剪力墙方向的建筑物长度(m)。 2 表中剪力墙的最小长度以墙体一侧采用9.5mm厚木基结构板材作面板、150mm钉距的剪力墙为基础。当墙体两侧均采用木基结构板材作面板时,剪力墙的最小长度为表中规定长度的50%。当墙体两侧均采用石膏板作面板时,剪力墙的最小长度为表中规定长度的200%。 3 对于其他形式的剪力墙,其最小长度可按表中数值乘以3.5/fvt确定,fvt为其他形式剪力墙抗剪强度设计值。 4 位于基础顶面和底层之间的架空层剪力墙的最小长度应与底层规定相同。
9.1.8 当抗侧力设计按构造要求进行设计时,剪力墙的设置应符合下列规定(图9.1.8): 1 单个墙段的墙肢长度不应小于0.6m,墙段的高宽比不应大于4:1; 2 同一轴线上相邻墙段之间的距离不应大于6.4m; 3 墙端与离墙端最近的垂直方向的墙段边的垂直距离不应大于2.4m; 4 一道墙中各墙段轴线错开距离不应大于1.2m。

9.1.9 当按构造要求进行抗侧力设计时,结构平面不规则与上下层墙体之间的错位应符合下列规定: 1 上下层构造剪力墙外墙之间的平面错位不应大于楼盖搁栅高度的4倍,且不应大于1.2m; 2 对于进出面没有墙体的单层车库两侧构造剪力墙,或顶层楼盖屋盖外伸的单肢构造剪力墙,其无侧向支撑的墙体端部外伸距离不应大于1.8m(图9.1.9-1); 3 相邻楼盖错层的高度不应大于楼盖搁栅的截面高度; 4 楼盖、屋盖平面内开洞面积不应大于四周支撑剪力墙所围合面积的30%,且洞口的尺寸不应大于剪力墙之间间距的50%(图9.1.9-2)。

图9.1.9-1无侧向支撑的外伸剪力墙示意

图9.1.9-2 楼盖、屋盖开洞示意
9.1.10 各剪力墙承担的楼层水平作用力宜按剪力墙从属面积上重力荷载代表值的比例进行分配。当按面积分配法和刚度分配法得到的剪力墙水平作用力的差值超过15%时,剪力墙应按两者中最不利情况进行设计。
9.1.11 由2根~5根相同的规格材组成拼合柱时,拼合柱的抗压强度设计值应按下列规定取值: 1 当拼合柱采用钉连接时,拼合柱的抗压强度设计值应取相同截面面积的方木柱的抗压强度设计值的60%; 2 当拼合柱采用直径大于等于6.5mm的螺栓连接时,拼合柱的抗压强度设计值应取相同截面面积的方木柱的抗压强度设计值的75%。
9.2 楼盖、屋盖
9.2.1 当楼盖、屋盖搁栅两端由墙或梁支承时,搁栅宜按两端简支的受弯构件进行设计。
9.2.2 当由搁栅支承的墙体与搁栅跨度方向垂直,并离搁栅支座的距离小于搁栅截面高度时,搁栅的抗剪切验算可忽略该墙体产生的作用荷载。
9.2.3 楼盖搁栅设计宜考虑搁栅的振动控制,并可按本标准附录Q的规定进行搁栅的振动验算。
9.2.4 轻型木结构的楼、屋盖受剪承载力设计值应按下式计算:
Vd=fvdk1k2Be (9.2.4)
式中:fvd——采用木基结构板材的楼盖、屋盖抗剪强度设计值(kN/m),应按本标准附录P的规定取值; k1——木基结构板材含水率调整系数,应按表9.2.4-1的规定取值; k2——骨架构件材料树种的调整系数,应按表9.2.4-2的规定取值; Be——楼盖、屋盖平行于荷载方向的有效宽度(m),应按本标准第9.2.5条的规定取值。
表9.2.4-1 木基结构板材含水率调整系数k1

表9.2.4-2 骨架构件材料树种的调整系数k2

9.2.5 楼盖、屋盖平行于荷载方向的有效宽度Be应根据楼盖、屋盖平面开口位置和尺寸(图9.2.5),按下列规定确定: 1 当c<610mm时,取Be=B-b;其中,B为平行于荷载方向的楼盖、屋盖宽度(m),b为平行于荷载方向的开孔尺寸(m);b不应大于B/2,且不应大于3.5m; 2 当c≥610mm时,取Be=Bo

图9.2.5 楼、屋盖有效宽度计算简图
9.2.6 垂直于荷载方向的楼盖、屋盖的边界杆件及其连接件的轴向力N应按下式计算:

均布荷载作用时,简支楼盖、屋盖弯矩设计值M1和M2应分别按下列公式计算:

式中:M1——楼盖、屋盖平面内的弯矩设计值(kN·m); Bo——垂直于荷载方向的楼盖、屋盖边界杆件中心距(m); M2——楼盖、屋盖开孔长度内的弯矩设计值(kN·m); a——垂直于荷载方向的开孔边缘到楼盖、屋盖边界杆件的距离,a≥0.6m; q——作用于楼盖、屋盖的侧向均布荷载设计值(kN/m); qe——作用于楼盖、屋盖单侧的侧向荷载设计值(kN/m),一般取侧向均布荷载q的一半; L ——垂直于荷载方向的楼盖、屋盖长度(m); ι——垂直于荷载方向的开孔尺寸(m),ι不应大于B/2,且不应大于3.5m。
9.2.7 平行于荷载方向的楼盖、屋盖的边界杆件,当作用在边界杆件上下的剪力分布不同时,应验算边界杆件的轴向力。
9.2.8 在楼盖、屋盖长度范围内的边界杆件宜连续;当中间断开时,应采取能够抵抗所承担轴向力的加固连接措施。楼盖、屋盖的覆面板不应作为边界杆件的连接板。
9.2.9 当楼盖、屋盖边界杆件同时承受轴力和楼盖、屋盖传递的竖向力时,杆件应按压弯或拉弯构件设计。
9.3 墙 体
9.3.1 墙骨柱应按两端铰接的受压构件设计,构件在平面外的计算长度应为墙骨柱长度。当墙骨柱两侧布置木基结构板或石膏板等覆面板时,平面内可仅进行强度验算。
9.3.2 当墙骨柱的轴向压力的初始偏心距为零时,初始偏心距应按0.05倍的构件截面高度确定。
9.3.3 外墙墙骨柱应考虑风荷载效应组合,并应按两端铰接的压弯构件设计。当外墙围护材料采用砖石等较重材料时,应考虑围护材料产生的墙骨柱平面外的地震作用。
9.3.4 轻型木结构的剪力墙应按下列规定进行设计: 1 剪力墙墙肢的高宽比不应大于3.5 。 2 单面采用竖向铺板或水平铺板(图9.3.4)的轻型木结构剪力墙受剪承载力设计值应按下式计算:

式中:fvd——单面采用木基结构板材作面板的剪力墙的抗剪强度设计值(kN/m),应按本标准附录N的规定取值; l——平行于荷载方向的剪力墙墙肢长度(m); k1——木基结构板材含水率调整系数,应按本标准表9.2.4-1的规定取值; k2——骨架构件材料树种的调整系数,应按本标准表9.2.4-2的规定取值; k3——强度调整系数;仅用于无横撑水平铺板的剪力墙,应按表9.3.4的规定取值。

图9.3.4 剪力墙铺板示意
表9.3.4 无横撑水平铺设面板的剪力墙强度调整系数k3

注:墙骨柱柱间无横撑剪力墙的抗剪强度可将有横撑剪力墙的抗剪强度乘以抗剪调整系数。有横撑剪力墙的面板边支座上钉的间距为150mm,中间支座上钉的间距为300mm。 3 对于双面铺板的剪力墙,无论两侧是否采用相同材料的木基结构板材,剪力墙的受剪承载力设计值应取墙体两面受剪承载力设计值之和。
9.3.5 剪力墙两侧边界杆件所受的轴向力应按下式计算:

式中:N——剪力墙边界杆件的拉力或压力设计值(kN); M——侧向荷载在剪力墙平面内产生的弯矩(kN/m); Bo——剪力墙两侧边界构件的中心距(m)。
9.3.6 剪力墙边界杆件在长度上宜连续。当中间断开时,应采取能够抵抗所承担轴向力的加强连接措施。剪力墙的覆面板不应作为边界杆件的连接板。
9.3.7 当进行抗侧力设计时,剪力墙墙肢应进行抗倾覆验算。墙体与基础应采用金属连接件进行连接。
9.3.8 钉连接的单面覆板剪力墙顶部的水平位移应按下式计算:

式中:△——剪力墙顶部位移总和(mm); V——剪力墙顶部最大剪力设计值(N); M——剪力墙顶部最大弯矩设计值(N·mm); Hw——剪力墙高度(mm); I——剪力墙转换惯性矩(mm4); E——墙体构件弹性模量(N/mm2); L——剪力墙长度(mm); Kw——剪力墙剪切刚度(N/mm),包括木基结构板剪切变形和钉的滑移变形,应按本标准附录N的规定取值; da——墙体紧固件由剪力和弯矩引起的竖向伸长变形,包括抗拔紧固件的滑移、抗拔紧固件的伸长、连接板压坏等; θi——第i层剪力墙的转角,为该层及以下各层转角的累加。
9.4 轻型木桁架
9.4.1 轻型木桁架的设计和构造要求除应符合本标准规定外,尚应符合现行行业标准《轻型木桁架技术规范》JGJ/T 265的相关规定。
9.4.2 桁架静力计算模型应满足下列条件: 1 弦杆应为多跨连续杆件; 2 弦杆在屋脊节点、变坡节点和对接节点处应为铰接节点; 3 弦杆对接节点处用于抗弯时应为刚接节点; 4 腹杆两端节点应为铰接节点; 5 桁架两端与下部结构连接一端应为固定铰支,另一端应为活动铰支。
9.4.3 桁架设计模型中对各类相应节点的计算假定应符合现行行业标准《轻型木桁架技术规范》JGJ/T 265的相关规定。
9.4.4 桁架构件设计时,各杆件的轴力与弯矩值的取值应符合下列规定: 1 杆件的轴力应取杆件两端轴力的平均值; 2 弦杆节间弯矩应取该节间所承受的最大弯矩; 3 对拉弯或压弯杆件,轴力应取杆件两端轴力的平均值,弯矩应取杆件跨中弯矩与两端弯矩中较大者。
9.4.5 验算桁架受压构件的稳定时,其计算长度10应符合下列规定: 1 平面内,应取节点中心间距的0.8倍; 2 平面外,屋架上弦应取上弦与相邻檩条连接点之间的距离,腹杆应取节点中心距离,若下弦受压时,其计算长度应取侧向支撑点之间的距离。
9.4.6 当相同桁架数量大于或等于3榀且桁架之间的间距不大于610mm,并且所有桁架均与楼面板或屋面板有可靠连接时,桁架弦杆的抗弯强度设计值fm可乘以1.15的共同作用系数。
9.4.7 金属齿板节点设计时,作用于节点上的力应取与该节点相连杆件的杆端内力。
9.4.8 当木桁架端部采用梁式端节点时(图9.4.8),在支座内侧支承点上的下弦杆截面高度不应小于1/2原下弦杆截面高度或1OOmm两者中的较大值,并应按下列规定验算该端支座节点的承载力: 1 端节点抗弯验算时,用于抗弯验算的弯矩应为支座反力乘以从支座内侧边缘到上弦杆起始点的水平距离L(图9.4.8)。

2 当图9.4.8中投影交点比上、下弦杆轴线交点更接近桁架端部时,端节点应进行抗剪验算。桁架端部下弦规格材的受剪承载力应按下式验算:

式中:b——规格材截面宽度(mm); fv——规格材顺纹抗剪强度设计值(N/mm2); V——梁端支座总反力(N); n——当由多榀相同尺寸的规格材木桁架形成组合桁架时,n为形成组合桁架的桁架榀数; h'——下弦杆在投影交点处的截面计算高度(mm)。 3 当桁架端部下弦规格材的受剪承载力不满足公式(9.4.8-1)时,梁端应设置抗剪齿板。抗剪齿板的尺寸应覆盖上下弦杆轴线交点与投影交点之间的距离L7,且强度应符合下列规定: 1) 下弦杆轴线上、下方的齿板截面受剪承载力均应能抵抗梁端节点净剪力V1; 2) 沿着下弦杆轴线的齿板截面受剪承载力应能抵抗梁端节点净剪力V1; 3) 梁端节点净剪力应按下式计算:

式中:L'——上下弦杆轴线交点与投影交点之间的距离(mm)。
9.4.9 对于由多榀桁架组成的组合桁架,作用于组合桁架的荷载应由每榀桁架均匀承担。当多榀桁架之间采用钉连接时,钉的承载力应按下式验算:

式中:Nv——钉连接的受剪承载力设计值(N); n——组成组合桁架的桁架榀数; s——钉连接的间距(mm); nr——钉列数; q——作用于组合桁架的均布线荷载(N/mm)。
9.4.10 木屋架与下部结构的连接应符合下列规定: 1 当木桁架不承受上拔作用力时,木屋架与下部结构应采用钉连接,钉的数量不应少于3枚,钉长度不应小于80mm。屋盖端部以及洞口两侧的木桁架宜采用金属连接件连接,间距不应大于2.4m。 2 当木屋架端部承受上拔作用力时,每间隔不大于2.4m的距离,应有一榀木屋架与下部结构之间采用金属抗拔连接件进行连接。
9.5 组合建筑中轻型木结
9.5.1 组合建筑的抗震设计宜采用振型分解反应谱法。当底部结构平均抗侧刚度与上部相邻木结构的平均抗侧刚度之比大于10,且整体结构的基本自振周期不大于上部木结构的基本自振周期的1.1倍时,上部木结构与下部结构可分别采用底部剪力法单独进行抗震计算,并且验算下部结构时应考虑来自上部木结构底部剪力的作用。
9.5.2 采用轻型木屋盖的多层民用建筑,主体结构的地震作用应符合现行国家标准《建筑抗震设计规范》GB 50011的有关规定。木屋盖可作为顶层质点作用在屋架支座处,顶层质点的等效重力荷载可取木屋盖重力荷载代表值与1/2墙体重力荷载代表值之和。其余质点可取重力荷载代表值的85%。作用在轻型木屋盖的水平荷载应按下式确定:

式中:FE一一轻型木屋盖的水平荷载; Gr——木屋盖重力荷载代表值; Geq——顶层质点的等效重力荷载; FEK——顶层水平地震作用标准值。
9.5.3 当木屋盖和木楼盖作为混凝土或砌体墙体的侧向支承时(图9.5.3),应采用锚固连接件直接将墙体与木屋盖、楼盖连接。锚固连接件的承载力应根据墙体传递的水平荷载计算,且锚固连接沿墙体方向的承载力不应小于3.0kN/m。

9.5.4 轻型木结构与砌体结构、钢筋混凝土结构或钢结构等下部结构的连接应采用锚栓连接。锚栓直径不应小于12mm,间距不应大于2.Om,锚栓埋人深度不应小于300mm,地梁板两端各应设置1根锚栓,端距应为1OOmm~300mm。
9.5.5 当砌体结构、钢筋混凝土结构或钢结构采用轻型木屋盖系统时,宜在其结构的顶部设置木梁板,木屋盖应与木梁板连接。木梁板与砌体结构、钢筋混凝土结构或钢结构的连接应符合本标准第9.5.4条的规定。
9.6 构造要求
9.6.1 墙骨柱应符合下列规定: 1 承重墙的墙骨柱截面尺寸应由计算确定; 2 墙骨柱在层高内应连续,可采用指接连接,但不应采用连接板进行连接; 3 墙骨柱间距不应大于610mm; 4 墙骨柱在墙体转角和交接处应进行加强,转角处的墙骨柱数量不应少于3根(图9.6.1); 5 开孔宽度大于墙骨柱间距的墙体,开孔两侧的墙骨柱应采用双柱,开孔宽度小于或等于墙骨柱间净距并位于墙骨柱之间的墙体,开孔两侧可用单根墙骨柱; 6 墙骨柱的最小截面尺寸和最大间距应符合本标准附录B第B.2节的规定; 7 对于非承重墙体的门洞,当墙体需要考虑耐火极限的要求时,门洞边应至少采用两根截面高度与底梁板宽度相同的规格材进行加强。

图9.6.1 墙骨柱在转角处和交接处加强示意1-木填块
9.6.2 墙体应符合下列规定: 1 墙体底部应有底梁板或地梁板,底梁板或地梁板在支座上突出的尺寸不应大于墙体宽度的1/3,宽度不应小于墙骨柱的截面高度。 2 墙体顶部应有顶梁板,其宽度不应小于墙骨柱截面的高度;承重墙的顶梁板不宜少于两层;非承重墙的顶梁板可为单层。 3 多层顶梁板上、下层的接缝应至少错开一个墙骨柱间距,接缝位置应在墙骨柱上;在墙体转角和交接处,上、下层顶梁板应交错互相搭接;单层顶梁板的接缝应位于墙骨柱上,并宜在接缝处的顶面采用镀锌薄钢带以钉连接。
9.6.3 当承重墙的开洞宽度大于墙骨柱间距时,应在洞顶加设由计算确定的过梁。
9.6.4 当墙面板采用木基结构板作面板,且最大墙骨柱间距为410mm时,板材的最小厚度不应小于9mm;最大墙骨柱间距为610mm时,板材的最小厚度不应小于11mm。
9.6.5 当墙面板采用石膏板作面板,且最大墙骨柱间距为410mm时,板材的最小厚度不应小于9mm;最大墙骨柱间距为610mm时,板材的最小厚度不应小于12mm。
9.6.6 墙面板的设置应符合下列规定: 1 墙面板相邻面板之间的接缝应位于骨架构件上,面板可水平或竖向铺设,面板之间应留有不小于3mm的缝隙。 2 墙面板的尺寸不应小于1.2m×2.4m,在墙面边界或开孔处,可使用宽度不小于300mm的窄板,但不应多于两块;当墙面板的宽度小于300mm时,应加设用于固定墙面板的填块。 3 当墙体两侧均有面板,且每侧面板边缘钉间距小于150mm时,墙体两侧面板的接缝应互相错开一个墙骨柱的间距,不应固定在同一根骨架构件上;当骨架构件的宽度大于65mm时,墙体两侧面板拼缝可固定在同一根构件上,但钉应交错布置。
9.6.7 楼盖应采用间距不大于610mm的楼盖搁栅、木基结构板的楼面结构层,以及木基结构板或石膏板铺设的吊顶组成。楼盖搁栅可采用规格材或工程木产品,截面尺寸由计算确定。
9.6.8 楼盖搁栅在支座上的搁置长度不应小于40mm.靠近支座部位的搁栅底部宜采用连续木底撑、搁栅横撑或剪刀撑(图9.6.8)。木底撑、搁栅横撑或剪刀撑在搁栅跨度方向的间距不应大于2.1m。当搁栅与木板条或吊顶板直接固定在一起时,搁栅间可不设置支撑。
9.6.9 楼盖开孔的构造应符合下列规定:

图9.6.8 搁栅间支撑示意
1 对于开孔周围与搁栅垂直的封头搁栅,当长度大于1.2m时,封头搁栅应采用两根;当长度超过3.2m时,封头搁栅的尺寸应由计算确定。 2 对于开孔周围与搁栅平行的封边搁栅,当封头搁栅长度超过800mm时,封边搁栅应采用两根;当封头搁栅长度超过2.Om时,封边搁栅的截面尺寸应由计算确定。 3 对于开孔周围的封头搁栅以及被开孔切断的搁栅,当依靠楼盖搁栅支承时,应选用合适的金属搁栅托架或采用正确的钉连接方式。
9.6.10 支承墙体的楼盖搁栅应符合下列规定: 1 平行于搁栅的非承重墙,应位于搁栅或搁栅间的横撑上,横撑可用截面不小于40mm×90mm的规格材,横撑间距不应大于1.2m; 2 平行于搁栅的承重内墙,不应支承于搁栅上,应支承于梁或墙上; 3 垂直于搁栅或与搁栅相交的角度接近垂直的非承重内墙,其位置可设置在搁栅上任何位置; 4 垂直于搁栅的承重内墙,距搁栅支座不应大于610mm,否则,搁栅尺寸应由计算确定。
9.6.11 带悬挑的楼盖搁栅,当其截面尺寸为40mm×185mm时,悬挑长度不应大于400mm;其截面尺寸不小于40mm×235mm时,悬挑长度不应大于610mm。未作计算的搁栅悬挑部分不应承受其他荷载。当悬挑搁栅与主搁栅垂直时,未悬挑部分长度不应小于其悬挑部分长度的6倍,其端部应根据连接构造要求与两根边框梁用钉连接。
9.6.12 楼面板的设置应符合下列规定: 1 楼面板的厚度及允许楼面活荷载的标准值应符合表9.6.12的规定。 2 楼面板的尺寸不应小于1.2m×2.4m,在楼盖边界或开孔处,允许使用宽度不小于300mm的窄板,但不应多于两块;当结构板的宽度小于300mm时,应加设填块固定。 3 铺设木基结构板材时,板材长度方向应与搁栅垂直,宽度方向的接缝应与搁栅平行,并应相互错开不少于两根搁栅的距离。 4 楼面板的接缝应连接在同一搁栅上。
表9.6.12 楼面板厚度及允许楼面活荷载标准值

9.6.13 屋盖可采用由规格材制作的、间距不大于610mm的轻型桁架构成;当跨度较小时,也可直接由屋脊板或屋脊梁、椽条和顶棚搁栅等构成。桁架、椽条和顶棚搁栅的截面应由计算确定,并应有可靠的锚固和支撑。
9.6.14 屋盖系统的椽条或搁栅应符合下列规定: 1 椽条或搁栅沿长度方向应连续,但可用连接板在竖向支座上连接; 2 椽条或搁栅在边支座上的搁置长度不应小于40mm; 3 屋谷和屋脊椽条的截面高度应比其他处椽条的截面高度大50mm; 4 椽条或搁栅在屋脊处可由承重墙或支承长度不小于90mm的屋脊梁支承;椽条的顶端在屋脊两侧应采用连接板或按钉连接的构造要求相互连接; 5 当椽条连杆跨度大于2.4mm时,应在连杆中部加设通长纵向水平系杆,系杆截面尺寸不应小于20mm×90mm(图9.6.14);

6 当椽条连杆的截面尺寸不小于40mm×90mm时,对于屋面坡度大于1:3的屋盖,可将椽条连杆作为椽条的中间支座; 7 当屋面坡度大于1:3,且屋脊两侧的椽条与顶棚搁栅的钉连接符合本标准附录B第B.3.1条的规定时,屋脊板可不设置支座。
9.6.15 当屋面或吊顶开孔大于椽条或搁栅间距离时,开孔周围的构件应按本标准第9.6.9条的规定进行加强。
9.6.16 上人屋顶的屋面板应符合本标准第9.6.12条对楼面板的规定。对于不上人屋顶的屋面板应符合下列的规定: 1 屋面板的厚度及允许屋面荷载的标准值应符合表9.6.16的规定。 2 屋面板的尺寸不应小于1.2m×2.4m,在屋盖边界或开孔处,允许使用宽度不小于300mm的窄板,但不应多于两块;当屋面板的宽度小于300mm时,应加设填块固定。 3 铺设木基结构板材时,板材长度方向应与椽条或木桁架垂直,宽度方向的接缝应与椽条或木桁架平行,并应相互错开不少于两根椽条或木桁架的距离。 4 屋面板接缝应连接在同一椽条或木桁架上,板与板之间应留有不小于3mm的空隙。
表9.6.16 屋面板厚度及允许屋面荷载标准值

注:当恒荷载标准值Gk>1.3kN/m2或雪荷载标准值Sk≥2.0kN/m2,轻型木结构的构件及连接不能按构造设计,而应通过计算进行设计。
9.6.17 轻型木结构构件之间采用钉连接时,钉的直径不应小于2.8mm,并应符合本标准附录B第B.3.3条的规定。楼面板、屋面板及墙面板与轻型木结构构架的钉连接应符合本标准附录B第B.3.2条的规定。
9.6.18 楼盖、屋盖和顶棚构件的开孔或缺口应符合下列规定: 1 搁栅的开孔尺寸不应大于搁栅截面高度的1/4,且距搁栅边缘不应小于50mm; 2 允许在搁栅上开缺口,但缺口应位于搁栅顶面,缺口距支座边缘不应大于搁栅截面高度的1/2,缺口高度不应大于搁栅截面高度的1/3; 3 承重墙墙骨柱截面开孔或开凿缺口后的剩余高度不应小于截面高度的2/3,非承重墙不应小于40mm; 4 墙体顶梁板的开孔或开凿缺口后的剩余宽度不应小于50mm; 5 除设计已有规定外,不应随意在屋架构件上开孔或留缺口。
9.6.19 梁在支座上的搁置长度不应小于90mm,支座表面应平整,梁与支座应紧密接触。
9.6.20 由多根规格材用钉连接制作成的拼合截面梁(图9.6.20)应符合下列规定: 1 拼合截面梁中单根规格材的对接位置应位于梁的支座处。 2 拼合截面梁为连续梁时,梁中单根规格材的对接位置应位于距支座1/4梁净跨150mm的范围内;相邻的单根规格材不应在同一位置上对接;在同一截面上对接的规格材数量不应超过拼合梁规格材总数的一半;任一根规格材在同一跨内不应有两个或两个以上的接头,并在有接头的相邻一跨内不应再次对接;边跨内不应对接。 3 当拼合截面梁采用40mm宽的规格材组成时,规格材之间应沿梁高采用等分布置的两排钉连接,钉长不应小于90mm,钉的间距不应大于450mm,钉的端距为1OOmm~150mm。 4 当拼合截面梁采用40mm宽的规格材以螺栓连接时,螺栓直径不应小于12mm,螺栓中距不应大于1.2m,螺栓端距不应大于600mm。

图9.6.20 钉连接拼合截面梁示意
9.6.21 规格材组成的拼合柱应符合下列规定: 1 当拼合柱采用钉连接时,拼合柱的连接应符合下列规定: 1) 沿柱长度方向的钉间距不应大于单根规格材厚度的6倍,且不应小于20倍钉的直径d,钉的端距应大于15d,且应小于18d; 2) 钉应贯穿拼合柱的所有规格材,且钉入最后一根规格材的深度不应小于规格材厚度的3/4,相邻钉应分别在柱的两侧沿柱长度方向交错打入; 3) 当拼合柱中单根规格材的宽度大于其厚度的3倍时,在宽度方向应至少布置两排钉; 4) 当在柱宽度方向布置两排及两排以上的钉时,钉的行距不应小于10d,且不应大于20d;边距不应小于5d,且不应大于20d; 5) 当拼合柱仅有一排钉时,相邻的钉应错开钉人,当超过两排钉时,相邻列的钉应错开钉人。 2 当拼合柱采用螺栓连接时,拼合柱的连接应符合下列规定: 1) 规格材与螺母之间应采用金属垫片,螺母拧紧后,规格材之间应紧密接触; 2) 沿柱长度方向的螺栓间距不应大于单根规格材厚度的6倍,且不应小于4倍螺栓直径,螺栓的端距应大于7d,且应小于8.5d; 3) 当拼合柱中单根规格材的宽度大于其厚度的3倍时,在宽度方向应至少布置两排螺栓; 4) 当在柱宽度方向布置两排及两排以上的螺栓时,螺栓的行距不应小于1.5d,且不应大于10d,边距不应小于1.5d,且不应大于10d 。
9.6.22 与基础顶面连接的地梁板应采用直径不小于12mm的锚栓与基础锚固,间距不应大于2.0m。锚栓埋人基础深度不应小于300mm,每根地梁板两端应各有一根锚栓,端距应为100mm~300mm。
.6.23 轻型木结构的墙体应支承在混凝土基础或砌体基础顶面的混凝土圈梁上,混凝土基础或圈梁顶面砂浆应平整,倾斜度不应大于2%。
10 防火设计
10.1 一般规定
10.1.1 木结构建筑的防火设计和防火构造除应符合本章的规定外,尚应符合现行国家标准《建筑设计防火规范》GB 50016的有关规定。
10.1.2 本章规定的防火设计方法适用于耐火极限不超过2.OOh的构件防火设计。防火设计应采用下列设计表达式:

式中:Sk——火灾发生后验算受损木构件的荷载偶然拼合的效应设计值,永久荷载和可变荷载均应采用标准值; Rf——按耐火极限燃烧后残余木构件的承载力设计值。
10.1.3 残余木构件的承载力设计值计算时,构件材料的强度和弹性模量应采用平均值。材料强度平均值应为材料强度标准值乘以表10.1.3规定的调整系数。
表10.1.3 防火设计强度调整系数

10.1.4木构件燃烧t小时后,有效炭化层厚度应按下式计算:

式中:def——有效炭化层厚度(mm); βn——木材燃烧1. 00h的名义线性炭化速率(mm/h);采用针叶材制作的木构件的名义线性炭化速率为38mm/h; t——而火极限(h)。
10.1.5 当验算燃烧后的构件承载能力时,应按本标准第5章的各项相关规定进行验算,并应符合下列规定: 1 验算构件燃烧后的承载能力时,应采用构件燃烧后的剩余截面尺寸; 2 当确定构件强度值需要考虑尺寸调整系数或体积调整系数时,应按构件燃烧前的截面尺寸计算相应调整系数。
10.1.6 构件连接的耐火极限不应低于所连接构件的耐火极限。
10.1.7 三面受火和四面受火的木构件燃烧后剩余截面(图10.1.7)的几何特征应根据构件实际受火面和有效炭化厚度进行计算。单面受火和相邻两面受火的木构件燃烧后剩余截面可按本标准第10.1.4条进行确定。

10.1.8 木结构建筑构件的燃烧性能和耐火极限不应低于表10.1.8的规定。常用木构件的燃烧性能和耐火极限可按本标准附录R的规定确定。
表10.1.8 木结构建筑中构件的燃烧性能和耐火极限

注:1 除现行国家标准《建筑设计防火规范》GB 50016另有规定外,当同一座木结构建筑存在不同高度的屋顶时,较低部分的屋顶承重构件和屋面不应采用可燃性构件;当较低部分的屋顶承重构件采用难燃性构件时,其耐火极限不应小于0.75h; 2 轻型木结构建筑的屋顶,除防水层、保温层和屋面板外,其他部分均应视为屋顶承重构件,且不应采用可燃性构件,耐火极限不应低于0.50h; 3 当建筑的层数不超过2层、防火墙间的建筑面积小于600m2,且防火墙间的建筑长度小于60m时,建筑构件的燃烧性能和耐火极限应按现行国家标准《建筑设计防火规范》GB 50016中有关四级耐火等级建筑的要求确定。
10.1.9 木结构采用的建筑材料,其燃烧性能的技术指标应符合现行国家标准《建筑材料及制品燃烧性能分级》GB 8624的规定。
10.2 防火构造
10.2.1 轻型木结构建筑中,下列存在密闭空间的部位应采用连续的防火分隔措施: 1 当层高大于3m时,除每层楼、屋盖处的顶梁板或底梁板可作为竖向防火分隔外,应沿墙高每隔3m在墙骨柱之间设置竖向防火分隔;当层高小于或等于3m时,每层楼、屋盖处的顶梁板或底梁板可作为竖向防火分隔。 2 楼盖和屋盖内应设置水平防火分隔,且水平分隔区的长度或宽度不应大于20m,分隔的面积不应大于300m2。 3 屋盖、楼盖和吊顶中的水平构件与墙体竖向构件的连接处应设置防火分隔。 4 楼梯上下第一步踏板与楼盖交接处应设置防火分隔。
10.2.2 轻型木结构设置防火分隔时,防火分隔可采用下列材料制作: 1 截面宽度不小于40mm的规格材; 2 厚度不小于12mm的石膏板; 3 厚度不小于12mm的胶合板或定向木片板; 4 厚度不小于0.4mm的钢板; 5 厚度不小于6mm的无机增强水泥板; 6 其他满足防火要求的材料。
10.2.3 当管道穿越木墙体时,应采用防火封堵材料对接触面和缝隙进行密实封堵;当管道穿越楼盖或屋盖时,应采用不燃性材料对接触面和缝隙进行密实封堵。
10.2.4 木结构建筑中的各个构件或空间内需填充吸声、隔热、保温材料时,其材料的燃烧性能不应低于B1级。
10.2.5 当采用厚度为50mm以上的锯材或胶合木作为屋面板或楼面板时(图10.2.5a),楼面板或屋面板端部应坐落在支座上,其防火设计和构造应符合下列规定: 1 当屋面板或楼面板采用单舌或双舌企口板连接时(图10.2.5b),屋面板或楼面板可作为仅有底面一面受火的受弯构件进行设计。 2 当屋面板或楼面板采用直边拼接时,屋面板或楼面板可作为两侧部分受火而底面完全受火的受弯构件,可按三面受火构件进行防火设计。此时,两侧部分受火的炭化率应为有效炭化率的1/3。

图10.2.5 锯材或胶合木楼、屋面板示意
10.2.6 当木梁与木柱、木梁与木梁采用金属连接件连接时,金属连接件的防火构造可采用下列方法: 1 可将金属连接件嵌入木构件内,固定用的螺栓孔可采用木塞封堵,所有的连接缝可采用防火封堵材料填缝; 2 金属连接件表面采用截面厚度不小于40mm的木材作为表面附加防火保护层; 3 将梁柱连接处包裹在耐火极限为1.OOh的墙体中; 4 采用厚度大于15mm的耐火纸面石膏板在梁柱连接处进行分隔保护。
10.2.7 木结构建筑中配电线路的敷设应采用下列防火措施: 1 消防配电线路应采用阻燃和耐火电线、电缆或矿物绝缘电缆; 2 用于重要木结构公共建筑的电源主干线路应采用矿物绝缘线缆; 3 电线、电缆直接明敷时应穿金属管或金属线槽保护;当采用矿物绝缘线缆时可直接明敷; 4 电线、电缆穿越墙体、楼盖或屋盖时,应穿金属套管,并应采用防火封堵材料对其空隙进行封堵。
10.2.8 安装在木构件上的开关、插座及接线盒应符合下列规定: 1 当开关、插座及接线盒有金属套管保护时,应采用金属盒体; 2 当开关、插座及接线盒有矿棉保护时,可采用难燃性盒体; 3 安装在木骨架墙体上时,墙体中相邻两根木骨柱之间的两侧面板上,应仅在其中一侧设置开关、插座及接线盒;当设计需要在墙体中相邻两根木骨柱之间的两侧面板上均设置开关、插座及接线盒时,应采取局部的防火分隔措施。
10.2.9 安装在木结构建筑楼盖、屋盖及吊顶上的照明灯具应采用金属盒体,且应采用不低于所在部位墙体或楼盖、屋盖耐火极限的石膏板对金属盒体进行分隔保护。
10.2.10 当管道内的流体造成管道外壁温度达到120℃及以上时,管道及其包覆材料或内衬以及施工时使用的胶粘剂应为不燃材料;对于外壁温度低于120℃的管道及其包覆材料或内衬,其燃烧性能不应低于B1级。
10.2.11 当采用非金属不燃材料制作烟道、烟囱、火炕等采暖或炊事管道时,应符合下列规定: 1 与木构件相邻部位的壁厚不应小于240mm; 2 与木构件之间的净距不应小于1OOmm; 3 与木构件之间的缝隙应具备良好的通风条件,或可采用70mm的矿棉保护层隔热。
10.2.12 当采用金属材料制作烟道、烟囱、火炕等采暖或炊事管道时,应采用厚度为70mm的矿棉保护层隔热,并应在保护层外部包覆耐火极限不低于1.OOh的防火保护。
10.2.13 木结构建筑中放置烹饪炉的平台应为不燃材料,烹饪炉上方750mm以及周围400mm的范围内不应有可燃装饰或可燃装置。
10.2.14 附设在木结构居住建筑内的机动车库应符合下列规定: 1 车库总面积不宜超过60m2; 2 不宜设置与室内相通的窗洞,可仅设置一樘不直通卧室的单扇乙级防火门; 3 车库与室内的隔墙耐火极限不应低于2.OOh。
10.2.15 当木结构建筑需要进行防雷设计时,除应满足现行国家标准《建筑防雷设计规范》GB 50057的相关规定外,还应符合下列规定: 1 木结构建筑的防雷等级可根据其重要性、使用性质、发生雷电事故的可能性和后果划分。 2 木结构建筑宜采用装设在屋顶的避雷网或避雷带作为防直击雷的接闪器,突出屋面的所有金属构件均应与防雷装置可靠焊接。 3 引下线宜沿木结构建筑外墙明卡敷设,并应在距室外地面上1.8m处设置断接卡,连接板处应有明显标志。当引下线为墙内暗敷时,应采用绝缘套管进行保护。 4 地面上1.7m以下至地面下0.3m的一段接地线应采用改性塑料管或橡胶管等进行保护。 5 室内电缆、导线与防雷引下线之间的距离不应小于2.Om。
10.2.16 当胶合木构件考虑耐火极限的要求时,其层板组坯除应符合构件强度设计的规定外,还应符合下列防火构造规定: 1 对于耐火极限为1.OOh的胶合木构件,当构件为非对称异等组合时,应在受拉边减去一层中间层板,并应增加一层表面抗拉层板。当构件为对称异等组合时,应在上下两边各减去~层中间层板,并应各增加一层表面抗拉层板。构件设计时,强度设计值应按未改变层板组合的情况取值。 2 对于耐火极限为1.50h或2.OOh的胶合木构件,当构件为非对称异等组合时,应在受拉边减去两层中间层板,并应增加两层表面抗拉层板。当构件为对称异等组合时,应在上下两边各减去两层中间层板,并应各增加两层表面抗拉层板。构件设计时,强度设计值应按未改变层板组合的情况取值。
11 木结构防护
11.1 一般规定
11.1.1 木结构建筑应根据当地气候条件、白蚁危害程度及建筑物特征采取有效的防水、防潮和防白蚁措施,保证结构和构件在设计使用年限内正常工作。
11.1.2 木结构建筑使用的木材含水率应符合本标准第3.1.12条的规定,应防止木材在运输、存放和施工过程中遭受雨淋和潮气。
11.2 防水防潮
11.2.1 木结构建筑应有效地利用周围地势、其他建筑物及树木,应减少外围护结构表面的环境暴露程度。
11.2.2 木结构建筑应有效利用悬挑结构、雨篷等设施对外墙面和门窗进行保护,宜减少在围护结构上开窗开洞的部位。
11.2.3 木结构建筑应采取有效措施提高整个建筑围护结构的气密性能,应在下列部位的接触面和连接点设置气密层: 1 相邻单元之间; 2 室内空间与车库之间; 3 室内空间与非调温调湿地下室之间; 4 室内空间与架空层之间; 5 室内空间与通风屋顶空间之间。
11.2.4 在年降雨量高于1OOOmm的地区,或环境暴露程度很高的木结构建筑,应采用防雨幕墙。在外墙防护板和外墙防水膜之间应设置排水通风空气层,其净厚度宜在1Omm以上,有效空隙不应低于排水通风空气层总空隙的70%;空隙开口处应设置连续的防虫网。
11.2.5 在混凝土地基周围、地下室和架空层内,应采取防止水分和潮气由地面入侵的排水、防水及防潮等有效措施。在木构件和混凝土构件之间应铺设防潮膜。建筑物室内外地坪高差不应小于300mm。当建筑物底层采用木楼盖时,木构件的底部距离室外地坪的高度不应小于300mm 。
11.2.6 木结构建筑屋顶宜采用坡屋顶。屋顶空间宜安装通风孔。采用自然通风时,通风孔总面积应不小于保温吊顶面积的1/300。通风孔应均匀设置,并应采取防止昆虫或雨水进入的措施。
11.2.7 外墙和非通风屋顶的设计应减少蒸汽内部冷凝,并有效促进潮气散发。在严寒和寒冷地区,外墙和非通风屋顶内侧应具有较低蒸汽渗透率;在夏热冬暖和炎热地区,外侧应具有较低的蒸汽渗透率。
11.2.8 在门窗洞口、屋面、外墙开洞处、屋顶露台和阳台等部位均应设置防水、防潮和排水的构造措施,应有效地利用泛水材料促进局部排水。泛水板向外倾斜的最终坡度不应低于5%。屋顶露台和阳台的地面最终排水坡度不应小于2%。
11.2.9 木结构的防水防潮措施应按下列规定设置: 1 当桁架和大梁支承在砌体或混凝土上时,桁架和大梁的支座下应设置防潮层; 2 桁架、大梁的支座节点或其他承重木构件不应封闭在墙体或保温层内; 3 支承在砌体或混凝土上的木柱底部应设置垫板,严禁将木柱直接砌入砌体中,或浇筑在混凝土中; 4 在木结构隐蔽部位应设置通风孔洞; 5 无地下室的底层木楼盖应架空,并应采取通风防潮措施。
11.3 防生物危害
11.3.1 木结构建筑受生物危害区域应根据白蚁和腐朽的危害程度划分为四个区域等级,各区域等级包括的地区应按表11.3.1的规定确定。
表11.3.1 生物危害地区划分表

11.3.2 当木结构建筑施工现场位于白蚁危害区域等级为Z2、Z3和Z4区域内时,木结构建筑的施工应符合下列规定: 1 施工前应对场地周围的树木和土壤进行白蚁检查和灭蚁工作; 2 应清除地基土中已有的白蚁巢穴和潜在的白蚁栖息地; 3 地基开挖时应彻底清除树桩、树根和其他埋在土壤中的木材; 4 所有施工时产生的木模板、废木材、纸质品及其他有机垃圾,应在建造过程中或完工后及时清理干净; 5 所有进入现场的木材、其他林产品、土壤和绿化用树木,均应进行白蚁检疫,施工时不应采用任何受白蚁感染的材料; 6 应按设计要求做好防治白蚁的其他各项措施。
11.3.3 当木结构建筑位于白蚁危害区域等级为Z3和Z4区域内时,木结构建筑的防白蚁设计应符合下列规定: 1 直接与土壤接触的基础和外墙,应采用混凝土或砖石结构;基础和外墙中出现的缝隙宽度不应大于0. 3mm; 2 当无地下室时,底层地面应采用混凝土结构,并宜采用整浇的混凝土地面; 3 由地下通往室内的设备电缆缝隙、管道孔缝隙、基础顶面与底层混凝土地坪之间的接缝,应采用防白蚁物理屏障或土壤化学屏障进行局部处理; 4 外墙的排水通风空气层开口处应设置连续的防虫网,防虫网隔栅孔径应小于1mm; 5 地基的外排水层或外保温绝热层不宜高出室外地坪,否则应作局部防白蚁处理。
11.3.4 在白蚁危害区域等级为Z3和Z4的地区,应采用防白蚁土壤化学处理和白蚁诱饵系统等防虫措施。土壤化学处理和白蚁诱饵系统应使用对人体和环境无害的药剂。
11.4 防 腐
11.4.1 木结构建筑采用的防腐、防虫构造措施应在设计图纸中作出规定。
11.4.2 所有在室外使用,或与土壤直接接触的木构件,应采用防腐木材。在不直接接触土壤的情况下,可采用其他耐久木材或耐久木制品。
11.4.3 当木构件与混凝土或砖石砌体直接接触时,木构件应采用防腐木材。
11.4.4 当承重结构使用马尾松、云南松、湿地松、桦木,并位于易腐朽或易遭虫害的地方时,应采用防腐木材。
11.4.5 在白蚁危害区域等级为Z4的地区,木结构建筑宜采用具有防白蚁功能的防腐处理木材。
11.4.6 木构件的机械加工应在防腐防虫药剂处理前进行。木构件经防腐防虫处理后,应避免重新切割或钻孔。由于技术上的原因,确有必要作局部修整时,应对木材暴露的表面,涂刷足够的同品牌或同品种药剂。
11.4.7 当金属连接件、齿板及螺钉与含铜防腐剂处理的木材接触时,金属连接件、齿板及螺钉应避免防腐剂引起的腐蚀,并应采用热浸镀锌或不锈钢产品。
11.4.8 防腐防虫药剂配方及技术指标应符合现行国家标准《木材防腐剂》GB/T 27654的相关规定。在任何情况下,均不应使用未经鉴定合格的药剂。防腐木材的使用分类和要求应满足现行国家标准《防腐木材的使用分类和要求》GB/T 27651的相关规定。
11.4.9 木结构的防腐、防虫采用药剂加压处理时,该药剂在木材中的保持量和透人度应达到设计文件规定的要求。设计未作规定时,则应符合现行国家标准《木结构工程施工质量验收规范》GB 50206的相关规定。
附录A 承重结构木材材质标准
A.1 方木原木结构用木材材质标准
A.1.1 现场目测分级方木的材质标准应符合表A.1.1的规定。
表A.1.1 现场目测分级方木材质标准

注:1 对于死节(包括松软节和腐朽节),除按一般木节测量外,必要时尚应按缺孔验算;若死节有腐朽迹象,则应经局部防腐处理后使用; 2 木节尺寸按垂直于构件长度方向测量。木节表现为条状时,在条状的一面不计(图A.1.1),直径小于10mm的活节不计。

图A.1.1 木节测量方法示意
A.1.2 现场目测分级原木的材质标准应符合表A.1.2的规定。
表A.1.2 现场目测分级原木材质标准

注:1 对于死节(包括松软节和腐朽节),除按一般木节测量外,必要时尚应按缺孔验算;若死节有腐朽迹象,则应经局部防腐处理后使用; 2 木节尺寸按垂直于构件长度方向测量,直径小于10mm的活节不量; 3 对于原木的裂缝,可通过调整其方位(使裂缝尽量垂直于构件的受剪面)予以使用。
A.1.3 现场目测分级板材的材质标准应符合表A.1.3的规定。
表A.1.3 现场目测分级板材材质标准

注:对于死节(包括松软节和腐朽节),除按一般木节测量外,必要时尚应按缺孔验算。若死节有腐朽迹象,则应经局部防腐处理后使用。
A.1.4 采用工厂目测分级的方木用于梁或柱时,其材质标准应符合表A.1.4-1或表A.1.4-2的规定。
表A.1.4-1 用于梁的工厂目测分级方木材质标准(宽度≥114mm, 高度≥ 宽度+50mm)



注:1 表中h为构件截面高度(宽面); b 为构件截面宽度(窄面); L 为构件长度; 2 等效裂等效裂缝指当表面轮裂的裂缝长度小于L/2 时,相应的裂缝深度可根据表面轮裂的等效裂缝面积增加;同样,当裂缝深度小于b/2 时,相应的裂缝长度可根据表面轮裂的等效裂缝面积增加; 3 白腐——木材中白腐菌引起的白色或棕色的小壁孔或斑点;蜂窝腐——与白腐相似但囊孔更大。
表A.1.4-2 用于柱的工厂目测分级方木材质标准(宽度≥114mm, 高度≤ 宽度+50mm)



注: 1 表中,h为构件截面高度(宽面); b 为构件截面宽度(窄面); L 为构件长度; 2 等效裂等效裂缝指当表面轮裂的裂缝长度小于L/2 时,相应的裂缝深度可根据表面轮裂的等效裂缝面积增加;同样,当裂缝深度小于b/2 时,相应的裂缝长度可根据表面轮裂的等效裂缝面积增加; 3 白腐——木材中白腐菌引起的白色或棕色的小壁孔或斑点;蜂窝腐——与白腐相似但囊孔更大。
A.2 普通胶合木层板材质标准
A.2.1 普通胶合木层板材质等级标准应符合表A.2.1 的规定。
表A.2.1 普通胶合木层板材质等级标准

A.3 轻型木结构用规格材材质标准
A.3.1 轻型木结构用规格材材质标准应符合表A.3.1 的规定。
表A.3.1 轻型木结构用规格材材质标准






注:1 表中h 为构件截面高度(宽面); b 为构件截面宽度(窄面); L 为构件长度;hm为构件截面最大高度; 2 漏刨有:轻度跳刨——深度不大于1.6mm, 长度不大于1220mm 的一组漏刨,漏刨间表面有刨光;中度漏刨在部分或全部表面有深度不超过1.6mm 的漏刨或全部糙面;重度漏刨——宽面上深度不大于3.2mm 的漏刨; 3 当钝棱长度不超过304mm 且钝棱表面满足对漏刨的规定时,不在构件端部的钝棱容许占据构件的部分或全部宽面;当钝棱的长度不超过最大节孔直径的2 倍且钝棱的表面满足对节孔的规定时,不在构件端部的钝棱容许占据构件的部分或全部窄面;该缺陷在每根构件中允许出现一次,含有该缺陷的构件总数不应超过5%; 4 材心腐——沿髓心发展的局部腐朽;白腐——木材中白腐菌引起的白色或棕色的小壁孔或斑点;蜂窝腐——与白腐相似但囊孔更大;局部片状腐——槽状或壁孔状的腐朽区域; 5 节孔可以全部或部分贯通构件。除非特别说明,节孔的测量方法同节子。
附录B 轻型木结构的有关要求
B.1 规格材的截面尺寸
B.1.1 轻型木结构用规格材截面尺寸应符合表B.1.1的规定。
表B.1.1 结构规格材截面尺寸表

注:1 表中截面尺寸均为含水率不大于19%、由工厂加工的干燥木材尺寸; 2 当进口规格材截面尺寸与表中尺寸相差不超2mm时,应与其相应规格材等同使用;但在计算时,应按进口规格材实际截面进行计算。
B.1.2 轻型木结构用速生树种规格材截面尺寸应符合表B.1.2的规定。
表B.1.2 速生树种结构规格材截面尺寸表

注:表中截面尺寸均为含水率不大于19%、由工厂加工的干燥木材尺寸。
B.2 墙骨柱最小截面尺寸和最大间距
B.2.1 轻型木结构墙骨柱的最小截面尺寸和最大间距(图B.2.1)应符合表B.2.1的规定。

图B.2.1 墙骨柱的最小截面尺寸和最大间距示意 1-最大间距;2-最小截面宽度;3-最小截面高度
表B.2.1 墙骨柱的最小截面尺寸和最大间距

B.3 构件之间的钉连接要求
B.3.1 轻型木结构屋面橡条与顶棚搁栅的钉连接应符合表B.3.1的规定。
表B.3.1 掾条与顶棚搁栅钉连接(屋脊板无支承)

B.3.2 轻型木结构墙面板、楼面板和屋面板与支承构件的钉连接应符合表B.3.2的规定。
表B.3.2 墙面板、楼(屋)面板与支承构件的钉连接要求

注:钉距每块面板边缘不应小于10mm;钉应牢固的打入骨架构件中,钉面应与板面齐平。
B.3.3 轻型木结构构件之间的钉连接应符合表B.3.3的规定。
表B.3.3 轻型木结构的钉连接要求


附录C 木结构检查与维护要求
C.0.1 木结构工程在交付使用前应进行一次全面的检查,应着重检查下列各项: 1 构件支座节点和构件连接节点均应逐个检查,凡是松动的螺栓均应拧紧; 2 跨度较大的梁和桁架的起拱位置和高度是否与设计相符; 3 全部圆钢拉杆和螺栓应逐个检查,凡松动的螺栓应拧紧,并应检查丝扣部分是否正常,螺纹净面积有无过度削弱的情况,是否有防锈措施等。
C.0.2 在工程交付使用后的两年内,业主或物业管理部门应根据当地雪季、雨季和风季前后的气候特点每年安排一次常规检查。两年以后的检查,可视具体情况予以安排,但进行常规检查的时间间隔不应大于5年。
C.0.3 常规检查的项目应着重检查下列各项: 1 木屋架支座节点是否受潮、腐蚀或被虫蛀;天沟和天窗是否漏水或排水不畅;木屋架下弦接头处是否有拉开现象,夹板的螺孔附近是否有裂缝。 2 木屋架是否明显的下垂或倾斜;拉杆是否锈蚀,螺帽是否松动,垫板是否变形。 3 构件支座和连接等部位木材是否有受潮或腐朽迹象。 4 构件之间连接节点是否松动。当采用金属连接件时,固定用的螺帽是否松动,金属件是否有化学性侵蚀迹象。 5 轻型木桁架的齿板表面是否有严重的腐蚀,齿板是否松动和脱落。 6 对于暴露在室外或者经常位于在潮湿环境中的木构件,构件是否有严重的开裂和腐朽迹象。 7 木构件之间或木构件与建筑物其他构件之间的连接处,应检查隐藏面是否出现潮湿或腐朽。
C.0.4 当发现有可能危及木结构安全的情况时,应及时进行维护或加固。
C.0.5 构件需进行结构性破坏的维修时,应经过专门设计才能进行。
C.0.6 业主或物业管理部门宜对木结构建筑建立检查和维护的技术档案。对于木结构公共建筑和工业建筑应建立健全检查和维护的技术档案。
附录D 进口的结构用材强度设计值和弹性模量
D.1 进口北美地区目测分级方木的强度指标
D.1.1 进口北美地区目测分级方木的强度设计值和弹性模量应按表D.1.1的规定取值。
表D.1.1 进口北美地区目测分级方木强度设计值和弹性模量


D.1.2 进口北美地区目测分级方木用于梁时,其强度设计值和弹性模量的尺寸调整系数k应按表D.1.2的规定采用。
表D.1.2 尺寸调整系数k

注:表中h 为方木宽面尺寸。
D.1.3 进口北美地区目测分级方木的材质等级与本标准的目测分级方木材质等级的对应关系可按表D.1.3的规定采用。
表D.1.3 北美地区工厂目测分级方木材质等级与本标准对应关系表

D.2 进口北美地区规格材的强度设计值和弹性模量
D.2.1 进口北美地区目测分级规格材的强度设计值和弹性模量应按表D.2.1的规定取值,并应乘以本标准表4.3.9-3规定的尺寸调整系数。
表D.2.1 进口北美地区目测分级规格材强度设计值和弹性模量


注:当荷载作用方向垂直于规格材宽面时,表中抗弯强度应乘以本标准表4.3.9-4规定的平放调整系数。
D.2.2 进口北美地区机械分级规格材的强度设计值和弹性模量应按表D.2.2的规定取值。
表D.2.2 北美地区进口机械分级规格材强度设计值和弹性模量

注: 1 表中机械分级规格材的横纹承压强度设计值fc,90和顺纹抗剪强度设计值fv, 应根据采用的树种或树种组合,按本标准表D.2.1中相同树种或树种组合的横纹承压和顺纹抗剪强度设计值确定。 2 当荷载作用方向垂直于规格材宽面时,表中抗弯强度应乘以本标准表4.3.9-4规定的平放调整系数。
D.2.3 进口北美地区目测分级规格材材质等级与本标准目测分级规格材材质等级对应关系应按表D.2.3的规定采用。
表D.2.3 北美地区目测分级规格材材质等级与本标准的对应关系

D.3 进口结构材的强度设计值和弹性模量
D.3.1 进口欧洲地区结构材的强度设计值和弹性模量应按表D.3.1的规定取值。当符合本标准第D.3.2条的规定时,相关的强度设计值应乘以尺寸调整系数kh。
表D.3.1 进口欧洲地区结构材的强度设计值和弹性模量


D.3.2 当采用进口欧洲地区结构材,且构件受弯截面的高度尺寸和受拉截面的宽边尺寸小于150mm时,结构材的抗弯强度和抗拉强度应乘以尺寸调整系数kh。尺寸调整系数kh应按下列公式确定:

D.3.3 进口新西兰结构材的强度设计值和弹性模量应按表D.3.3的规定取值。
表D.3.3 进口新西兰结构材强度设计值和弹性模量

注:当荷载作用方向垂直于规格材宽面时,表中抗弯强度应乘以本标准表4.3.9-4规定的平放调整系数。
附录E 承重结构用材的强度标准值和弹性模量标准值
E.1 国产树种规格材的强度标准值和弹性模量标准值
E.1.1已经确定的国产树种目测分级规格材的强度标准值和弹性模量标准值应按表E.1.1 的规定取值,并应乘以本标准表4.3.9-3规定的尺寸调整系数。
表E.1.1 国产树种目测分级规格材强度标准值和弹性模量标准值

E.2 胶合木的强度标准值和弹性模量标准值
E.2.1 胶合木的强度标准值和弹性模量标准值应按下列规定取值: 1 对称异等组合胶合木强度标准值和弹性模量标准值应按表E.2.1-1的规定取值;
表E.2.1-1 对称异等组合胶合木的强度标准值和弹性模量标准值

2 非对称异等组合胶合木强度标准值和弹性模量标准值应按表E.2.1-2的规定取值;
表E.2.1-2 非对称异等组合胶合木的强度标准值和弹性模量标准值

3 同等组合胶合木的强度标准值和弹性模量应按表E.2.1-3的规定取值。
表E.2.1-3 同等组合胶合木的强度标准值和弹性模量标准值

E.3 进口北美地区目测分级方木的强度标准值和弹性模量标准值
E.3.1 进口北美地区目测分级方木强度标准值和弹性模量标准值应按表E.3.1的规定取值。
表E.3.1 进口北美地区目测分级方木强度标准值和弹性模量标准值


E.4 进口北美地区规格材的强度标准值和弹性模量标准值
E.4.1 进口北美地区目测分级规格材强度标准值和弹性模量标准值应按表E.4.1的规定取值,并应乘以本标准表4.3.9-3规定的尺寸调整系数。
表E.4.1 北美地区进口目测分级规格材强度标准值和弹性模量标准值


E.4.2 进口北美地区机械分级规格材的强度标准值和弹性模量标准值应按表E.4.2的规定取值。
表E.4.2 进口北美地区机械分级规格材强度标准值和弹性模量标准值

E.5 进口结构材强度标准值和弹性模量标准值
E.5.1 进口欧洲地区结构材强度标准值和弹性模量标准值应按表E.5.1的规定取值。当符合本标准第D.3.2 条的规定时,相关的强度标准值应乘以尺寸调整系数kh。
表E.5.1 进口欧洲地区结构材的强度标准值和弹性模量标准值

E.5.2 进口新西兰结构材的强度标准值和弹性模量标准值应按表E.5.2的规定取值。
表E.5.2 进口新西兰结构材强度标准值和弹性模量标准值

E.6 防火设计时方木原木材料强度标准值和弹性模量
E.6.1 防火设计时,方木原木的强度标准值和弹性模量应按表E.6.1 的规定取值。
表E.6.1 方木原木防火设计时的强度标准值和弹性模量

附录F 工厂生产的结构材强度指标确定方法
F.0.1 本附录适用于尚未列入本标准强度设计指标,并由工厂规模化生产的结构材强度标准值和强度设计指标的确定。
F.0.2 工厂规模化生产的结构材应包括下列木材产品: 1 结构复合材 1)旋切板胶合木(LVL); 2)平行木片胶合木(PSL); 3)层叠木片胶合木(LSL); 4)定向木片胶合木(OSL); 5)其他类似特征的复合木产品; 2 国产树种的目测分级或机械分级规格材; 3 工字形木搁栅。
F.0.3 结构材的生产厂家应建立生产该产品的质量保证体系,应获得第三方质量鉴定机构的认证通过,并接受其对生产过程的监控。
F.0.4 结构材的每一种产品应按国家现行相关标准规定的试验方法进行测试,确定其抗弯强度、弹性模量、顺纹抗拉强度、顺纹抗压强度、横纹抗压强度和抗剪强度等的标准值fk和设计值f。
F.0.5 当对结构材进行强度参数的测试时,试件应具有足够的代表性,各种影响构件承载能力的因素均应单独进行试验。
F.0.6 对于生产结构材的每个工厂,可根据各自的生产能力和产品需求,确定某一因素或某些因素的测试,试件数量不应少于10个。应根据测试结果计算该批次结构材产品有条件限定的强度标准值,并在一定时间范围进行累计评估。
F.0.7 每个因素的强度标准值应按下式确定:
fk=m-kS (F.0.7)
式中:fk——强度标准值; m——试件强度的平均值; S——试件强度的标准差; k——特征系数,按本附录第F.0.8条确定。
F.0.8 特征系数k应根据75%置信水平、5%分位值和试件数量n,按表F.0.8的规定取值。
表F.0.8 特征系数k值表

F.0.9 结构材强度设计值应根据其强度的标准值和变异系数,按木结构专门的可靠度分析方法进行确定。
F.0.10 弹性模量应取试件的弹性模量平均值。
F.0.11 当进口的结构材符合本附录相关规定时,其提供的强度标准值和变异系数亦可等同使用。
附录G 正交胶合木强度设计指标和计算要求
G.0.1 正交胶合木的强度设计值应根据外侧层板采用的树种和强度等级,按本标准第4章和附录D中规定的木材强度设计值选用。其中,正交胶合木的抗弯强度设计值还应乘以组合系数kc。组合系数kc应按下式计算,且不应大于1.2。
kc=1+0.025n (G.0.1)
式中:n——最外侧层板并排配置的层板数量。
G.0.2 正交胶合木构件的应力和有效刚度应基于平面假设和各层板的刚度进行计算。计算时应只考虑顺纹方向的层板参与计算。
G.0.3 正交胶合木构件的有效抗弯刚度(EI)应按下列公式计算:



式中:Ei——参加计算的第i层顺纹层板的弹性模量(N/mm2); Ii——参加计算的第i层顺纹层板的截面惯性矩(mm4); Ai——参加计算的第i层顺纹层板的截面面积(mm2); b——构件的截面宽度(mm); ti——参加计算的第i层顺纹层板的截面高度(mm); nl——参加计算的顺纹层板的层数; ei——参加计算的第i层顺纹层板的重心至截面重心的距离(图G.0.3)。

图G.0.3 截面计算示意
G.0.4 当正交胶合木受弯构件的跨度大于构件截面高度h的10倍时,构件的受弯承载能力应按下式验算:

式中:El——最外侧顺纹层板的弹性模量(N/mm2); fm——最外侧层板的平置抗弯强度设计值(N/mm2); M——受弯构件弯矩设计值(N·mm); (EI)——构件的有效抗弯刚度(N·mm2); h——构件的截面高度(mm)。
G.0.5 正交胶合木受弯构件应按下列公式验算构件的滚剪承载能力(图G.0.5):




式中:V——受弯构件剪力设计值(N); b——构件的截面宽度(mm); nl——参加计算的顺纹层板层数; E0——构件的有效弹性模量(N/mm2); fr——构件的滚剪强度设计值(N/mm2),按本标准附录第G.0.6条规定取值; A——参加计算的各层顺纹层板的截面总面积(mm2); nl/2——表示仅计算构件截面对称轴以上部分或对称轴以下部分。

图G.0.5 扭转抗剪示意
1-顺纹层板;2-横纹层板;3-顺纹层板剪力
G.0.6 正交胶合木受弯构件的滚剪强度设计值应按下列规定取值: 1 当构件施加的胶合压力不小于0.3MPa,构件截面宽度不小于4倍高度,并且层板上无开槽时,滚剪强度设计值应取最外侧层板的顺纹抗剪强度设计值的0.38倍; 2 当不满足本条第1款的规定,且构件施加的胶合压力大于0.07MPa时,滚剪强度设计值应取最外侧层板的顺纹抗剪强度设计值的0.22倍。
G.0.7 承受均布荷载的正交胶合木受弯构件的挠度应按下式计算:

式中:q——受弯构件单位面积上承受的均布荷载设计值(N/mm2); b——构件的截面宽度(mm); l——受弯构件计算跨度; (EI)——构件的有效抗弯刚度(N·mm2)。
附录H 本标准采用的木材名称及常用树种木材主要特性
H.1 本标准采用的木材名称
H.1.1 经归类的木材名称应按下列规定采用: 1 中国木材: 1) 东北落叶松包括兴安落叶松和黄花落叶松(长白落叶松)二种; 2) 铁杉包括铁杉、云南铁杉及丽江铁杉; 3) 西南云杉包括麦吊云杉、油麦吊云杉、巴秦云杉及产于四川西部的紫果云杉和云杉; 4) 西北云杉包括产于甘肃、青海的紫果云杉和云杉; 5) 红松包括红松、华山松、广东松、台湾及海南五针松; 6) 冷杉包括各地区产的冷杉属木材,有苍山冷杉、冷杉、岷江冷杉、杉松冷杉、臭冷杉、长苞冷杉等; 7) 栎木包括麻栎、槲栎、柞木、小叶栎、辽东栎、抱栎、栓皮栎等; 8) 青冈包括青冈、小叶青冈、竹叶青冈、细叶青冈、盘克青冈、滇青冈、福建青冈、黄青冈等; 9) 椆木包括柄果椆、包椆、石栎、茸毛椆(猪栎)等; 10) 锥栗包括红锥、米储、苦储、罗浮锥、大叶锥(钩粟)、栲树、南岭锥、高山锥、吊成锥、甜储等; 11) 桦木包括白桦、硕桦、西南桦、红桦、棘皮桦等。 2 进口木材: 1) 花旗松-落叶松类包括北美黄杉、粗皮落叶松; 2) 铁-冷杉类包括加州红冷杉、巨冷杉、大冷杉、太平洋银冷杉、西部铁杉、白冷杉等; 3) 铁-冷杉类(加拿大)包括太平洋冷杉、西部铁杉; 4) 南方松类包括火炬松、长叶松、短叶松、湿地松; 5) 云杉-松-冷杉类包括落基山冷杉、香脂冷杉、黑云杉,北美山地云杉、北美短叶松、扭叶松、红果云杉、白云杉; 6) 俄罗斯落叶松包括西伯利亚落叶松和兴安落叶松。
H.2 主要国产木材识别要点及其基本特性和主要加工性能
H.2.1 国产针叶树材识别要点及其基本特性和主要加工性能宜符合表H.2.1的规定。



注:本表参考《中国主要木材名称》GB/T 16734-1997 。
表H.2.2 国产阔叶树材







注:本表参考《中国主要木材名称》GB/T 16734-1997 。
H.2.2 国产阔叶树材识别要点及其基本特性和主要加工性能宜符合表H.2.2的规定。
附录J 主要进口木材识别要点及其基本特性和主要加工性能
J.0.1 进口针叶树材识别要点及其基本特性和主要加工性能宜符合表J.0.1的规定。
表J.0.1 进口针叶树材






注:本表参考《中国主要进口木材名称》GB/T 18513-2001。
J.0.2 进口阔叶树材识别要点及其基本特性和主要加工性能宜符合表J.0.2的规定。
表J.0.2 进口阔叶树材











注:本表参考《中国主要进口木材名称》GB/T 18513-2001。
附录K 构件中紧固件数量的确定与常用紧固件群栓组合系数
K.1 构件中紧固件数量的确定
K.1.1 当两个或两个以上承受单剪或多剪的销轴类紧固件,沿荷载方向直线布置时,紧固件可视作一行。
K.1.2 当相邻两行上的紧固件交错布置时,每一行中紧固件的数量按下列规定确定: 1 紧固件交错布置的行距a小于相邻行中沿长度方向上两交错紧固件间最小间距b的1/4时,即b>4a时,相邻行按一行计算紧固件数量(图K.1.2a、图K.1.2b、图K.1.2e);

图K.1.2 交错布置紧固件在每行中数量确定示意
2 当b≤4a时,相邻行分为两行计算紧固件数量(图K.1.2c、图K.1.2d、图K.1.2f); 3 当紧固件的行数为偶数时,本条第1款规定适用于任何一行紧固件的数量计算图K.1.2b、图K.1.2d);当行数为奇数时,分别对各行的kg进行确定(图K.1.2e 、图K.1.2f) 。
K.1.3 计算主构件截面面积Am和侧构件截面面积As时,应采用毛截面的面积。当荷载沿横纹方向作用在构件上时,其等效截面面积等于构件的厚度与紧固件群外包宽度的乘积。紧固件群外包宽度应取两边缘紧固件之间中心线的距离(图K.1.3) 。当仅有一行紧固件时,该行紧固件的宽度等于顺纹方向紧固件间距要求的最小值。

图K.1.3 构件横纹荷载作用时紧固件群外包宽度示意
K.2 常用紧固件群栓组合系数
K.2.1 当销类连接件直径小千25mm, 并且螺栓、销、六角头木螺钉排成一行时,各单根紧固件的承载力设计值应乘以紧固件群栓组合系数kg。
K.2.2 当销类连接件符合下列条件时,群栓组合系数kg可取1.0: 1 直径D小于6.5mm时; 2 仅有一个紧固件时; 3 两个或两个以上的紧固件沿顺纹方向仅排成一行时; 4 两行或两行以上的紧固件,每行紧固件分别采用单独的连接板连接时。
K.2.3 在构件连接中,当侧面构件为木材时,常用紧固件的群栓组合系数kg应符合表K.2.3的规定。
表K.2.3 螺栓、销和木螺钉的群栓组合系数kg(侧构件为木材)

表K.2.4 螺栓、销和木螺丝的群栓组合系数kg(侧构件为钢材)

续表K.2.4

附录L 常用树种木材的全干相对密度
L.0.1 常用树种木材的全干相对密度可按表L.0.1 的规定确定。
表L.0.1 常用树种木材的全干相对密度

续表L.0.1

附录M 齿板强度设计值的确定
M.0.1 当由试验确定板齿和齿板强度设计值时,应按现行国家标准《木结构试验方法标准》GB/T 50329 规定的方法进行试验,并应符合下列规定: 1 确定板齿的极限承载力和抗滑移承载力时,每一种试验方法应各取10个试件; 2 确定齿板的受拉极限承载力和受剪极限承载力时,每一种试验方法应各取3个试件; 3 由试验确定的板齿和齿板的极限承载力应按现行国家标准《木结构试验方法标准》GB/T 50329规定的修正系数进行校正。
M.0.2 板齿强度设计值的确定应符合下列规定: 1 荷载平行于齿板主轴(β=0°)时,板齿强度设计值按下式计算:

2 荷载垂直于齿板主轴(β=90°)时,板齿强度设计值按下式计算:

式中: nr,u1、nr,u2、n′r,u1和n′r, u2分别为按本标准第M.0.1条确定的10个与夹角α、β相关的板齿极限强度试验值中的3个最小值的平均值除以极限强度调整系数K。 3 确定nr,u1、nr,u2、n′r,u1和n′r,u2时,对应的夹角β与α取值应符合表M.0.2-1的规定。
表M.0.2-1 板齿极限强度与荷载作用方向的对应表

4 极限强度调整系数k应符合表M.0.2-2的规定。
表M.0.2-2 极限强度调整系数表

5 当齿板主轴与荷载方向夹角β不等于“0°”或“90°”时,板齿强度设计值应在nt与n′t间用线性插值法确定。
M.0.3 板齿抗滑移强度设计值的确定应符合下列规定: 1 荷载平行于齿板主轴(β=0°)时,板齿抗滑移强度设计值按下式计算:

2 荷载平行于齿板主轴(β=90°)时,板齿强度设计值按下式计算:

式中:ns,u1、ns,u2,n′s,u1和n′s,u2——分别为按本标准第M.0.1条确定的10个与夹角α 、β相关的板齿极限强度试验值中的3个最小值的平均值除以系数k。
3 确定ns,u1、ns,u2、n′s,u1、n′s,u2时,对应的夹角β与α取值应符合表M.0.3的规定。
表M.0.3 板齿抗滑移极限强度与荷载作用方向的对应表

4 对含水率小于或等于15%的规格材,ks应为1.40, 对含水率大于15%且小于19%的规格材,ks应为1.75。 5 当齿板主轴与荷载方向夹角β不等于“0°”或“90°”时,板齿抗滑移强度设计值应在ns与n′s间用线性插值法确定。
M.0.4 齿板抗拉强度设计值的确定应分别按本标准第M.0.1条确定的3个齿板抗拉极限强度校正试验值中2个最小值的平均值除以1.75选取。
M.0.5 齿板抗剪强度设计值的确定应分别按本标准第M.0.1条确定的3个齿板抗剪极限强度校正试验值中2个最小值的平均值除以1.75选取。若齿板主轴与荷载方向夹角β与试验方法的规定不同时,齿板抗剪强度设计值应按线性插值法确定。
附录N 木基结构板的剪力墙抗剪强度设计值
N.0.1 单面采用木基结构板材的木框架剪力墙结构的剪力墙抗剪强度设计值和抗剪刚度应按表N.0.1的规定取值。
表N.0.1 木框架剪力墙抗剪强度设计值fvd和抗剪刚度Kw

注: 1 本表为墙体-面铺设木基结构板的数值,对于双面铺设木基结构板的剪力墙,其值应为表中数值的两倍; 2 表中剪力墙的抗剪强度设计值适用于隐柱墙; 3 当剪力墙为明柱墙时,本表则只适用钉间距不大于100mm的剪力墙; 4 当剪力墙是在楼面板之上固定支承柱的剪力墙时,本表则只适用钉间距不大于100mm的剪力墙。
N.0.2 单面采用木基结构板材的轻型木结构剪力墙的抗剪强度设计值和抗剪刚度应按表N.0.2的规定取值。
表N.0.2 轻型木结构剪力墙抗剪强度设计值fvd和抗剪刚度Kw

注: 1 表中OSB为定向木片板; PLY为结构胶合板; 2 表中抗剪强度和刚度为钉连接的木基结构板材的面板,在干燥使用条件下,标准荷载持续时间的值;当考虑风荷载和地震作用时,表中抗剪强度和刚度应乘以调整系数1.25; 3 当钉的间距小于50mm时,位于面板拼缝处的骨架构件的宽度不应小于64mm, 钉应错开布置;可采用两根40mm宽的构件组合在一起传递剪力; 4 当直径为3.66mm的钉的间距小千75mm或钉入骨架构件的深度小于41mm时,位于面板拼缝处的骨架构件的宽度不应小于64mm, 钉应错开布置;可采用二根40mm 宽的构件组合在一起传递剪力; 5 当剪力墙面板采用射钉或非标准钉连接时,表中抗剪强度和刚度应乘以折算系数(d1/d2)2;其中,d1为非标准钉的直径,d2为表中标准钉的直径。
附录P 木基结构板的楼盖、屋盖抗剪强度设计值
P.0.1 采用木基结构板材的木框架剪力墙结构楼盖抗剪强度设计值应根据楼盖的构造类型(图P.0.1), 按表P.O.1 的规定取值。

图P.0.1 楼盖结构形式类型示意

表P.0.1 木框架剪力墙结构楼盖抗剪强度设计值fvd(kN/m)
P.0.2 采用木基结构板材的木框架剪力墙结构屋盖抗剪强度设计值应根据屋盖的构造类型(图P.0.2), 按表P.0.2 的规定取值。

图P.0.2 屋盖结构形式类型示意
表P.0.2 木框架剪力墙结构屋盖抗剪强度设计值fvd(kN/m)

续表P.0.2

注:表中抗剪强度值为沿着屋盖表面的值,屋盖水平方向的抗剪强度值应为fvd·cosθ(θ为屋面坡度)。
P.0.3 采用木基结构板材的轻型木结构楼盖、屋盖抗剪强度设计值应根据表P.0.3-1规定的楼盖、屋盖构造类型,按表P.0.3-2的规定取值。
表P.0.3-1 楼盖、屋盖构造类型

表P.0.3-2 采用木基结构板材的楼盖、屋盖抗剪强度设计值fvd
注: 1 表中抗剪强度为钉连接的木基结构板材的面板,在干燥使用条件下,标准荷载持续时间的值;当考虑风荷载和地震作用时,表中抗剪强度应乘以调整系数1.25; 2 当钉的间距小于50mm时,位于面板拼缝处的骨架构件的宽度不应小于64mm, 钉应错开布置;可采用两根40mm宽的构件组合在一起传递剪力; 3 当直径为3.66mm的钉的间距小于75mm或钉入骨架构件的深度小于41mm时,位于面板拼缝处的骨架构件的宽度不应小于64mm, 钉应错开布置;可采用两根40mm宽的构件组合在一起传递剪力; 4 当剪力墙面板采用射钉或非标准钉连接时,表中抗剪强度应乘以折算系数(d1/d2)2 ;其中,d1为非标准钉的直径,d2为表中标准钉的直径。 5 当钉的直径为3.66mm, 面板最小名义厚度为18.5mm时,应布置两排钉。
附录Q 楼盖搁栅振动控制的计算方法
Q.0.1 当楼盖搁栅(图Q.0.1)由振动控制时,搁栅的跨度l 应按下列公式验算:

无楼板面层的楼板时,

有板面层的楼板时,

式中:l——振动控制的搁栅跨度(m); b——搁栅间距(m); hj——搁栅高度(m); hs——楼板厚度(m); ht——楼板面层厚度(m); EjAj——搁栅轴向刚度(N); Es∥As——平行于搁栅的楼板轴向刚度(N/m),按表Q.0.1-1的规定取值; Es⊥As——垂直于搁栅的楼板轴向刚度(N/m),按表Q.0.1-1的规定取值; EtAt——楼板面层轴向刚度(N/m),按表Q.0.1-2的规定取值; EjIj——搁栅弯曲刚度(N·m2/m); Es∥Is——平行于搁栅的楼板弯曲刚度(N·m2/m),按表Q.0.1-1的规定取值; Es⊥Is——垂直于搁栅的楼板弯曲刚度(N·m2/m),按表Q.0.1-1的规定取值; EtIt——楼板面层弯曲刚度(N·m2/m),按表Q.0.1-2的规定取值; m——等效T形梁的线密度(kg/m),包括楼板面层、木基结构板和搁栅; Ks——考虑楼板和楼板面层侧向刚度影响的调整系数; Sn——搁栅-楼板连接的荷载-位移弹性模量(N/m/m),按表Q.0.1-3 的规定取值; l1——楼板板缝计算距离(m);楼板无面层时,取与搁栅垂直的楼板缝隙之间的距离,楼板有面层时,取搁栅的跨度。

图Q.O.1 楼盖搁栅示意1-楼板面层; 2-木基结构楼板层; 3-吊顶层; 4-搁栅 表Q.0.1-1 楼板的力学性能

续表Q.0.1-1

注: 1 0°指平行于板表面纹理(或板长)的轴向和弯曲刚度; 2 90°指垂直于板表面纹理(或板长)的轴向和弯曲刚度; 3 楼板采用木基结构板材的长度方向应与搁栅垂直时,Es∥As和Es∥Is应采用表中90°的设计值。
表Q.0.1-2 楼板面层的力学性能

注: 1 表中“一般混凝土”按C20混凝土(20MPa)采用; 2 计算取每米板宽,即At=ht, It=ht3/12。
表Q.0.1-3 搁栅-楼板连接的荷载-位移弹性模量

Q.0.2 当搁栅之间有交叉斜撑、板条、填块或横撑等侧向支撑(图Q.0.2), 且侧向支撑之间的间距不应大于2m时,由振动控制的搁栅跨度l可按表Q.0.2 中规定的比例增加。

图Q.0.2 常用的侧向支撑 表Q.0.2 有侧向支撑时搁栅跨度增加的比例

附录R 木结构构件燃烧性能和耐火极限
R.0.1 木结构构件的燃烧性能和耐火极限应符合表R.0.1的规定。
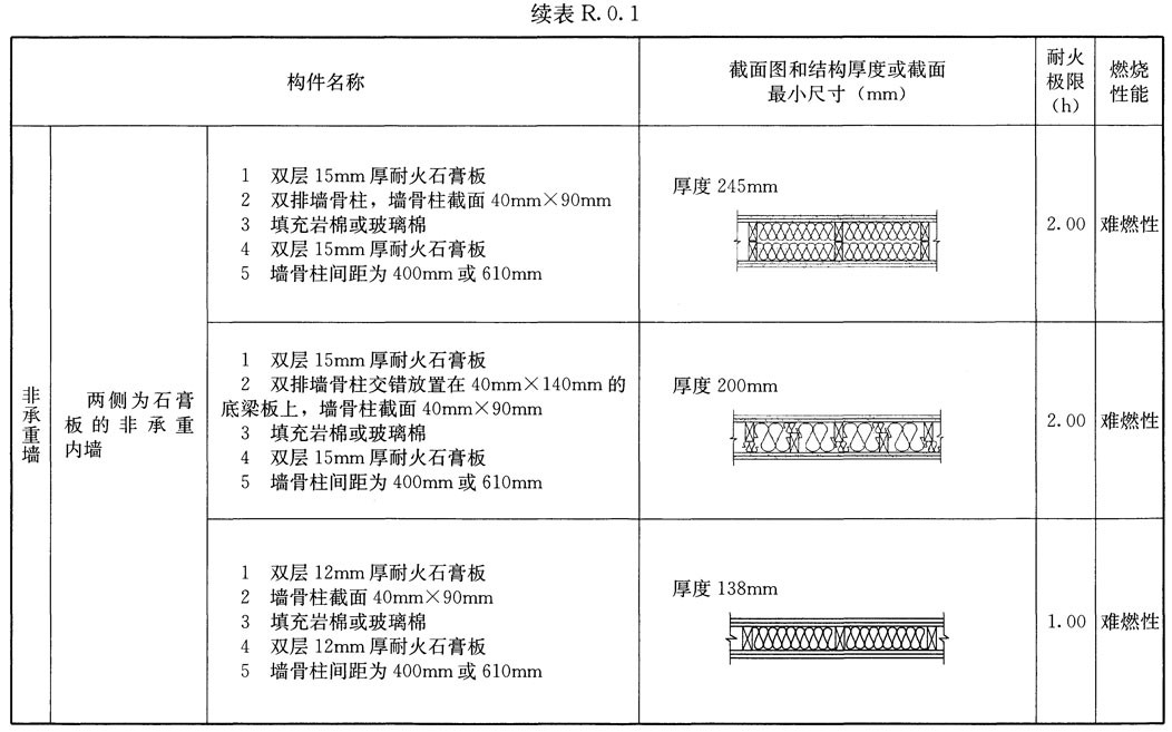
表R.0.1 木结构构件的燃烧性能和耐火极限




